ZusammensetzungWirkstoffe
Indacaterol als Indacaterolmaleat und Glycopyrronium als Glycopyrroniumbromid.
Hilfsstoffe
Lactose monohydrat, Magnesiumstearat.
Indikationen/AnwendungsmöglichkeitenUltibro Breezhaler ist für die bronchienerweiternde Erhaltungstherapie bei symptomatischen Patienten mit chronisch obstruktiver Lungenerkrankung (COPD) angezeigt, bei welchen eine tief dosierte LAMA oder LABA-Monobehandlung allein nicht genügend ist.
Dosierung/AnwendungDosierung
Erwachsene
Die empfohlene Dosis ist die Inhalation des Inhalts einer Ultibro Breezhaler-Kapsel zu 110/50 µg einmal täglich mit dem Ultibro Breezhaler-Inhalator.
Spezielle Patientengruppen
Nierenfunktionsstörung
Ultibro Breezhaler kann bei Patienten mit leichter bis moderater Nierenfunktionsstörung in der empfohlenen Dosis angewendet werden. Bei Patienten mit schwerer Nierenfunktionsstörung oder bei dialysepflichtigen Patienten mit terminaler Niereninsuffizienz sollte Ultibro Breezhaler nur angewendet werden, wenn der zu erwartende Nutzen gegenüber dem potenziellen Risiko überwiegt (siehe «Warnhinweise und Vorsichtsmassnahmen» und «Pharmakokinetik»)
Leberfunktionsstörung
Ultibro Breezhaler kann bei Patienten mit leichter bis moderater Leberfunktionsstörung in der empfohlenen Dosis angewendet werden. Es liegen keine Daten über Patienten mit schwerer Leberfunktionsstörung vor (siehe «Pharmakokinetik»).
Kinder und Jugendliche
Ultibro Breezhaler darf nicht bei Patienten unter 18 Jahren angewendet werden.
Ältere Patienten
Ultibro Breezhaler kann bei Patienten ab 75 Jahren in der empfohlenen Dosis angewendet werden.
Art und Dauer der Anwendung
Ultibro Breezhaler-Kapseln dürfen nur durch orale Inhalation und nur unter Anwendung des Ultibro Breezhaler-Inhalators angewendet werden. Ultibro Breezhaler-Kapseln dürfen nicht geschluckt werden (siehe «Überdosierung»).
Ultibro Breezhaler sollte jeden Tag zur selben Uhrzeit verabreicht werden. Wird eine Dosis ausgelassen, so ist diese so bald wie möglich nachzuholen. Die Patienten sind anzuweisen, nicht mehr als eine Dosis pro Tag zu inhalieren.
Ultibro Breezhaler-Kapseln sind zum Schutz vor Feuchtigkeit stets in der Blisterpackung aufzubewahren und dürfen erst UNMITTELBAR VOR DEM GEBRAUCH entnommen werden (siehe «Sonstige Hinweise»).
Bei Verordnung von Ultibro Breezhaler sind die Patienten in der korrekten Anwendung des Inhalators zu unterweisen. Patienten, die keine Verbesserung der Atmung wahrnehmen, sollten gefragt werden, ob sie das Medikament schlucken, anstatt es zu inhalieren.
KontraindikationenÜberempfindlichkeit gegenüber Indacaterol, Glycopyrronium, Laktose oder einem anderen Inhaltsstoff.
Warnhinweise und VorsichtsmassnahmenUltibro Breezhaler darf nicht gleichzeitig mit Präparaten angewendet werden, die andere langwirkende beta-adrenerge Agonisten oder langwirkende muskarinische Antagonisten (Wirkstoffklassen, denen auch die Bestandteile von Ultibro Breezhaler angehören) enthalten (siehe «Interaktionen»).
Asthma
Ultibro Breezhaler darf nicht bei Asthma angewendet werden, da keine Daten über diese Indikation vorliegen. Langwirksame beta2-adrenerge Agonisten können, wenn sie zur Behandlung von Asthma eingesetzt werden, das Risiko von Asthma-bedingten schwerwiegenden unerwünschten Ereignissen, inklusive Asthma-bedingtem Tod, erhöhen.
Nicht für die akute Anwendung
Ultibro Breezhaler ist nicht für die Behandlung akuter Bronchospasmus-Episoden indiziert.
Überempfindlichkeit
Nach Verabreichung von Indacaterol oder Glycopyrronium, beides Bestandteile von Ultibro Breezhaler, sind Überempfindlichkeitsreaktionen vom Soforttyp aufgetreten. Wenn Anzeichen auftreten, die auf eine allergische Reaktion hinweisen (insbesondere Angioedema (einschliesslich Atmungs- oder Schluckbeschwerden, Schwellung der Zunge, Lippen und des Gesichts), Urtikaria oder Hautausschlag) ist die Behandlung mit Ultibro Breezhaler unverzüglich zu beenden und eine Alternativbehandlung einzuleiten.
Paradoxer Bronchospasmus
Wie andere Inhalationstherapien kann auch die Anwendung von Ultibro Breezhaler einen möglicherweise lebensgefährlichen paradoxen Bronchospasmus auslösen. Sollte ein paradoxer Bronchospasmus auftreten, muss Ultibro Breezhaler unverzüglich abgesetzt und eine Alternativbehandlung eingeleitet werden.
Anticholinerge Wirkungen in Zusammenhang mit Glycopyrronium
Wie andere Anticholinergika sollte auch Ultibro Breezhaler bei Patienten mit Engwinkelglaukom oder mit erhöhtem Risiko für eine Harnretention oder mit schweren kardiovaskulären Vorerkrankungen nur zurückhaltend und mit Vorsicht angewendet werden.
Die Patienten sind auf Anzeichen und Symptome eines akuten Engwinkelglaukoms aufmerksam zu machen und anzuweisen, die Anwendung von Ultibro Breezhaler zu beenden und sich sofort mit ihrem Arzt in Verbindung zu setzen, falls eines dieser Anzeichen oder Symptome auftritt.
Patienten mit stark eingeschränkter Nierenfunktion
Bei Patienten mit schwerer Nierenfunktionsstörung (geschätzte glomeruläre Filtrationsrate unter 30 ml/Min./1.73 m2) einschliesslich dialysepflichtige Patienten mit terminaler Niereninsuffizienz sollte Ultibro Breezhaler nur angewendet werden, wenn der zu erwartende Nutzen gegenüber dem potenziellen Risiko überwiegt (siehe «Pharmakokinetik»). Diese Patienten sind engmaschig auf mögliche unerwünschte Arzneimittelwirkungen zu überwachen.
Systemische Wirkungen
Ultibro Breezhaler sollte, wie andere beta2-adrenerge Agonisten auch, bei Patienten mit Herzkreislauferkrankungen mit Vorsicht eingesetzt werden. Dies gilt vor allem für Patienten mit Koronarinsuffizienz, akutem Myokardinfarkt, Herzrhythmusstörungen und Bluthochdruck sowie bei Patienten mit Epilepsien oder Thyreotoxikose und bei Patienten, die auf beta2-adrenerge Agonisten ungewöhnlich stark ansprechen.
Wie andere inhalierbare beta2-adrenerge Arzneimittel darf auch Ultibro Breezhaler nicht häufiger bzw. in höheren Dosen als empfohlen angewendet werden.
Wirkung von Beta-adrenergen Agonisten auf das Herzkreislaufsystem
Wie andere beta2-adrenerge Agonisten kann auch Ultibro Breezhaler bei manchen Patienten das Herzkreislaufsystem in klinisch relevanter Art und Weise beeinflussen, was sich an einem Anstieg des Pulses, des Blutdrucks und/oder anderen Symptomen zeigt. Sollten solche Auswirkungen eintreten, muss das Arzneimittel gegebenenfalls abgesetzt werden. Darüber hinaus können beta-adrenerge Agonisten Veränderungen des EKG-Musters verursachen, beispielsweise eine Abflachung der T-Welle, eine Verlängerung des QT-Intervalls und eine Dämpfung des ST-Segments, wenngleich die klinische Signifikanz dieser Beobachtungen unbekannt ist.
Daher sollten langwirksame beta2-adrenerge Agonisten (LABA) oder LABA-haltige Arzneimittel, wie Ultibro Breezhaler, bei Patienten mit bekannter oder vermuteter Verlängerung des QT- Intervalls oder Patienten, die mit Arzneimitteln behandelt werden, die das QT-Intervall beeinflussen, mit Vorsicht angewendet werden.
Vor der Verschreibung einer Dauerbehandlung mit einem Betaagonisten wie Ultibro Breezhaler sollten COPD-Patienten hinsichtlich kardiovaskulärer Begleiterkrankungen abgeklärt werden. Dabei empfiehlt sich auch die Durchführung einer EKG-Untersuchung mit Frage nach QTc-Verlängerung.
In klinischen Studien mit Ultibro Breezhaler wurden Patienten mit instabiler koronarer Herzkranheit, Links-Herz-Versagen, kürzlichem Myokardinfarkt, Arrhythmien (ausser Vorhofflimmern) und Verlängerung der QTc-Zeit (Fridericia) ausgeschlossen. Bei diesen Patienten oder solchen unter gleichzeitiger Behandlung mit Präparaten, welche eine Verlängerung des QTc-Intervalls bewirken können, ist spezielle Vorsicht angebracht (siehe «Interaktionen»).
Hypokaliämie bei Anwendung von Beta-Agonisten
Beta2-adrenerge Agonisten können bei manchen Patienten eine ausgeprägte Hypokaliämie verursachen, die möglicherweise unerwünschte kardiovaskuläre Folgeerscheinungen haben kann. Der Abfall des Serumkaliums ist üblicherweise vorübergehend und verlangt keine Supplementierung. Bei Patienten mit schwerer COPD kann sich die Hypokaliämie durch Hypoxie und bei einer Begleitbehandlung (siehe «Interaktionen»), welche die Anfälligkeit für Herzrhythmusstörungen erhöht, verstärken.
In klinischen Studien mit Ultibro Breezhaler in der empfohlenen therapeutischen Dosis sind keine klinisch bedeutsamen Auswirkungen einer Hypokaliämie festgestellt worden (siehe «Pharmakokinetik»).
