Eigenschaften/WirkungenATC-Code
N05AH04
Wirkungsmechanismus
Quetiapin ist ein atypisches Antipsychotikum. Quetiapin und der im Humanplasma aktive Metabolit Norquetiapin (= N-Desalkyl-Quetiapin) interagieren mit einem breiten Spektrum von Neurotransmitter-Rezeptoren. Quetiapin und Norquetiapin zeigen Affinität für zerebrale Serotonin (5HT2)- und Dopamin D1- und D2-Rezeptoren. Es wird angenommen, dass die Kombination des Rezeptorantagonismus (höhere Selektivität für 5HT2- relativ zu D2-Rezeptoren) für die klinischen antipsychotischen Eigenschaften und die im Vergleich zu typischen Antipsychotika geringen extrapyramidalen Symptome (EPS) von Quetiapin verantwortlich ist. Quetiapin hat keine Affinität für den Noradrenalin Transporter (NET) und eine geringe Affinität für den Serotonin 5HT1A-Rezeptor, während dem Norquetiapin für beide eine hohe Affinität hat. Es wird angenommen, dass die NET-Inhibition und die partielle agonistische Aktivität an der 5HT1A-Stelle durch Norquetiapin zur therapeutischen Wirksamkeit von Quetiapin XR Spirig HC als Antidepressivum beitragen.
Quetiapin und Norquetiapin haben eine hohe Affinität zu histaminergen und adrenergen α1-Rezeptoren und eine mässige Affinität für adrenerge α2-Rezeptoren. Ferner hat Quetiapin eine geringe oder keine Affinität für Muskarinrezeptoren, während Norquetiapin eine mässige bis hohe Affinität für verschiedene Muskarinrezeptorensubtypen hat. Dies dürfte die anticholinergen (muskarinischen) Wirkungen erklären.
Pharmakodynamik
In Tests zur Untersuchung der antipsychotischen Aktivität, wie z.B. im konditionierten Vermeidungstest, ist Quetiapin wirksam. Es blockiert auch die Wirkung von Dopaminagonisten, durch Verhaltensbeobachtung oder elektrophysiologisch gemessen, und erhöht die Konzentration von Dopaminmetaboliten, ein neurochemischer Index für eine D2-Rezeptorblockade.
In präklinischen Prüfungen, die Schlüsse auf EPS ziehen lassen, unterscheidet sich Quetiapin von Standard-Antipsychotika und weist ein atypisches Profil auf. Quetiapin führt nach chronischer Gabe nicht zu einer Dopamin D2-Rezeptorüberempfindlichkeit. Bei Dosen, die eine effektive Dopamin D2-Rezeptorblockade bewirken, ruft Quetiapin nur eine schwach ausgeprägte Katalepsie hervor. Nach chronischer Anwendung zeigt Quetiapin Selektivität für das limbische System, indem es eine Depolarisationsblockade der mesolimbischen, nicht aber der nigrostriatalen dopaminhaltigen Neuronen hervorruft. Bei Cebusaffen, mit oder ohne Haloperidol-Sensibilisierung, wirkt Quetiapin nach akuter und chronischer Gabe nur minimal dystonieauslösend (siehe "Unerwünschte Wirkungen" ).
Katarakt/Linsentrübung
Das Potenzial von Quetiapin versus Risperidon einen Katarakt zu verursachen wurde in einer klinischen Studie zur Langzeitbehandlung bei Patienten mit Schizophrenie oder schizoaffektiver Erkrankung evaluiert. Quetiapin war in Dosen von 200-800 mg/Tag nicht schlechter bezüglich der 2 Jahres Ereignisrate des Anstieges des Linsentrübungsgrades (nukleare, kortikale und posterior-subkapsulare Trübung) im LOCS II-System (Linsentrübungs-Klassifikationssystem II) verglichen zu Risperidon in Dosen von 2-8 mg/Tag bei Patienten unter mindestens 21-monatiger Therapie (siehe diesbezüglich auch "Präklinische Daten" ). Überwachungen in anderen klinischen Studien liessen keine Arzneimittel-bedingte Korneatrübungen beim Menschen erkennen.
