Propriétés/EffetsCode ATC
A02BC05
Mécanisme d’action
L’ésoméprazole est une base faible; il est concentré dans le milieu fortement acide des canalicules sécrétoires de la cellule pariétale où il est converti en sa forme active. Au niveau de la cellule pariétale, l’ésoméprazole provoque un blocage de l’enzyme H+/K+-ATPase, la pompe à protons; il inhibe ainsi très efficacement la sécrétion acide basale comme la sécrétion produite par un stimulus.
Effet sur la sécrétion gastrique d’acide
L’effet apparaît dans un délai d’une heure après l’administration orale de 20 ou 40 mg d’ésoméprazole. En cas de prise répétée de 20 mg d’ésoméprazole, 1× par jour, durant 5 jours, la valeur maximale moyenne de la sécrétion d’acide après une stimulation par la pentagastrine est réduite de 90% (mesure effectuée le 5ème jour, environ 6 à 7 h après la prise de la substance).
Après une administration orale de 20 ou 40 mg d’ésoméprazole durant 5 jours, il a été possible de maintenir un pH intragastrique supérieur à 4 pendant en moyenne 13 ou 17 heures; chez des patients souffrant d’un reflux gastro-œsophagien symptomatique (RGO), cet effet a persisté pendant plus de 24 heures.
La proportion des patients dont le pH intragastrique a dépassé 4 pendant au moins 8, 12 ou 16 heures était de 76%, 54% et 24% après une prise de 20 mg d’ésoméprazole et de 97%, 92% et 56% avec 40 mg d’ésoméprazole.
Si l’on utilise la surface sous la courbe (AUC) de la concentration plasmatique en fonction du temps, il est possible d’établir un rapport entre l’inhibition de l’acidité et l’AUC.
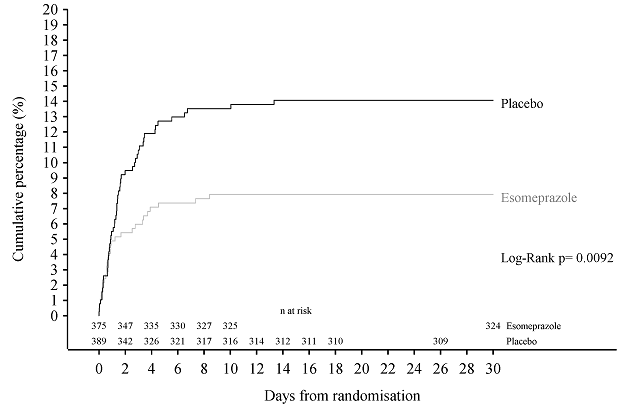
Dans une étude clinique randomisée, en double aveugle, avec contrôle par placebo, 764 patients souffrant d’un ulcère gastro-duodénal hémorragique confirmé par endoscopie ont été assignés par randomisation à un traitement par ésoméprazole i.v. (n=375) ou à un traitement par placebo (n=389). Après hémostase endoscopique, les patients ont reçu soit 80 mg d’ésoméprazole, soit un placebo sous forme de perfusion i.v. de 30 minutes, puis d’une perfusion constante de 8 mg/h pendant 72 heures au total. Après ces premières 72 heures, tous les patients ont reçu pendant 27 jours d’ésoméprazole 40 mg par voie orale pour inhiber l’acidité gastrique. Dans le groupe traité par ésoméprazole i.v., une nouvelle hémorragie au cours des 3 premiers jours s’est produite chez 5.9% des patients, par rapport à 10.3% dans le groupe sous placebo (p=0.0256). Une nouvelle hémorragie au cours des 7 premiers jours a été observée chez 7.2% des patients ayant reçu l’ésoméprazole i.v., par rapport à 12.9% des patients ayant reçu le placebo (p=0.0096). Une nouvelle hémorragie au cours des 30 premiers jours a été observée chez 7.7% des patients ayant reçu ésoméprazole i.v., par rapport à 13.6% des patients ayant reçu le placebo (p=0.0092). Aucune hémorragie ne s’est produite dans la troisième ou la quatrième semaine de l’étude.
Courbe de Kaplan-Meier du pourcentage cumulé de patients ayant subi une nouvelle hémorragie au cours des 30 premiers jours

Effets thérapeutiques de l’inhibition de l’acidité
Une dose quotidienne de 40 mg d’ésoméprazole a permis d’obtenir une guérison de l’œsophagite de reflux en 4 semaines chez environ 78% des patients, et en 8 semaines chez environ 93% des patients. Un traitement d’une semaine par 20 mg d’ésoméprazole, 2× par jour, combiné avec des antibiotiques appropriés, a permis l’éradication d’Helicobacter pylori chez environ 90% des patients.
Après une semaine de traitement d’éradication, il n’est pas nécessaire d’enchaîner une monothérapie à base d’inhibiteurs de l’acidité pour parvenir à une guérison effective de l’ulcère et à la disparition des symptômes.
Autres effets en relation avec l’inhibition de l’acidité
On a constaté aussi bien chez l’enfant que chez l’adulte, pendant un traitement prolongé par l’ésoméprazole, une augmentation du nombre de cellules ECL (cellules entérochromaffine-like), ce qui peut s’expliquer par l’augmentation du taux sérique de gastrine. Chez plus de 1000 patients traités par ésoméprazole (10, 20 ou 40 mg par jour) pendant 6 à 12 mois, la prévalence de l’hyperplasie des cellules ECL a augmenté en fonction de la dose et de la durée du traitement. Dans aucun cas il n’est apparu de tumeur carcinoïde à cellules ECL, de dysplasie des cellules ECL ou de cancer de la muqueuse gastrique.