Hyperglykämie bei Anwendung von Beta-Agonisten
Die Inhalation hoher Dosen von beta2-adrenergen Agonisten kann zu einem Anstieg der Plasmaglukose führen. Bei Diabetikern ist der Plasmaglukosewert daher zu Beginn der Behandlung mit Ultibro Breezhaler intensiv zu beobachten. In klinischen Langzeitstudien ([ENLIGHTEN] und [RADIATE]) war der Anteil der Patienten mit klinisch feststellbaren Veränderungen des Blutzuckerwerts bei Anwendung von Ultibro Breezhaler höher (4.9%) als in der Placebogruppe (2.7%). Ultibro Breezhaler wurde nicht bei Patienten untersucht, deren Diabetes mellitus unzureichend kontrolliert war.
Hilfsstoffe
Ultibro Breezhaler enthält Laktose und sollte deshalb bei Patienten mit schwerem Lactasemangel oder Galactosämie nicht angewendet werden.
InteraktionenDie gleichzeitige Anwendung von oral inhaliertem Indacaterol und Glycopyrronium, jeweils unter Steady-State-Bedingungen, hatte keinen Einfluss auf die Pharmakokinetik (PK) der jeweiligen Wirkstoffe.
Es wurden keine spezifischen Studien zur Arzneimittelinteraktion mit Ultibro Breezhaler durchgeführt. Die Angaben in Bezug auf das mögliche Auftreten von Interaktionen bei Anwendung von Ultibro Breezhaler beruhen auf der Möglichkeit des Auftretens von Interaktionen bei Anwendung seiner beiden Monotherapie-Bestandteile.
Interaktionen mit Indacaterol
Es wurden keine spezifischen Studien zur Erfassung von Wechselwirkungen mit Ultibro Breezhaler durchgeführt. Die Informationen über potenzielle Wechselwirkungen basieren auf dem Wechselwirkungspotenzial jedes einzelnen der beiden Bestandteile.
Beta-adrenerge Blocker
Beta-adrenerge Blocker können die Wirkung von beta2-adrenergen Agonisten abschwächen bzw. antagonisieren.
Ultibro Breezhaler sollte daher nicht gemeinsam mit beta-adrenergen Blockern (einschliesslich Augentropfen) angewendet werden, es sei denn, ihre Anwendung ist klinisch zwingend begründet. Sofern erforderlich sollten kardioselektive Betablocker bevorzugt werden, wenngleich auch sie mit Vorsicht anzuwenden sind.
QT-verlängernde Arzneimittel
Wie bei anderen beta2-adrenergen Agonisten sollte auch Ultibro Breezhaler bei Patienten, die mit Monoaminoxidaseinhibitoren, trizyklischen Antidepressiva oder Arzneimitteln behandelt werden, die bekanntermassen das QT-Intervall verlängern, mit Vorsicht angewendet werden, da Auswirkungen dieser Arzneimittel auf das QT-Intervall verstärkt werden können. Arzneimittel, die bekanntermassen das QT-Intervall verlängern, könnten das Risiko einer Ventrikelarrhythmie erhöhen (siehe «Warnhinweise und Vorsichtsmassnahmen»).
Sympathomimetika
Die gleichzeitige Anwendung anderer Sympathomimetika (alleine oder im Rahmen einer Kombinationstherapie) könnte die unerwünschten Wirkungen von Indacaterol verstärken (siehe «Warnhinweise und Vorsichtsmassnahmen»).
Hypokaliämie
Bei gleichzeitiger Behandlung mit Methylxanthin-Derivaten, Steroiden oder nicht kaliumsparenden Diuretika könnte sich eine durch beta2-adrenerge Agonisten möglicherweise hervorgerufene Hypokaliämie verstärken (siehe «Warnhinweise und Vorsichtsmassnahmen»).
Metabolische und transporterbasierte Arzneimittelinteraktionen
CYP3A4 und P-Glykoprotein (P-gp) Inhibitoren, (d.h. Ketoconazol, Erythromycin, Verapamil und Ritonavir) führen zu einem Anstieg des AUC-Wertes um das 1.4-Fache bis Doppelte sowie zu einer Erhöhung des Cmax um das 1.5-Fache. Die Erfahrungen hinsichtlich der Sicherheit einer Behandlung mit Indacaterol in klinischen Studien mit einer Dauer von bis zu einem Jahr bei Dosen von 600 µg zeigten keine speziellen Risiken, so dass eine klinische Relevanz dieser Interaktionen fraglich ist.
Interaktionen mit Glycopyrronium
In-vitro-Studien ergeben keine schlüssigen Hinweise, dass Glycopyrronium den Metabolismus anderer Wirkstoffe oder Prozesse, an denen Wirkstofftransporter beteiligt sind, hemmt oder induziert.
Anticholinergika
Die begleitende Anwendung von Ultibro Breezhaler mit inhalativen, Anticholinergika enthaltenden Präparaten wurde nicht untersucht und wird daher, wie bei anderen Anticholinergika enthaltenden Arzneimitteln, nicht empfohlen.
Relevante Interaktionen
Cimetidin oder andere Inhibitoren des Transports organischer Kationen
In einer klinischen Studie bei gesunden Freiwilligen erhöhte sich bei Gabe von Cimetidin, einem Inhibitor des vermutlich zur Ausscheidung von Glycopyrronium über die Nieren beitragenden Transports organischer Kationen, die Gesamtexposition (AUC) gegenüber Glycopyrronium um 22%, während sich die renale Clearance um 23% verringerte. Aufgrund der Grössenordnung dieser Veränderung ist bei gleichzeitiger Anwendung von Glycopyrronium und Cimetidin oder anderen Inhibitoren des Transports organischer Kationen keine klinisch bedeutsame Arzneimittelinteraktion zu erwarten.
Schwangerschaft, StillzeitSchwangerschaft
Es liegen keine adäquaten und hinreichend kontrollierte Studien über die Anwendung von Ultibro Breezhaler oder über die Anwendung von Indacaterol oder Glycopyrronium in der Schwangerschaft vor.
In einer inhalativen Studie zur embryo-fetalen Entwicklung bei der Ratte wurden mit Ultibro Breezhaler in keiner Dosisstufe Auswirkungen auf den Embryo bzw. den Fetus festgestellt. Bei Ratten oder Kaninchen war Indacaterol und Glycopyrronium nach subkutaner respektive inhalativer Verabreichung nicht teratogen. Nach Verabreichung an Kaninchen ergaben sich für Indacaterol Anzeichen auf Reproduktionstoxizität in Form einer erhöhten Inzidenz einer Skelettveränderung (siehe «Präklinische Daten»). Bei Gebärenden, bei denen ein Kaiserschnitt durchgeführt wurde, waren die Konzentrationen von Glycopyrroniumbromid 86 Minuten nach einer intramuskulären Einzelinjektion von 0.006 mg/kg im umbilikalen venösen Plasma (0.28 (0.25) ng/ml) und im umbilikalen arteriellen Plasma (0.18 (0.11) ng/ml) niedrig.
Das mögliche Risiko für den Menschen ist nicht bekannt. Da keine ausreichenden Erfahrungen bei Schwangeren vorliegen, sollte Ultibro Breezhaler daher während einer Schwangerschaft nur dann angewendet werden, wenn der zu erwartende Nutzen für die Patientin das mögliche Risiko für den Fetus rechtfertigt.
Stillzeit
Es ist nicht bekannt, ob Indacaterol und/oder Glycopyrronium in die menschliche Muttermilch übertritt. Es liegen keine Daten vor über den Effekt von Indacaterol oder Glycopyrronium auf das gestillte Kind oder die Milchproduktion. Jedoch wurden Indacaterol und Glycopyrronium (einschliesslich ihrer Metaboliten) nach subkutaner und intravenöser Verabreichung in der Milch laktierender Ratten nachgewiesen. Die Anwendung von Ultibro Breezhaler in der Stillzeit sollte daher nur dann in Betracht gezogen werden, wenn der zu erwartende Nutzen für die Patientin gegenüber einem etwaigen Risiko für den Säugling überwiegt (siehe «Präklinische Daten»).
Wehen und Entbindung
Informationen über Indacaterol
Wie andere beta2-adrenerge Agonisten kann auch Ultibro Breezhaler aufgrund einer relaxierenden Wirkung auf die glatte Muskulatur des Uterus die Wehentätigkeit hemmen.
Wirkung auf die Fahrtüchtigkeit und auf das Bedienen von MaschinenDer Einfluss von Ultibro Breezhaler auf die Fahrtüchtigkeit und das Bedienen von Maschinen wurde nicht untersucht.
Unerwünschte WirkungenDas Sicherheitsprofil von Ultibro Breezhaler basiert auf den Erfahrungen mit Ultibro Breezhaler und seinen einzelnen Bestandteilen.
Zusammenfassung des Sicherheitsprofils
Die Erfahrungen in Bezug auf die Sicherheit von Ultibro Breezhaler beruhen auf Anwendungsdaten über bis zu 15 Monate mit der empfohlenen therapeutischen Dosis (110/50 µg).
Das Sicherheitsprofil ist von typischen anticholinergen und beta-adrenergen Symptomen in Zusammenhang mit den Einzelbestandteilen der Kombination geprägt. Andere am häufigsten auftretende unerwünschte Arzneimittelwirkungen in Zusammenhang mit dem Arzneimittelpräparat (Häufigkeit ≥3% und häufiger als in der Placebogruppe) waren Kopfschmerzen, Husten und Nasopharyngitis.
Das Nebenwirkungsprofil von Ultibro Breezhaler in der empfohlenen Dosierung bei Patienten mit COPD zeigte systemische Auswirkungen in Form einer beta2-adrenergen Stimulierung. Die mittleren Pulsveränderungen lagen bei weniger als einem Herzschlag pro Minute. Tachykardie trat selten und nicht häufiger als bei Anwendung des Placebos auf.
Unerwünschte Arzneimittelwirkungen sind nach MedDRA-Systemorganklasse aufgeführt. Die Häufigkeit von unerwünschten Arzneimittelwirkungen wurde anhand eines Pools von 3 placebokontrollierten klinischen Studien der Phase III mit einer Laufzeit von 6 und 12 Monaten ermittelt. Für jede unerwünschte Arzneimittelwirkung gilt auch die entsprechende Häufigkeitskategorie nach folgender Konvention (CIOMS III): «sehr häufig» (≥1/10), «häufig» (≥1/100 bis <1/10), «gelegentlich» (≥1/1000 bis <1/100), «selten» (≥1/10'000 bis <1/1000), «sehr selten» (<1/10'000).