Klinische Wirksamkeit
Schizophrenie
Die Wirksamkeit von Quetiapin Retardtabletten in der Schizophrenie-Therapie wurde in einer 6-wöchigen placebokontrollierten Studie bei Patienten, die die Kriterien für DSM-IV für Schizophrenie erfüllten, gezeigt. Der primäre Endpunkt war der Unterschied zwischen Baseline und letzter Kontrolle des PANSS-total Wertes. Quetiapin Retardtabletten 400 mg/d, 600 mg/d und 800 mg/d bewirkten im Vergleich zu Placebo eine statistisch signifikante Verbesserung der psychischen Symptome. Diese Verbesserung war unter 600 mg und 800 mg Quetiapin Retardtabletten grösser als unter 400 mg.
In einer weiteren 6-wöchigen aktiv-kontrollierten Studie wurden klinisch stabile ambulante Schizophrenie-Patienten von Quetiapin auf Quetiapin Retardtabletten umgestellt. Der primäre Endpunkt war der Anteil Patienten, bei denen die Wirksamkeit fehlte, d.h. die die Studie wegen fehlender Wirksamkeit beendeten oder deren PANSS-Totalwert um 20 oder mehr Prozente vom Zeitpunkt der Randomisation bis zu irgendeiner Kontrolle anstieg. Bei Patienten, die eine konstante Dosis Quetiapin zwischen 400 mg und 800 mg einnahmen, wurde die Wirksamkeit erhalten, wenn die Patienten auf eine äquivalente Dosis Quetiapin Retardtabletten (einmal tägliche Einnahme) umgestellt wurden.
In einer Langzeitstudie mit stabilen Schizophrenie-Patienten, die während 16 Wochen eine Quetiapin Retardtablette Therapie erhielten, waren Quetiapin Retardtabletten im Verhindern von Rückfällen wirksamer als Placebo. Das geschätzte Risiko für einen Rückfall nach 6 Monaten Behandlung lag bei 14.3% für Quetiapin Retardtabletten und bei 68.2% für Placebo. Die Durchschnittsdosis war 669 mg. Es gab keine zusätzlichen sicherheitsrelevanten Meldungen in Verbindung mit der Therapie mit Quetiapin Retardtabletten für bis zu 9 Monate (Mittelwert 7 Monate). Insbesondere nahmen die Meldungen von unerwünschten Wirkungen, die sich auf EPS und Gewichtszunahme beziehen, unter der Langzeitbehandlung mit Quetiapin Retardtabletten nicht zu.
Bipolare Manie
In einer placebokontrollierten klinischen Studie über 3 Wochen konnte gezeigt werden, dass Quetiapin Retardtabletten bei Dosierungen zwischen 400 und 800 mg täglich als Monotherapie signifikant die manischen Symptome bei bipolarer Manie reduziert. Der Beleg der Wirksamkeit von Quetiapin Retardtabletten bei bipolaren Störungen beruht teilweise auf der Extrapolation von Daten aus den Studien mit Quetiapin Filmtabletten.
Bipolare Depression
In einer placebokontrollierten klinischen Studie über 8 Wochen bei Patienten mit depressiven Episoden im Rahmen einer bipolaren Störung des Typs I oder II, konnte gezeigt werden, dass Quetiapin Retardtabletten bei einer Dosierung von 300 mg täglich wirksam waren. Quetiapin Retardtabletten waren bezüglich der Senkung des "MADRS Gesamtscores" besser als Placebo. Der Beleg der Wirksamkeit beruht teilweise auf der Extrapolation von Daten der Quetiapin Filmtabletten.