La diminution de l’acidité dans l’estomac peut, de manière générale, augmenter le nombre de bactéries dans l’estomac. Un traitement par des substances qui inhibent l’acidité peut entraîner une légère augmentation du risque d’infections gastro-intestinales, notamment par des salmonelles ou par Campylobacter, ou éventuellement par Clostridium difficile chez des patients hospitalisés.
L’efficacité de l’ésoméprazole pour le traitement curatif des ulcères gastriques a fait l’objet de deux études multicentriques, menées en double insu comparativement à un médicament actif sur un effectif de 846 patients âgés de 18 à 88 ans (âge médian: 59.5 ans). 262 patients ont reçu 40 mg d’ésoméprazole une fois par jour, 276 patients 20 mg d’ésoméprazole 1× par jour et 271 patients 150 mg de ranitidine 2× par jour. Tous les patients avaient pris des AINS (y compris AINS sélectifs de la COX-2) pendant au moins quatre semaines avant la randomisation et ont poursuivi ce traitement pendant toute la durée de l’étude. Ces patients n’étaient pas infectés par Helicobacter pylori et présentaient un ulcère gastrique confirmé par l’endoscopie dont le diamètre allait jusqu’à 25 mm. Au bout de 4 et 8 semaines, les taux de guérison des ulcères gastriques ont été plus élevés dans le groupe traité par 40 mg d’ésoméprazole et le groupe traité par 20 mg d’ésoméprazole que dans le groupe ranitidine. Sous traitement par 40 mg ésoméprazole, le taux de guérison au bout de 4 semaines de traitement était de 78% (p=0.036, les valeurs de p indiquées s’appliquent à la comparaison avec la ranitidine) dans la première étude et de 71% (p=0.009) dans la deuxième étude; au bout de 8 semaines, les taux de guérison étaient de 92% (p<0.001) dans la première étude et de 86% (p=0.047) dans la deuxième étude.
L’efficacité d’ésoméprazole pour la prévention des ulcères gastriques et duodénaux a été évaluée dans deux études multicentriques menées en double versus un placebo, sur un effectif de 1429 patients. 480 patients ont reçu 40 mg d’ésoméprazole 1× par jour, 476 patients 20 mg d’ésoméprazole 1× par jour et 473 un placebo. Pendant toute la durée de l’étude, tous les patients ont pris des AINS (y compris des AINS sélectifs de la COX-2). Ces patients n’étaient pas infectés par Helicobacter pylori mais il s’agissait de patients à risque (c’est-à-dire qu’ils avaient présenté un ulcère gastrique ou duodénal authentifié au cours des 5 années précédentes et/ou avaient au moins 60 ans). Pendant les 6 mois de traitement, la proportion cumulée de patients sans ulcère gastrique ou duodénal a été plus élevée chez les patients traités par ésoméprazole que dans le groupe placebo. Dans la première étude, le pourcentage cumulé observé de patients sans ulcère gastrique ou duodénal a été de 95.9% dans le groupe traité par 40 mg d’ésoméprazole (p=0.0074 versus placebo; test des rangs logarithmiques); dans le groupe traité par 20 mg d’ésoméprazole, ce pourcentage a été de 95.3% (p=0.0180 versus placebo; test des rangs logarithmiques); dans le groupe placebo, il était de 89.2%. Dans la deuxième étude, ce pourcentage était de 95.9% pour les patients traités par 40 mg d’ésoméprazole (p<0.001 versus placebo; test des rangs logarithmiques), de 95.5% pour les patients traités par 20 mg d’ésoméprazole (p=0.0001; versus placebo; test des rangs logarithmiques) et de 82.8% dans le groupe placebo. Il n’existe pas d’études cliniques qui aient permis d’évaluer l’effet prophylactique pendant plus de 6 mois.
Pharmacodynamie
L’ésoméprazole est l’énantiomère S du racémate oméprazole. L’ésoméprazole diminue la sécrétion gastrique d’acide par un mécanisme d’action spécifique et ciblé. L’ésoméprazole est un inhibiteur spécifique de la pompe à protons de la cellule pariétale.
Efficacité clinique
Voir aussi «Mécanisme d’action».
Sécurité et efficacité en pédiatrie
La sécurité et les résultats cliniques sous ésoméprazole ont été examinés chez les enfants de 1 à 11 ans dans une étude multicentrique, non contrôlée, en double aveugle, réalisée auprès de n=109 patients souffrant d’une œsophagite de reflux endoscopiquement ou histologiquement objectivée (avec ou sans érosions/ulcérations), dont 53 enfants avec une œsophagite érosive de reflux. Les patients ont été stratifiés en deux groupes selon leur poids corporel. Les enfants avec un poids corporel (PC) <20 kg (âge moyen de 2.3 ans) ont reçu 5 ou 10 mg d’ésoméprazole par jour, les enfants avec un PC ≥20 kg (âge moyen de 8.4 ans) 10 ou 20 mg. Les enfants ont reçu en moyenne une dose d’ésoméprazole de 0.3 à 0.7 mg/kg. À la fin de la phase de traitement de 8 semaines, le succès thérapeutique a pu être contrôlé par endoscopie chez 45 des 53 patients atteints d’une œsophagite érosive de reflux (22 enfants <20 kg, 23 enfants ≥20 kg). Une amélioration était définie comme atténuation de l’œsophagite d’au moins un niveau selon la classification de Los Angeles. Les érosions étaient complètement guéries chez 40 patients et une amélioration conformément à la définition ci-dessus a été constatée chez 2 patients supplémentaires. Ainsi, 93% au total des patients contrôlés endoscopiquement ont atteint une amélioration. Les effets indésirables ont correspondu à ceux des adultes.
|