Ultibro Breezhaler hatte ähnliche unerwünschte Arzneimittelwirkungen zur Folge wie die Monotherapien. Da Ultibro Breezhaler Indacaterol und Glycopyrronium enthält, sind Art und Schwere der mit jedem Einzelbestandteil assoziierten unerwünschten Reaktionen unter Umständen auch bei Anwendung der Kombination zu erwarten.
Die kumulative Inzidenz nach Kaplan-Meier (%) von unerwünschten Arzneimittelnebenwirkungen in Woche 52 (placebokontrollierter COPD Pool)
Infektionen
Sehr häufig: Infektionen der oberen Atemwege (16.96%).
Häufig: Nasopharyngitis, Harnwegsinfekt , Sinusitis, Rhinitis.
Immunsystem
Häufig: Hypersensitivität.
Stoffwechsel- und Ernährungsstörungen
Häufig: Hyperglykämie und diabetes mellitus.
Psychische Störungen
Gelegentlich: Schlaflosigkeit.
Störungen des Nervensystems
Häufig: Schwindelgefühl, Kopfschmerzen.
Selten: Parästhesie.
Augen
Gelegentlich: Glaukom*.
Herz
Gelegentlich: Ischämische Herzkrankheit, Vorhofflimmern, Tachykardie, Palpitationen.
Atmungsorgane
Häufig: Husten, Schmerzen im Mundrachenraum, einschl. Rachenreizung.
Gelegentlich: Epistaxis, paradoxaler Bronchospasmus.
Gastrointestinale Störungen
Häufig: Dyspepsie, Karies
Gelegentlich: trockener Mund, Gastroenteritis.
Erkrankungen der Haut und des Unterhautzellgewebes
Gelegentlich: Pruritus/Hautausschlag.
Muskelskelettsystem
Gelegentlich: Schmerzen im Bewegungsapparat, Muskelspasmen, Myalgie, Schmerzen in den Extremitäten.
Nieren und Harnwege
Häufig: Blasenobstruktion und Harnretention.
Allgemeine Störungen und Reaktionen an der Applikationsstelle
Häufig: Pyrexie*, Schmerzen im Brustkorb.
Gelegentlich: Peripheres Ödem, Müdigkeit.
* Neue unerwünschte Arzneimittelwirkung, die bei Anwendung des Kombinationspräparats Ultibro Breezhaler, aber nicht bei Anwendung der Einzelbestandteile in Monotherapie beobachtet wurde.
Postmarketing-Erfahrungen
Die folgenden unerwünschten Arzneimittelwirkungen wurden nach der Markteinführung im Zusammenhang mit Ultibro Breezhaler festgestellt. Da diese Nebenwirkungen von einer Bevölkerungspopulation unbekannter Grösse auf freiwilliger Basis berichtet wurden, ist ihre Häufigkeit nicht verlässlich abschätzbar und wurde daher als «nicht abschätzbar» kategorisiert. Die Nebenwirkungen sind nach MedDRA Organsystemklassen geordnet aufgeführt. Innerhalb jeder Organsystemklasse sind die Nebenwirkungen in der Reihenfolge des abnehmenden Schweregrades angegeben.
Unerwünschte Arzneimittelnebenwirkungen, die in Spontanberichten und Literaturfällen festgestellt wurden (Häufigkeit nicht abschätzbar)
Erkrankungen des Immunsystems
Angioödem.
Erkrankungen der Atemwege, des Brustraums und Mediastinums
Dysphonie.
Beschreibung ausgewählter unerwünschter Arzneimittelwirkungen
Das häufigste anticholinerge unerwünschte Ereignis war Mundtrockenheit (0.64% vs. 0.45% bei Placebogabe). Dieses unerwünschte Ereignis wurde bei Anwendung von Ultibro Breezhaler jedoch seltener gemeldet als bei einer Monotherapie mit Glycopyrronium. Die Mundtrockenheit war in den meisten gemeldeten Fällen vermutlich arzneimittelbedingt und von leichter Ausprägung; es traten keine schweren Fälle auf. Husten trat häufig auf, war jedoch im Allgemeinen von geringer Intensität.
Aus der Anwendung von Indacaterol als Monotherapie sind einige schwerwiegende unerwünschte Ereignisse wie Hypersensitivität und ischämische Herzerkrankung bekannt. Die bei Anwendung von Ultibro Breezhaler gemeldeten Häufigkeiten von Hypersensitivität und ischämischer Herzerkrankung betrugen 2.06% vs. 1.9% bei Placebogabe bzw. 0.67% vs. 0.78% bei Placebogabe.
Die Meldung des Verdachts auf Nebenwirkungen nach der Zulassung ist von grosser Wichtigkeit. Sie ermöglicht eine kontinuierliche Überwachung des Nutzen-Risiko-Verhältnisses des Arzneimittels. Angehörige von Gesundheitsberufen sind aufgefordert, jeden Verdacht einer neuen oder schwerwiegenden Nebenwirkung über das Online-Portal ElViS (Electronic Vigilance System) anzuzeigen. Informationen dazu finden Sie unter www.swissmedic.ch.
ÜberdosierungInformationen über Ultibro Breezhaler
Es gibt keine Informationen zu klinisch relevanter Überdosierung mit Ultibro Breezhaler. Eine Überdosierung könnte zu Effekten führen, die für Überdosierung von beta2-adrenergen Stimulantien typisch sind, z.B. Tachykardie, Tremor, Palpitationen, Kopfschmerzen, Übelkeit, Erbrechen, Schläfrigkeit, ventrikuläre Arrhythmie, metabolische Azidose, Hypokalämie, Hyperglykämie oder könnte anticholinerge Effekte bewirken, wie z.B. erhöhter Augeninnendruck (was Schmerzen, eine Beeinträchtigung des Sehens sowie Rötung des Auges verursacht), Obstipation oder Probleme bei der Blasen- und Darmentleerung. Es gibt keine spezifische Behandlung im Falle einer Überdosierung mit Ultibro Breezhaler. Unterstützende und symptomatische Behandlungen wären dann angezeigt. In schwerwiegenden Fällen sollten die Patienten hospitalisiert werden. Die Anwendung kardioselektiver beta-adrenerger Blocker kann zur Behandlung von beta2-adrenergen Effekten in Betracht gezogen werden, aber nur unter der Aufsicht eines Arztes und mit extremer Vorsicht, da der Einsatz von beta adrenergen Blockern Bronchospasmen verursachen kann.
Informationen über Indacaterol
Bei COPD-Patienten waren Einzeldosen zu 3000 µg mit einem moderaten Anstieg der Pulsrate, des systolischen Blutdrucks und einer Verlängerung des QTc-Intervalls verbunden.
Informationen über Glycopyrronium
Die mehrmalige orale Inhalation von Glycopyrronium in Gesamtdosen von 100 und 200 µg einmal täglich für 28 Tage war bei COPD-Patienten gut verträglich.
Aufgrund der niedrigen oralen Bioverfügbarkeit (etwa 5%) ist bei versehentlichem Verschlucken von Glycopyrronium-Kapseln eine akute Intoxikation unwahrscheinlich.
Die maximalen Plasmakonzentrationen und die systemischen Gesamtkonzentrationen nach intravenöser Verabreichung von 150 µg Glycopyrroniumbromid (entspricht 120 µg Glycopyrronium) an gesunde Freiwillige waren etwa 50- bzw. 6-mal höher als die entsprechenden Werte im Fliessgleichgewicht (Steady-State) nach Anwendung der empfohlenen Glycopyrroniumdosis (50 µg einmal täglich) und wurden gut vertragen.
Eigenschaften/WirkungenATC-Code
R03AL04
Wirkungsmechanismus
Ultibro Breezhaler
Aufgrund des unterschiedlichen Wirkmechanismus von Indacaterol und Glycopyrronium, der auf jeweils andere Rezeptoren und Signalwege abzielt, um eine Relaxierung kleiner Muskeln zu erreichen, addiert sich die Wirksamkeit dieser beiden Substanzen, wenn sie in Form von Ultibro Breezhaler zusammen verabreicht werden.
Indacaterol
Indacaterol ist ein «ultra»-langwirkender beta2-adrenerger Agonist zur einmal täglichen Anwendung. Die pharmakologische Auswirkung von beta2-Adrenozeptor-Agonisten, einschliesslich Indacaterol, lassen sich zumindest teilweise auf die Stimulation der intrazellulären Adenylzyklase zurückweisen, das Enzym, das die Umwandlung von Adenosintriphosphat (ATP) zu zyklischem 3', 5'-Adenosinmonophosphat (zyklisches Monophosphat) katalysiert. Eine erhöhte Konzentration an zyklischem AMP bewirkt eine Relaxierung der glatten Muskulatur in den Bronchien.
Bei Inhalation wirkt Indacaterol lokal in der Lunge als Bronchodilatator. Im isolierten humanen Bronchus setzt die Wirkung von Indacaterol rasch ein und hält lange an.
Zwar sind beta2-adrenerge Rezeptoren die vorherrschenden adrenergen Rezeptoren im bronchialen Glattmuskel, während es im menschlichen Herzen vorwiegend Beta1-adrenerge Rezeptoren sind; dennoch sind auch im Herzen beta2-adrenerge Rezeptoren zu finden und machen dort 10% bis 50% aller adrenergen Rezeptoren aus. Die genaue Funktion der beta2-adrenergen Rezeptoren im Herzen ist nicht bekannt, ihr Vorhandensein lässt jedoch die Vermutung zu, dass selbst hoch selektive beta2-adrenerge Agonisten Auswirkungen auf das Herz haben.
Glycopyrronium
Glycopyrronium ist ein inhalativer langwirkender Antagonist muskarinischer Rezeptoren (anti-cholinerg wirkend) zur einmal täglichen bronchodilatatorischen Erhaltungstherapie bei COPD. Parasympathische Nerven sind die wichtigsten bronchokonstriktiven neuralen Leitungswege in den Atemwegen und der cholinerge Tonus ist die zentrale reversible Komponente der Atemwegsobstruktion bei COPD. Die Wirkung von Glycopyrronium beruht auf der Blockade der bronchokonstriktorischen Wirkung von Acetylcholin auf die Glattmuskelzellen der Atemwege, sodass die Atemwege aufgeweitet werden.
Von den fünf bekannten Subtypen muskarinischer Rezeptoren (M1-5) haben lediglich die Subtypen M1-3 eine definierte physiologische Funktion in der menschlichen Lunge. Glycopyrroniumbromid ist ein hochaffiner Antagonist dieser drei Subtypen muskarinischer Rezeptoren. In kompetitiven Bindungsstudien zeigte die Substanz 4- bis 5-mal höhere Selektivität für die menschlichen M3- und M1- als für menschliche M2-Rezeptoren. Die Wirkung von Glycopyrroniumbromid setzt rasch ein, wie sich an den kinetischen Parametern der Rezeptorassoziation/-dissoziation und dem Wirkeintritt nach der Inhalation in klinischen Studien zeigte.