In einer Langzeitstudie (bis zu 2 Jahren Behandlungsdauer) zur Bewertung der Rückfallprophylaxe bei Patienten mit manischen, depressiven oder gemischten Episoden war die Behandlung mit Quetiapin der Placebo-Behandlung überlegen, da sich unter Quetiapin die Zeit bis zum Wiederauftreten einer akuten Episode (manisch, gemischt oder depressiv) bei Patienten mit bipolaren Störungen des Typ I verlängerte. Die Zahl der Patienten mit erneuten Episoden betrug 91 (22.5%) in der Gruppe mit Quetiapin-Behandlung, 208 Patienten (51.5%) in der Placebo-Gruppe und 95 Patienten (26.1%) in der Gruppe mit Lithium-Behandlung. Bei Patienten, die auf Quetiapin ansprachen, zeigten die Ergebnisse, dass ein Wechsel der Behandlung auf Lithium im Vergleich zu fortgesetzter Quetiapin-Behandlung nicht mit einer Verlängerung der Zeit bis zum Wiederauftreten eines Stimmungsereignis verbunden zu sein scheint.
In zwei Rückfallprophylaxe-Studien zur Bewertung der Kombination von Quetiapin mit Stimmungsaufhellern bei Patienten mit manischen, depressiven oder Stimmungs-gemischten Episoden war die Kombination mit Quetiapin der alleinigen Gabe von Stimmungsaufhellern überlegen, in dem es die Zeit bis zum Wiederauftreten einer akuten Episode (manisch, gemischt oder depressiv) verlängerte. Quetiapin wurde zweimal täglich in einer Tagesdosis von 400 mg bis 800 mg in Kombination mit Lithium oder Valproat verabreicht.
Depressive Episoden (Episoden einer Major Depression)
Es wurden zwei Kurzzeitstudien (6 Wochen) mit Patienten durchgeführt, die auf mindestens ein Antidepressivum unzureichend angesprochen hatten. Quetiapin Retardtabletten zeigten, wenn es in Tagesdosen von 150 mg und 300 mg als Zusatztherapie zu einer laufenden Therapie mit Antidepressiva (Amitriptylin, Bupropion, Citalopram, Duloxetin, Escitalopram, Fluoxetin, Paroxetin, Sertralin oder Venlafaxin) gegeben wurde, im Vergleich zur Antidepressiva-Monotherapie eine Überlegenheit in der Verringerung depressiver Symptome, die als Verbesserung der MADRS Gesamtpunktzahl gemessen wurde (mittlerer Unterschied gegenüber Placebo von 2-3.3 Punkten).
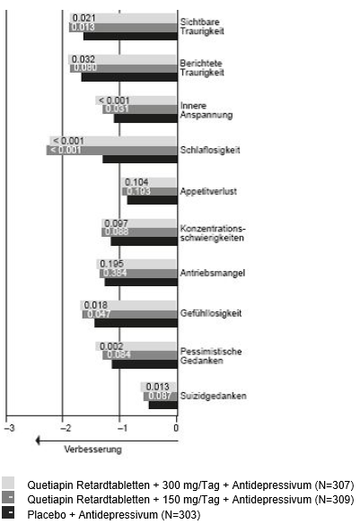
In einer Analyse der MADRS Einzelitems wurde dabei die grösste Veränderung gegenüber Baseline und die grösste Differenz zwischen der Kombination Quetiapin Retardtabletten + Antidepressivum versus Placebo + Antidepressivum für das Einzelitem "Schlaflosigkeit" registirert (siehe folgende Grafik).
Quetiapin XR als Zusatztherapie
MADRS Item Analyse – Veränderung der Kleinstquadrat-Mittelwerte (LSM change) der MADRS Einzelitems nach 6 Wochen gegenüber Baseline, gepoolte Daten der beiden Studien 06 und 07 (die p-Werte wurden in die Balken geschrieben)

Bitte beachten, dass in diesen Studien keine Multiplizitätsanpassung zur Berücksichtigung der MADRS Einzelitems gemacht wurde. Daher sollten die nominalen p-Werte der MADRS Einzelitems entsprechend interpretiert werden. Die Einzelwerte werden nur aufgeführt, um den primären Endpunkt der MADRS Gesamtpunktzahl nach 6 Wochen gegenüber Baseline zu unterstützen.
Die Langzeitwirksamkeit und -unbedenklichkeit wurden bei Patienten mit depressiven Episoden (Episoden einer Major Depression) nicht in der Zusatztherapie ausgewertet.
|