Die lange Wirkdauer lässt sich wahrscheinlich teilweise auf die anhaltende Wirkstoffkonzentration in der Lunge zurückführen, worauf die verlängerte terminalen Eliminationshalbwertszeit von Glycopyrronium nach Inhalation mit dem Glycopyrronium-Inhalator im Vergleich zur Halbwertszeit nach intravenöser Verabreichung hinweist (siehe «Pharmakokinetik»).
Pharmakodynamik
Primärer pharmakodynamischer Effekt
Die Wirkung der Kombination von Indacaterol und Glycopyrronium in Ultibro Breezhaler setzte rasch, d.h. innerhalb von 5 Minuten nach der Dosierung, ein. Der Effekt blieb im gesamten Dosierungsintervall von 24 Stunden konstant.
Seriellen FEV1-Messungen über 24 Stunden zufolge betrug der mittlere bronchodilatatorische Effekt nach 26 Behandlungswochen im Placebovergleich 0.32 Liter. Der Effekt war bei Ultibro Breezhaler signifikant stärker als bei alleiniger Anwendung von Indacaterol, Glycopyrronium oder Tiotropium, unverblindet (Unterschied bei jedem Vergleich: 0.11 Liter), (Teilgruppe mit Durchführung einer seriellen Spirometrie).
Weder im Placebovergleich noch im Vergleich zu den Monotherapien mit den jeweiligen Einzelverbindungen ergeben sich Hinweise auf eine zeitabhängige Tachyphylaxie des Effekts von Ultibro Breezhaler.
Sekundäre pharmakodynamische Effekte
Die systemischen Nebenwirkungen inhalativer beta2-adrenerger Agonisten und inhalativer Antagonisten muskarinischer Rezeptoren resultieren aus einer Aktivierung systemischer beta2-adrenerger Rezeptoren und einer Blockade muskarinischer Rezeptoren nach systemischer Absorption der Wirkstoffe. Das Nebenwirkungsprofil von Ultibro Breezhaler wurde sowohl bei gesunden Probanden als auch bei COPD-Patienten untersucht.
Auswirkungen auf die Herzfrequenz
Die Auswirkungen auf die Herzfrequenz wurden bei gesunden Freiwilligen nach Gabe einer Einzeldosis von Ultibro Breezhaler 440/200 µg, die in vier Dosisstufen in Abständen von jeweils einer Stunde verabreicht wurde, untersucht und mit den Auswirkungen nach Gabe eines Placebo, 600 µg Indacaterol und 200 µg Glycopyrronium und 200 µg Salmeterol verglichen.
Die stärkste zeitangepasste Beschleunigung der Herzfrequenz bei Anwendung von Ultibro Breezhaler im Vergleich zum Placebo betrug +5.69 Schläge/Minute, die stärkste Verlangsamung betrug -2.51 Schläge/Minute. Insgesamt wurden, was die Herzfrequenz anbelangte, keine einheitlichen pharmakodynamischen Auswirkungen von Ultibro Breezhaler festgestellt.
Die Auswirkungen supratherapeutischer Dosisstufen auf die Herzfrequenz wurden bei COPD-Patienten mit Ultibro Breezhaler -Dosen von bis zu 150/100, 300/100 und 600/100 µg untersucht. Ultibro Breezhaler hatte keine relevanten Auswirkungen auf die Herzfrequenz nach 30 Min., 4 Std. und 24 Std. sowie auf die über 24 Stunden gemittelte Herzfrequenz.
QT-Intervall
Eine eingehende QT (TQT)-Studie bei gesunden Freiwilligen, die Indacaterol in Dosen von bis zu 600 µg inhalierten, ergab keinen klinisch relevanten Effekt auf das QT-Intervall. Auch was Glycopyrronium anbelangt, wurde nach Inhalation von 400 µg in einer TQT-Studie keine Verlängerung des QT-Intervalls gemessen.
Die Auswirkungen von Ultibro Breezhaler auf das QTc-Intervall wurden bei gesunden Freiwilligen nach Inhalation von 440/200 µg Ultibro Breezhaler in vier, im Abstand von jeweils einer Stunde angewendeten Dosisstufen untersucht. Die grösste zeitangepasste Differenz zum Placebo betrug 4.62 ms (90%-KI 0.40, 8.85 ms), die grösste zeitangepasste Verringerung betrug -2.71 ms (90%-KI -6.97, 1.54 ms), was darauf hindeutet, dass auch Ultibro Breezhaler keine relevante Auswirkung auf das QT-Intervall hat, wie ausgehend von den Eigenschaften seiner Bestandteile zu erwarten war.
Die Verabreichung supratherapeutischer Dosen zwischen 150 µg/100 µg und 600 µg/100 µg Ultibro Breezhaler führte bei COPD Patienten zu einem grösseren höheren Anteil an Patienten mit QTcF Verlängerungen zwischen 30 ms und 60 ms verglichen mit dem Wert zu Studienbeginn (von 16.0% bis 21.6% reichend, gegenüber 1.9% für das Placebo). Es wurden aber keine Verlängerungen des QTcF Intervalls >60 ms im Vergleich zum Wert bei Studienbeginn erfasst. Die höchste Dosierungsstufe von 600 µg/100 µg Ultibro Breezhaler zeigte auch den höchsten Anteil an absoluten QTcF Werten von >450 ms (12.2% gegenüber 5.7% für das Placebo).
Serumkalium und Blutzucker
Bei gesunden Freiwilligen waren die Auswirkungen auf den Serumkaliumspiegel bei Anwendung von 440/200 µg Ultibro Breezhaler sehr gering (maximale Differenz −0.14 mmol/l im Vergleich zum Placebo). Der Blutzuckerspiegel änderte sich maximal um 0.67 mmol/l. Im Vergleich zwischen 440/200 µg Ultibro Breezhaler und 200 µg Salmeterol waren die Auswirkungen auf den Serumkaliumspiegel (maximale Differenz: 0.21 mmol/l) und den Blutzuckerspiegel kleiner (maximale Differenz: 0.21 bzw. 1.19 mmol/l).
Klinische Wirksamkeit
Das klinische Phase-III-Entwicklungsprogramm für Ultibro Breezhaler [IGNITE] umfasste sechs Studien, in welchen insgesamt über 8'000 Patienten teilnahmen: eine 26-wöchige placebo- und verumkontrollierte (150 µg Indacaterol einmal täglich, 50 µg Glycopyrronium einmal täglich, 18 µg Tiotropium, unverblindet, einmal täglich) Studie [SHINE]; eine 26-wöchige verumkontrollierte (500/50 µg Salmeterol/Fluticason zweimal täglich) Studie [ILLUMINATE]; eine 64-wöchige verumkontrollierte (50 µg Glycopyrronium einmal täglich, 18 µg Tiotropium, unverblindet, einmal täglich) Studie [SPARK]; eine 52-wöchige placebokontrollierte Studie [ENLIGHTEN],eine dreiwöchige, placebo- und verumkontrollierte (Tiotropium, unverblindet, einmal täglich) Belastbarkeitsstudie [BRIGHT] sowie eine 52-wöchige aktiv kontrollierte (Salmeterol/Fluticason 500/50 µg zweimal täglich) Studie [FLAME].
Bei den Teilnehmern handelte es sich um Patienten mit klinischer Diagnose einer moderaten bis sehr schweren COPD im Alter von mindestens 40 Jahren und mit einer Raucheranamnese von mindestens 10 Packungsjahren.
Von diesen 5 Studien hatten die Probanden in [SHINE] und [ENLIGHTEN] ein post-bronchodilatatorisches FEV1 von <80% und ≥30% des vorhergesagten Normalwerts und ein post-bronchodilatatorisches FEV1/FVC-Verhältnis von unter 70%. An der 26-wöchigen verumkontrollierten Studie [ILLUMINATE] nahmen Patienten mit einem post-bronchodilatatorischen FEV1 von <80% und ≥40% des vorhergesagten Normalwerts ohne moderate oder schwerwiegende Exazerbationen innerhalb von 12 Monaten vor Studienbeginn teil. An der 64-wöchigen Studie [SPARK] nahmen dagegen Patienten mit schwerer bis sehr schwerer COPD und einer medizinischen Vorgeschichte von ≥1 moderater bis schwerer COPD Exazerbation im vergangenen Jahr sowie einem post-bronchodilatatorischen FEV1 von <50% des vorhergesagten Normalwerts teil. An der 52-wöchigen aktiv kontrollierten Studie, [FLAME], nahmen Patienten mit moderater bis sehr schwerer COPD und einer medizinischen Vorgeschichte von ≥1 moderater bis schwerer COPD Exazerbation (19% mit einer medizinischen Vorgeschichte von ≥2 Exazerbationen) im vergangenen Jahr sowie einem post-bronchodilatatorischen FEV1 von ≥25 und <60% des vorhergesagten Normalwerts teil.
Auswirkungen auf die Lungenfunktion
Bei Verabreichung von 110/50 µg Ultibro Breezhaler einmal täglich ergaben sich klinisch bedeutsame Verbesserungen der Lungenfunktion (gemessen anhand der Einsekundenkapazität («Forced Expiratory Volume» in einer Sekunde bzw. FEV1). In den Phase-III-Studien trat die bronchodilatatorische Wirkung innerhalb von 5 Minuten nach der ersten Dosis ein und blieb während des anschliessenden 24-Stunden-Dosierungsintervalls erhalten. In der 26-wöchigen Studie [SHINE] und der 52-wöchigen Studie [ENLIGHTEN] wurde keine zeitabhängige Abschwächung der bronchodilatatorischen Wirkung festgestellt.
Trough-FEV1
In der Studie [SHINE] war am primären Endpunkt nach 26 Wochen das Trough-FEV1 nach Dosisgabe im Placebovergleich um 200 ml erhöht (p<0.001). Die Erhöhung war im Vergleich zu jedem der Arme, in denen einer der Bestandteile (Indacaterol und Glycopyrronium) als Monotherapie angewendet wurde, sowie im Vergleich zu einem unverblindeten Tiotropium-Arm, signifikant (siehe Tabelle 1).
Tabelle 1: Trough-FEV1 nach Dosisgabe (Methode der Kleinstquadratmittelwerte, «Least Squares Mean») an Tag 1 und in Woche 26 (primärer Endpunkt)
|
Behandlungsunterschied
|
Tag 1
|
Woche 26
| |
ULTIBRO BREEZHALER - Placebo
|
190 ml (p<0.001)
|
200 ml (p<0.001)
| |
ULTIBRO BREEZHALER - Indacaterol
|
80 ml (p<0.001)
|
70 ml (p<0.001)
| |
ULTIBRO BREEZHALER - Glycopyrronium
|
80 ml (p<0.001)
|
90 ml (p<0.001)
| |
ULTIBRO BREEZHALER – Tiotropium, unverblindet
|
80 ml (p<0.001)
|
80 ml (p<0.001)
|
Das mittlere FEV1 vor Dosisgabe (Durchschnitt der -45 Min. und -15 Min. vor der morgendlichen Dosis des Studienpräparats gemessenen Werte) war in Woche 26 verglichen mit Salmeterol/Fluticason (100 ml, p<0.001) [ILLUMINATE], in Woche 52 verglichen mit Placebo (189 ml, p<0.001) [ENLIGHTEN] und bei allen Visiten bis Woche 64 verglichen mit Glycopyrronium (70-80 ml, p-Wert <0.001) und Tiotropium, unverblindet, (60-80 ml, p-Wert <0.001) [SPARK] klinisch bedeutsam und zugunsten von Ultibro Breezhaler statistisch signifikant.
In der [FLAME] Studie war das mittlere FEV1 vor Dosisgabe verglichen mit Salmeterol/Fluticason während der doppelblinden Behandlung ü bei allen Visiten bis Woche 52 klinisch bedeutsam und zugunsten von Ultibro Breezhaler erhöht(62-86 ml).
FEV1-AUC
In der verumkontrollierten Studie [ILLUMINATE] bewirkte Ultibro Breezhaler nach 26 Wochen verglichen mit Salmeterol/Fluticason eine Erhöhung des FEV1-AUC(0-12h) nach Dosisgabe (primärer Endpunkt) um 140 ml (p<0.001)
In der [FLAME] Studie wurde bei einer Subgruppe eine serielle Spirometrie durchgeführt. Bei dieser Subgruppe bewirkte Ultibro Breezhaler eine Verbesserung des FEV1 AUC0-12h von 110 ml nach 52 Behandlungswochen. Die Gruppe, die Ultibro Breezhaler erhielt, war der Salmeterol/Fluticason Gruppe von Tag 1 überlegen.
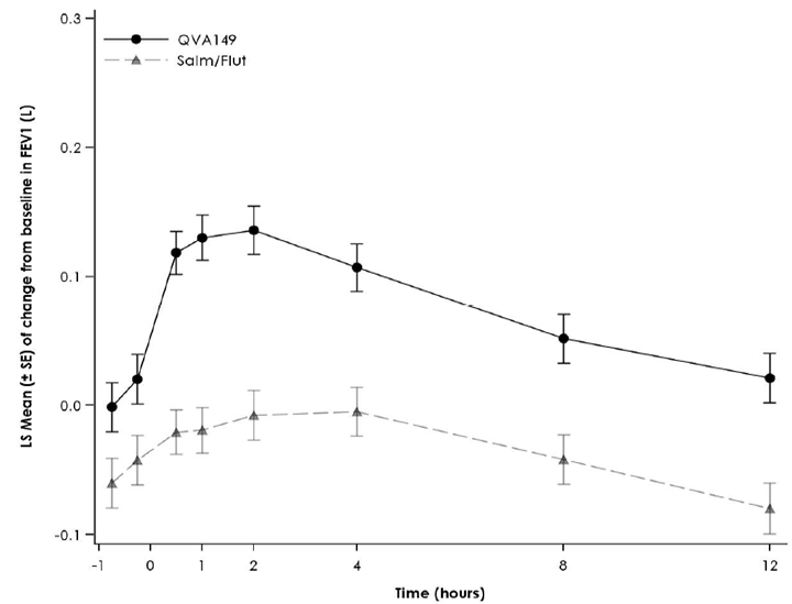
Abbildung 1: Profil der Änderung des Kleinstquadratmittelwerts, «Least Squares Mean», des FEV1 (L) -45 min bis 12 h zu Behandlungsbeginn, in Woche 12, in Woche 26 und in Woche 52 (serielle Spirometrie der Subgruppe)
Woche 12

Woche 26

Woche 52

Symptomatische Behandlungsergebnisse
Atmungsbeschwerden
Ultibro Breezhaler bewirkte eine signifikante Reduzierung der Atmungsbeschwerden (gemessen anhand des Transitional Dyspnea Index bzw. TDI). Insbesondere führte die Anwendung von Ultibro Breezhaler zu einer klinisch bedeutsamen und statistisch signifikanten Verbesserung des fokalen TDI-Scores in Woche 26, verglichen mit Placebo (1.09, p<0.001), Tiotropium, unverblindet (0.51, p=0.007) [SHINE] und Salmeterol/Fluticason (0.76, p=0.003) [ILLUMINATE].
Unter Anwendung von Ultibro Breezhaler reagierte ein signifikant höherer Anteil der Patienten als in der Placebogruppe in Woche 26 mit einer Verbesserung des fokalen TDI um mindestens einen Punkt (68.1% bzw. 57.5%, p=0.004). Darüber hinaus zeigte unter Ultibro Breezhaler ein höherer Anteil an Patienten in Woche 26 ein klinisch bedeutsames Ansprechen als bei Anwendung von Tiotropium, unverblindet (68.1% Ultibro Breezhaler vs. 59.2% Tiotropium, p=0.016) und Salmeterol/Fluticason (65.1% Ultibro Breezhaler vs. 55.5% Salmeterol/Fluticason, p=0.088) [ILLUMINATE].
Gesundheitsbezogene Lebensqualität
Die einmal tägliche Anwendung von Ultibro Breezhaler hatte überdies statistisch signifikante Auswirkungen auf die gesundheitsbezogene Lebensqualität, wie anhand des SGRQ (St. George's Respiratory Questionnaire) gemessen wurde und wie sich an einer Reduzierung des SGRQ-Gesamtscores in Woche 26 im Vergleich zum Placebo (-3.01, p=0.002) zeigte. In [FLAME] zeigte Ultribro Breezhaler im Vergleich zu Salmeterol/Fluticason eine Reduzierung SGRQ-Gesamtscores in Woche 52 (-1.3).
Von den mit Ultibro Breezhaler behandelten Patienten reagierte ein höherer Anteil mit einer klinisch bedeutsamen Verbesserung des SGRQ-Scores (definiert als Reduzierung des Ausgangsscores um mindestens 4 Einheiten), wie in Woche 26 verglichen mit dem Placebo (63.7% bzw. 56.6%, p=0.088). In [FLAME] zeigte Ultibro Breezhaler verglichen mit Salmeterol/Fluticason eine klinisch bedeutsame Verbesserung des SGRQ-Scores in Woche 52 (49.2% Ultibro Breezhaler vs. 43.7% Salmeterol/Fluticason, ODER: 1.30) [FLAME].
Alltagsaktivitäten
Ultibro Breezhaler bewirkte über 26 Wochen hinsichtlich des prozentualen Anteils der «Tage, an denen es möglich war, den üblichen Alltagsaktivitäten nachzugehen» (8.45%, p<0.001) eine zahlenmässige Verbesserung verglichen mit Glycopyrronium (1.87; p=0.195).
COPD-Exazerbationen
In der Studie [SPARK] reduzierte Ultibro Breezhaler bei einmal täglicher Anwendung über 64 Wochen die Rate der moderaten oder schweren COPD-Exazerbationen verglichen mit Glycopyrronium um 12% (p=0.038).
Ultibro Breezhaler reduzierte die Rate aller COPD-Exazerbationen (leicht, moderat und schwer) verglichen mit Glycopyrronium um 15% (p=0.001).
Was die Zeit bis zur ersten moderaten oder schweren COPD-Exazerbation anbelangte, so bewirkte Ultibro Breezhaler verglichen mit Glycopyrronium eine Reduzierung des Risikos um 7% (p=0.319).
Die 52-wöchige aktiv kontrollierte Studie [FLAME], in welcher die Patienten einmal täglich Ultibro Breezhaler erhielten, erreichte ihr Primärziel der Nicht-Unterlegenheit für alle COPD Exazerbation (leichte, moderate oder schwere) verglichen mit Salmeterol/Fluticason. Unter Ultibro Breezhaler war die Jahresrate aller Exazerbationen (leicht, moderat und schwer) um 11% tiefer als unter Salmeterol/Fluticason (3.59 vs. 4.03, p=0.003) und die Zeit bis zur ersten Exazerbation dauerte war 16% länger (mediane Zeit: 71 Tage für Ultibro Breezhaler vs. 51 Tage für Salmeterol/Fluticason.).
Die Jahresrate moderater oder schwerer Exazerbationen war unter Ultibro Breezhaler um 17% tiefer als unter Salmeterol/Fluticason (0.98 vs. 1.19) und verzögerte die Zeit bis zur ersten moderaten oder schweren Exazerbation mit einer Reduktion des Exazerbationsrisikos um 22% (25. Perzentil: 127 Tage für Ultibro Breezhaler vs. 87 Tage für Salmeterol/Fluticason, p<0.001). Weniger als 50% der Patienten in der Gruppe, die mit Ultibro Breezhaler behandelt wurden, erlitten eine Exazerbation. Aus diesem Grund wurde stattdessen die Zeit bis zur ersten moderaten oder schweren COPD-Exazerbation für das erste Quartil der Patienten errechnet.
Ultibro Breezhaler bewirkte eine tendenzielle Verringerung der Jahresrate schwerer Exazerbationen verglichen mit Salmeterol/Fluticason (0.15 vs. 0.17). Ultibro Breezhaler verzögerte die Zeit bis zur ersten schweren Exazerbation mit einer Reduktion des Exazerbationsrisikos um 19%.
Die Inzidenz der Pneumonien (radiologisch bestätigt wie z.B. Thorax-Röntgenuntersuchung oder CT-Scan) lag bei 3.2% im Studienarm mit Ultibro Breezhaler im Vergleich zu 4.8% im Studienarm mit Salmeterol/Fluticason. Die Zeit bis zum Auftreten der ersten Pneumonie wurde durch Ultibro Breezhaler im Vergleich zu Salmeterol/Fluticason verzögert.
Anwendung von Notfallmedikamenten
Ultibro Breezhaler einmal täglich erreichte über 26 Wochen in der Studie [SHINE] einen signifikanten Rückgang der Anwendung von Notfallmedikamenten (Salbutamol) um 0.96 Hübe pro Tag (p<0.001) verglichen mit dem Placebo und um 0.54 Hübe pro Tag (p<0.001) verglichen mit Tiotropium, unverblindet, sowie in der Studie [ILLUMINATE] um 0.39 Hübe pro Tag (p=0.019) verglichen mit Salmeterol/Fluticason.
In der Studie [SPARK] reduzierte Ultibro Breezhaler im Lauf von 64 Wochen die Anwendung von Notfallmedikamenten (Salbutamol) um 0.76 Hübe pro Tag (p<0.001) verglichen mit Tiotropium, unverblindet.
Im Verlauf von 52 Wochen reduzierte die Anwendung von Ultibro Breezhaler einmal täglich im Vergleich zum Behandlungsbeginn den Bedarf an Notfallmedikation um 1.01 Sprühstösse pro Tag, während Salmeterol/Fluticason den Bedarf im Vergleich zum Behandlungsbeginn um 0.76 Sprühstösse pro Tag reduzierte
Belastungstoleranz
In der 3-wöchigen Studie [BRIGHT] zur Prüfung der Belastungstoleranz mittels Radergometrie bei submaximaler (75%) Belastung (submaximaler Belastungstoleranztest) reduzierte Ultibro Breezhaler bei morgendlicher Dosierung ab der ersten Dosis die dynamische Hyperinflation und verbesserte die Ausdauer. Bereits am ersten Behandlungstag war die Inspirationskapazität unter Belastung im Placebovergleich signifikant verbessert (250 ml, p<0.001). Verglichen mit dem Placebo hatte sich die Inspirationskapazität mit Ultibro Breezhaler nach drei Behandlungswochen weiter verbessert (320 ml, p<0.001) und die Ausdauer weiter erhöht (Belastungsdauer 59.5 Sekunden, p=0.006).
PharmakokinetikAbsorption
Nach Inhalation von Ultibro Breezhaler betrug die mediane Zeit bis zum Erreichen der Spitzenkonzentrationen von Indacaterol und Glycopyrronium im Plasma etwa 15 Minuten bzw. 5 Minuten.
Die Indacaterolkonzentration im Steady-State nach Inhalation von 110/50 µg Ultibro Breezhaler war entweder ähnlich oder etwas niedriger als die systemischen Konzentrationen nach Inhalation von 150 µg Indacaterol als Monotherapie.
Die absolute Bioverfügbarkeit von Indacaterol nach Inhalation von 110/50 µg Ultibro Breezhaler lag im Bereich von 47% bis 66%, wohingegen die von Glycopyrronium bei etwa 40% lag.
Die Glycopyrroniumkonzentration im Steady-State nach Inhalation von 110/50 µg Ultibro Breezhaler entsprach in etwa den systemischen Konzentrationen nach Inhalation von 50 µg Glycopyrronium als Monotherapie.
Indacaterol
Nach Inhalation von Indacaterol dauerte es nach Anwendung einer Inhalations-einzeldosis oder wiederholter Inhalationsdosen durchschnittlich etwa 15 Minuten, bis Spitzenkonzentrationen von Indacaterol im Serum erreicht waren.
Bei wiederholten Verabreichungen einmal täglich stiegen die Serumkonzentrationen von Indacaterol an. Das Fliessgleichgewicht (Steady-State) war innerhalb von 12 bis 15 Tagen erreicht. Das mittlere Akkumulationsverhältnis von Indacaterol, d.h., der AUC-Wert im Verlauf des 24-Stunden-Dosierungsintervalls an Tag 14 oder Tag 15 im Vergleich zu Tag 1, lag bei einmal täglich inhalierten Dosen von 75 µg bis 600 µg im Bereich von 2.9 bis 3.8.
Glycopyrronium
Nach oraler Inhalation mit dem Glycopyrronium-Inhalator wurde das Glycopyrronium rasch absorbiert und erreichte 5 Minuten nach Dosisgabe die maximale Konzentration im Plasma.
Etwa 90% der systemischen Konzentration nach der Inhalation sind auf die Absorption in der Lunge zurückzuführen, 10% auf die Absorption im Magendarmsystem. Die absolute Bioverfügbarkeit von oral verabreichtem Glycopyrronium wurde auf etwa 5% geschätzt.
Nach mehrmaliger einmal täglicher Inhalation von Glycopyrronium bei COPD-Patienten war innerhalb einer Behandlungswoche das pharmakokinetische Fliessgleichgewicht (Steady-State) erreicht. Die mittleren Spitzen- und Talkonzentrationen von Glycopyrronium im Plasma bei einmal täglicher Dosierung von 50 µg betrugen im Steady-State 166 pg/ml bzw. 8 pg/ml. Bei einmal täglicher Anwendung von 100 und 200 µg war die Glycopyrroniumkonzentration im Steady-State (AUC-Wert im Dosierungsintervall) etwa 1.4- bis 1.7-mal höher als nach der ersten Dosis. Vergleichsdaten zur Harnausscheidung im Steady-State bzw. nach der ersten Dosis lassen den Schluss zu, dass die systemische Akkumulation im Dosisbereich von 25 bis 200 µg dosisunabhängig ist.
Distribution
Indacaterol
Nach intravenöser Infusion betrug das Verteilungsvolumen (Vz) von Indacaterol 2.361 bis 2.557 Liter, was für eine weit reichende Verteilung spricht. Die Bindung an humane Serum- und Plasmaproteine in vitro betrug 94.1 bis 95.3% bzw. 95.1 bis 96.2%.
Glycopyrronium
Nach intravenöser Dosisgabe betrug das Steady-State-Verteilungsvolumen (Vss) von Glycopyrronium 83 Liter und das Verteilungsvolumen in der terminalen Phase (Vz) 376 Liter. Das scheinbare Verteilungsvolumen in der terminalen Phase nach Inhalation (Vz/F) betrug 7310 Liter, was die sehr viel langsamere Elimination nach Inhalation widerspiegelt. Die Bindung von Glycopyrronium an Humanserum- und Plasmaproteine in vitro betrug bei Konzentrationen von 1 bis 10 ng/ml 38% bis 41%. Diese Konzentrationen waren mindestens 6-mal höher als die mittleren Plasmaspitzenkonzentrationen im Steady-State, die bei einem Dosierungsplan mit 50 µg einmal täglich erreicht wurden.
Metabolismus
Indacaterol
Nach oraler Anwendung von radioaktiv markiertem Indacaterol in einer ADME (absorption, distribution, metabolism, excretion)-Studie beim Menschen war im Serum hauptsächlich unverändertes Indacaterol nachweisbar und machte etwa ein Drittel des gesamten arzneimittelbedingten AUC-Wertes über 24 Stunden aus. Der häufigste Metabolit im Serum war ein hydroxyliertes Derivat. Phenolische O-Glukuronide von Indacaterol und hydroxyliertes Indacaterol waren weitere häufige Metaboliten. Ein Diastereomer des hydroxylierten Derivats, ein N-Glucuronid von Indacaterol und C- und N-dealkylierte Produkte wurden zudem als Metabolite identifiziert.
In vitro-Untersuchungen ergaben, dass UGT1A1 die einzige UGT-Isoform ist, die Indacaterol zum phenolischen O-Glucuronid metabolisierte. Die oxidativen Meta-bolite wurden in Inkubationen mit rekombinantem CYP1A1, CYP2D6 und CYP3A4 nachgewiesen. CYP3A4 gilt als bedeutendstes Isoenzym bei der Hyd-roxylierung von Indacaterol. In vitro-Studien haben darüber hinaus gezeigt, dass Indacaterol ein niederaffines Substrat für die Effluxpumpe P-gp ist.
Glycopyrronium
In-vitro-Stoffwechselstudien zeigen, dass Glycopyrroniumbromid bei Mensch und Tier die gleichen Stoffwechselwege durchläuft. Es wurden keine nur beim Menschen vorkommenden Metaboliten gefunden. Hydroxylierung führt zur Bildung verschiedener mono- und bis-hydroxylierter Metaboliten und direkte Hydrolyse führt zur Bildung eines Carbonsäurederivats (M9).
Aus In vitro-Untersuchungen geht hervor, dass mehrere CYP-Isoenzyme zur oxidativen Biotransformation von Glycopyrronium beitragen. Die Hydrolyse zum M9 wird vermutlich von Cholinesterasen katalysiert.
Nach der Inhalation lagen die systemischen Konzentrationen von M9 im Durchschnitt in derselben Grössenordnung wie bei Gabe des Ausgangswirkstoffes. Da In-vitro-Studien nicht auf einen Lungenmetabolismus hindeuteten und M9 nach intravenöser Verabreichung im Blutkreislauf von untergeordneter Bedeutung war (etwa 4% des Cmax und des AUC-Werts der Ursprungssubstanz), wird angenommen, dass M9 aus der geschluckten Dosisfraktion von oral inhaliertem Glycopyrroniumbromid durch präsystemische Hydrolyse und/oder einen First-Pass-Metabolismus gebildet wird. Nach der Inhalation und nach intravenöser Verabreichung wurden im Harn nur minimale M9-Mengen gefunden (d.h. ≤0.5% der Dosis). Nach mehrmaliger Inhalation wurden im menschlichen Harn Glucuronid- und/oder Sulfatkonjugate von Glycopyrronium gefunden, die etwa 3% der Dosis ausmachten.
In-vitro-Inhibitionsstudien zeigten, dass Glycopyrroniumbromid keine relevante Fähigkeit zur Hemmung von CYP1A2, CYP2A6, CYP2C8, CYP2C9, CYP2C19, CYP2D6, CYP2E1 oder CYP3A4/5, der Effluxtransporter MDR1, MRP2 oder MXR und der Aufnahmetransporter OATP1B1, OATP1B3, OAT1, OAT3, OCT1 oder OCT2 aufweist. In-vitro-Enzyminduktionsstudien zufolge findet keine klinisch bedeutsame Induktion eines der getesteten Cytochrom-P450-Isoenzyme oder von UGT1A1 und den Transportern MDR1 und MRP2 durch Glycopyrroniumbromid statt.
Elimination
Indacaterol
In klinischen Studien, die unter anderem auch die Gewinnung von Harnproben vorsahen, war die Menge an unverändert über den Harn ausgeschiedenem Indacaterol generell niedriger als 2% der angewendeten Dosis. Die renale Clearance von Indacaterol betrug durchschnittlich 0.46 bis 1.20 Liter/Std. Verglichen mit der Serumclearance von Indacaterol von 18.8 bis 23.3 Liter/Std. scheint die renale Clearance eine untergeordnete Rolle (etwa 2 bis 6% der systemischen Clearance) bei der Elimination von systemisch verfügbarem Indacaterol zu spielen.
In einer ADME-Studie bei Patienten, die Indacaterol oral erhielten, dominierte die Ausscheidung über die Fäzes gegenüber der Ausscheidung über den Harn. Indacaterol wurde über die menschlichen Fäzes überwiegend als unveränderte Ursprungssubstanz (54% der Dosis) und in geringerem Mass in Form von hydroxylierten Indacaterolmetaboliten (23% der Dosis) ausgeschieden. Die Massenbilanz war mit Wiederfindung von ≥90% der Dosis in den Exkrementen vollständig.
Die Serumkonzentrationen von Indacaterol verringerten sich multiphasisch, wobei die durchschnittliche terminale Halbwertszeit 45.5 bis 126 Stunden betrug. Die über die Akkumulierung von Indacaterol nach mehrmaliger Dosierung berechnete effektive Halbwertszeit lag im Bereich von 40 bis 56 Stunden, was mit dem beobachteten Zeitraum von etwa 12 bis 15 Tagen bis zum Erreichen des Fliessgleichgewichts (Steady-State) korreliert.
Glycopyrronium
Nach intravenöser Verabreichung von [3H]-markiertem Glycopyrroniumbromid an menschliche Probanden wurden in 48 Stunden im Durchschnitt 85% der Radioaktivitätsdosis im Urin ausgeschieden. In der Gallenflüssigkeit waren weitere 5% der Dosis zu finden. Die Massenbilanz war daher nahezu vollständig.
Die renale Elimination der Ursprungssubstanz macht etwa 60 bis 70% der Gesamtclearance von systemisch verfügbarem Glycopyrronium aus, die extrarenale Clearance etwa 30 bis 40%. Zwar trägt die biliäre Clearance zur extrarenalen Clearance bei, jedoch ist diese vermutlich zu weiten Teilen auf den Metabolismus zurückzuführen.
Nach Inhalation von Einzeldosen und mehrmaligen Dosen von 50 bis 200 µg Glycopyrronium einmal täglich lag die mittlere renale Clearance von Glycopyrronium bei gesunden Freiwilligen und Patienten mit COPD im Bereich von 17.4 und 24.4 Liter/Std. Die aktive tubuläre Sekretion trägt zur renalen Elimination von Glycopyrronium bei. Bis zu 20% der Dosis wurde im Urin als Ursprungssubstanz nachgewiesen.
Die Plasmakonzentrationen von Glycopyrronium verringerten sich multiphasisch. Die mittlere terminale Eliminationshalbwertszeit war nach Inhalation viel länger (33 bis 57 Stunden) als nach intravenöser (6.2 Stunden) und oraler (2.8 Stunden) Verabreichung. Aus dem Eliminationsmuster ist zu schliessen, dass eine anhaltende Lungenabsorption stattfindet und/oder Glycopyrronium ab einem Zeitpunkt von 24 Stunden nach der Inhalation in den systemischen Kreislauf übergeht.
Linearität/Nichtlinearität
Indacaterol
Die systemische Exposition von Indacaterol erhöhte sich mit steigender Dosis (150 µg bis 600 µg) proportional zur Dosis. Die systemische Exposition ist das gemeinsame Resultat der Resorption über Lunge und Darm.
Glycopyrronium
Bei COPD-Patienten war im Dosisbereich von 50 µg bis 200 µg Glycopyrronium eine ungefähr dosisproportionale Erhöhung der systemischen Konzentrationen und der Gesamtausscheidung im Harn festzustellen.
Kinetik spezieller Patientengruppen
Eine Analyse der Populationspharmakokinetik bei COPD-Patienten nach Inhalation von Ultibro Breezhaler ergab, dass Alter, Geschlecht und das fettfreie Körpergewicht keinen signifikanten Einfluss auf die systemischen Konzentrationen von Indacaterol und Glycopyrronium haben. Das fettfreie Körpergewicht (eine Funktion von Gewicht und Grösse) wurde als Covariable identifiziert. Es bestand eine negative Korrelation zwischen der systemischen Konzentration und dem fettfreien Körpergewicht (bzw. dem Körpergewicht); aufgrund der Grössenordnung der Veränderung bzw. der prädiktiven Präzision des fettfreien Körpergewichts wird jedoch keine Dosisanpassung empfohlen.
Der Raucherstatus und der FEV1-Ausgangswert hatten keine offensichtlichen Auswirkungen auf die systemischen Konzentrationen von Indacaterol und Glycopyrronium nach Inhalation von Ultibro Breezhaler.
Indacaterol
Einer Populationsanalyse der Auswirkungen von Alter, Geschlecht und Gewicht auf die systemische Konzentration bei COPD-Patienten nach der Inhalation zufolge kann Indacaterol in der empfohlenen Dosis bei allen Alters- und Gewichtsgruppen und geschlechtsunabhängig bedenkenlos angewendet werden.
Die Pharmakokinetik von Indacaterol wurde bei zwei verschiedenen UGT1A1-Genotypen untersucht – dem voll funktionsfähigen [(TA)6, (TA)6] Genotyp und dem schwach aktiven [(TA)7, (TA)7] Genotyp (Genotyp des Gilbert-Syndroms). Die Studie zeigte, dass die AUC- und Cmax-Werte von Indacaterol im Fliessgleichgewicht bei Vorhandensein des [(TA)7, (TA)7] Genotyps 1.2-mal höher waren, was darauf hindeutet, dass die systemische Konzentration von Indacaterol von dieser Variante des UGT1A1-Genotyps nur unwesentlich beeinflusst wird.
Glycopyrronium
Eine Analyse von Daten zur Populationspharmakokinetik bei COPD-Patienten identifizierte das Körpergewicht und das Alter als Faktoren, die zur patientenbezogenen Variabilität der systemischen Konzentrationen beitragen. 50 µg Glycopyrronium einmal täglich kann in der empfohlenen Dosis bei allen Alters- und Körpergewichtsgruppen angewendet werden.
Geschlecht, Raucherstatus und der FEV1-Anfangswert hatten keine offensichtlichen Auswirkungen auf die systemische Exposition.
Patienten mit eingeschränkter Leberfunktion
Ausgehend von den klinischen PK-Merkmalen seiner Monotherapiebestandteile kann Ultibro Breezhaler bei Patienten mit leichter bis moderater Leberfunktionsstörung in der empfohlenen Dosis angewendet werden. Es liegen keine Daten über Patienten mit schwerer Leberfunktionsstörung vor.
Indacaterol: Bei Patienten mit leichter und moderater Leberfunktionsbeeinträchtigung waren die Cmax- oder AUC-Werte von Indacaterol nicht massgeblich verschieden. Auch bezüglich der Proteinbindung ergaben sich keine Unterschiede zwischen Patienten mit leichter oder moderater Leberfunktionsbeeinträchtigung und deren gesunden Kontrollen. Es wurden keine Studien bei Patienten mit schwerer Beeinträchtigung der Leberfunktion durchgeführt.
Glycopyrronium: Es wurden keine klinischen Studien bei Patienten mit Beeinträchtigung der Leberfunktion durchgeführt. Glycopyrronium wird vorwiegend durch renale Ausscheidung aus dem systemischen Kreislauf entfernt (siehe «Pharmakokinetik»). Eine Hemmung des Glycopyrronium-Metabolismus in der Leber dürfte nicht zu einer klinisch relevanten Erhöhung der systemischen Exposition führen.
Patienten mit eingeschränkter Nierenfunktion
Ausgehend von den klinischen PK-Merkmalen seiner Monotherapiebestandteile kann Ultibro Breezhaler bei Patienten mit leichter bis moderater Nierenfunktionsstörung in der empfohlenen Dosis angewendet werden. Bei Patienten mit schwerer Nierenfunktionsstörung oder bei dialysepflichtigen Patienten mit terminaler Niereninsuffizienz sollte Ultibro Breezhaler nur angewendet werden, wenn der zu erwartende Nutzen gegenüber dem potenziellen Risiko überwiegt.
Indacaterol: Aufgrund der sehr geringen Bedeutung der Ausscheidung über die Harnwege für die Gesamtelimination von Indacaterol aus dem Körper wurde keine Studie bei Patienten mit beeinträchtigter Nierenfunktion durchgeführt.
Glycopyrronium: Eine Beeinträchtigung der Nierenfunktion wirkt sich auf die systemischen Konzentrationen von Glycopyrronium aus. Bei Patienten mit leichter bis moderat beeinträchtigter Nierenfunktion wurde im Durchschnitt ein mässiger Anstieg der systemischen Gesamtkonzentration (AUC last) um das bis zu 1.4-Fache und bei Patienten mit stark beeinträchtigter Nierenfunktion oder terminaler Niereninsuffizienz um das bis zu 2.2-Fache festgestellt. Einer Analyse der Populationspharmakokinetik zufolge kann Glycopyrronium bei COPD-Patienten mit leichter und moderater Nierenfunktionsbeeinträchtigung (geschätzte glomeruläre Filtrationsrate eGFR ≥30 ml/Min./1.73 m2) in der empfohlenen Dosis verwendet werden.
Ethnische Zugehörigkeit
Ultibro Breezhaler: Bei Berichtigung nach fettfreiem Körpergewicht waren keine statistisch signifikanten Auswirkungen der ethnischen Zugehörigkeit (Japaner im Vergleich zu Nicht-Japanern) auf die Konzentrationen beider Verbindungen festzustellen.
Indacaterol: Es wurde kein Unterschied zwischen ethnischen Untergruppen festgestellt. Aus der schwarzen Bevölkerung liegen nur begrenzte Behandlungserfahrungen vor.
Glycopyrronium: Was die systemische Gesamtexposition (AUC) anbelangte, so ergaben sich keine grösseren Unterschiede zwischen Japanern und Kaukasiern. Die Datenlage zur PK bei anderen ethnischen Gruppen oder Rassen ist unzureichend.
Präklinische DatenIn einem toxikologischen Brückenstudienprogramm mit Ultibro Breezhaler wurden Invitro- und In-vivo-Untersuchungen der sicherheitsrelevanten Pharmakologie, Studien zur Toxizität nach 2-wöchiger Inhalation bei Ratten und Hunden, eine Studie zur Toxizität nach 13-wöchiger Inhalation bei Hunden und eine Inhalationsstudie zur embryo-fetalen Entwicklung bei Ratten durchgeführt. In den pharmakologischen Studien zur kardiovaskulären Sicherheit oder zur Toxizität bei mehrmaliger Dosierung bei Hunden wurde nach Verabreichung jeder Monotherapie und von Ultibro Breezhaler eine Beschleunigung der Herzfrequenz festgestellt. Sowohl die Grössenordnung als auch die Dauer der Auswirkungen von Ultibro Breezhaler auf die Herzfrequenz erhöhten sich im Vergleich zu den bei jeder Einzelsubstanz festgestellten Veränderungen additiv. In der 2-wöchigen Toxizitätsstudie bei Hunden waren die höchsten Indacateroldosen, die als Monotherapie oder im Ultibro Breezhaler -Kombinationspräparat verabreicht wurden, bei einigen Tieren mit einer vergleichbaren Inzidenz und Schwere von Läsionen im kardialen Papillarmuskel verbunden. Nach Anwendung von Ultibro Breezhaler im Rahmen der pharmakologischen Studie bei Hunden zur Untersuchung der kardiovaskulären Sicherheit wurden ausserdem Verkürzungen der PR-Zeit, der P-Welle und des QT-Intervalls festgestellt, die eine Erhöhung der Herzfrequenz und eine Reduzierung des systolischen und diastolischen Blutdrucks widerspiegelten. Eine Schätzung der Sicherheitsgrenze beruht auf Papillarmuskelläsionen im Herz von Hunden als empfindlichster Spezies. Der NOAEL von 0.386/0.125 mg/kg/Tag (Indacaterol/Glycopyrronium) in der 13-wöchigen Toxizitätsstudie war nicht mit Herzläsionen assoziiert. Ausgehend von den mittleren AUC0-24 Std.-Werten entspricht dieser Wert systemischen Konzentrationen der beiden Einzelsubstanzen, die etwa 64- bzw. 59-mal höher sind als bei Anwendung von 110/50 µg (Indacaterol/Glycopyrronium) beim Menschen.
Informationen über Indacaterol
Basierend auf den konventionellen Studien zur Sicherheitspharmakologie, zur Toxizität von Wiederholungsdosen, zur Genotoxizität, zum kanzerogenen Potenzial und zur Reproduktionstoxizität lassen die nichtklinischen Daten keine besonderen Gefahren für den Menschen erkennen. Die Auswirkungen von Indacaterol, wie sie bei Toxizitätsstudien an Hunden beobachtet wurden, bezogen sich überwiegend auf das Herzkreislaufsystem und umfassten Tachykardie, Arrhythmien und Läsionen des Herzmuskels. Bei diesen Auswirkungen handelt es sich um bekannte pharmakologische Effekte, die auf die beta2-agonistischen Eigenschaften von Indacaterol zurückzuführen sind. Während einer chronischen Toxizitäts-studie in Hunden wurden erhöhte Kreatinin-Konzentrationen im Blut festgestellt, doch weder in dieser noch in irgendeiner anderen Studie gab es andere Ergebnisse, die auf eine veränderte Nierenfunktion hindeuten. Sonstige relevante Folgeerscheinungen, die bei Toxizitätsstudien mit Wiederholungsgabe festgestellt wurden, waren eine leichte Reizung der oberen Atemwege bei Ratten, d.h. Rhinitis und Epithelveränderungen der Nasenhöhle und des Larynx. Alle diese Befunde wurden nur bei solchen Anwendungskonzentrationen festgestellt, welche die maximalen, beim Menschen angewendeten Konzentrationen in ausreichendem Mass überschritten, um für die klinische Anwendung von geringer Relevanz zu sein.
Unerwünschte Effekte hinsichtlich Fruchtbarkeit, Schwangerschaft, der embryonalen/fetalen Entwicklung und der prä- und postnatalen Entwicklung waren lediglich bei Dosen über dem 500-Fachen der beim Menschen empfohlenen maximalen Inhalationstagesdosis von 150 µg (auf Basis des AUC0-24 Std.) festzustellen. Diese Effekte, d.h. eine erhöhte Häufigkeit des Auftretens einer Skelettveränderung, traten bei Kaninchen auf. Bei Ratten oder Kaninchen war Indacaterol nach subkutaner Verabreichung nicht teratogen. Genotoxizitätsstudien ergaben keine Hinweise auf ein mutagenes oder klastogenes Potenzial. Das karzinogene Potenzial von Indacaterol wurde in einer 2-jährigen Inhalationsstudie bei Ratten und in einer 26-wöchigen Studie bei transgenen Mäusen geprüft. Bei der Ratte führte die lebenslange Behandlung mit einer 30-mal höheren Dosis als die Tagesdosis von 150 µg beim Menschen (auf Basis des AUC0-24 Std.) zu einem vermehrten Auftreten gutartiger ovarieller Leiomyome und einer fokalen Hyperplasie der glatten Ovarialmuskulatur. Der Anstieg der Inzidenz von Leiomyomen im Genitaltrakt weiblicher Ratten wurde in ähnlicher Weise auch bei anderen beta2-adrenergen Agonisten festgestellt. Bei CB6F1/TgrasH2-hemizygoten Mäusen wurden nach oraler Gabe von Indacaterol in einer etwa 103-mal höheren Dosis als der von Patienten angewendeten Dosis von 150 µg einmal täglich (auf Basis des AUC0-24 Std.) über 26 Wochen keine Anzeichen auf Tumorigenität beobachtet.
Informationen über Glycopyrronium
Basierend auf den konventionellen Studien zur Sicherheitspharmakologie, der Toxizität von Wiederholungsdosen, zur Genotoxizität, zum kanzerogenen Potential und zur Reproduktions- und Entwicklungstoxizität lassen die nichtklinischen Daten keine besonderen Gefahren für den Menschen erkennen.
Die in den Toxizitätsstudien mit mehrmaliger Dosisinhalation aufgetretenen Effekte waren einer Verstärkung der erwarteten pharmakologischen Wirkung von Glycopyrronium oder einer leichten lokalen Reizung zuzuschreiben, beispielsweise leichte bis moderate Erhöhungen der Herzfrequenz bei Hunden und eine Reihe reversibler Veränderungen bei Ratten und Hunden in Zusammenhang mit reduzierten Sezernierungen aus den Speichel-, Tränen- und Harder-Drüsen und im Pharynx. In chronischen Studien mit anderen muskarinischen Antagonisten bei der Ratte sind Eintrübungen der Linse aufgetreten; allerdings gelten diese als speziesspezifische Veränderungen mit begrenzter Relevanz für die therapeutische Anwendung bei Patienten. Bei Ratten wurden in den Atemwegen degenerative/regenerative Veränderungen und in der Nasenhöhle und im Larynx Entzündungen festgestellt, die mit einer leichten lokalen Reizung korrelieren. Bei Ratten gab es ausserdem minimale epitheliale Veränderungen an der bronchioloalveolären Übergangszone in der Lunge, die als leichte adaptive Reaktion gelten. Sämtliche dieser Befunde wurden bei solchen Anwendungskonzentrationen festgestellt, die die maximalen, beim Menschen angewendeten Konzentrationen in ausreichendem Mass überschritten; daher wird ihnen eingeschränkte Relevanz in der klinischen Anwendung zugeschrieben.
Genotoxizitätsstudien ergaben keine Hinweise auf ein mutagenes oder clastogenes Potenzial von Glycopyrronium. Karzinogenitätsstudien mit oraler Verabreichung bei transgenen Mäusen und mit inhalativer Verabreichung bei Ratten ergaben bei systemischen Konzentrationen (AUC0-24 Std.) des ungefähr 53-Fachen (Mäuse) bzw. des 75-Fachen (Ratten) der Patientendosis von 50 µg einmal täglich keine Hinweise auf Karzinogenität.
Die veröffentlichten Daten über Glycopyrronium geben keinen Anlass zu Bedenken hinsichtlich einer Reproduktionstoxizität. Bei Ratten oder Kaninchen war Glycopyrronium nach inhalativer Verabreichung nicht teratogen. Reproduktionsstudien bei Ratten und andere Daten aus tierexperimentellen Untersuchungen lieferten keinen Anlass für Bedenken in Bezug auf die Fertilität bei männlichen oder weiblichen Tieren oder auf die prä- oder postnatale Entwicklung.
Bei trächtigen Mäusen, Kaninchen und Hunden fand keine signifikante Durchdringung der Plazentabarriere von Glycopyrronium und seinen Metaboliten statt. Glycopyrronium (einschliesslich seiner Metaboliten) wurde in der Milch laktierender Ratten ausgeschieden und erreichte dort bis zu 10-fach höhere Konzentrationen als im Blut des laktierenden Tiers.
Sonstige HinweiseHaltbarkeit
Das Arzneimittel darf nur bis zu dem auf dem Verpackung mit «EXP» bezeichneten Datum verwendet werden.
Besondere Lagerungshinweise
In der Originalpackung, vor Feuchtigkeit geschützt und nicht über 25 °C lagern. Ultibro Breezhaler-Kapseln müssen zum Schutz vor Feuchtigkeit immer im Blister aufbewahrt und dürfen erst unmittelbar vor Gebrauch entnommen werden. Kapseln nicht schlucken.
Ultibro Breezhaler ausser Reichweite von Kindern aufbewahren.
Hinweise für die Handhabung
Angaben zur korrekten Verabreichung/Anwendung des Produktes: siehe «Dosierung/Anwendung». Eine detaillierte Bedienungsanleitung ist in der Patienteninformation vorhanden. Mit jeder neuen Verschreibung ist der neu in der Packung enthaltene Ultibro Breezhaler-Inhalator zu verwenden.
Zulassungsnummer63132 (Swissmedic).
PackungenUltibro Breezhaler Indacaterol/Glycopyrronium 110/50 µg, Hartkapseln mit Pulver zur Inhalation: 30 Hartkapseln, 1 Inhalator [B]
Ultibro Breezhaler Indacaterol/Glycopyrronium 110/50 µg, Hartkapseln mit Pulver zur Inhalation: 90 Hartkapseln, 1 Inhalator [B]
ZulassungsinhaberinNovartis Pharma Schweiz AG, Risch; Domizil: 6343 Rotkreuz.
Stand der InformationMärz 2021.
|