Eigenschaften/WirkungenATC-Code
R03AL06
Wirkungsmechanismus
Pharmakodynamik
Spiolto Respimat:
Tiotropium, ein langwirksamer, spezifischer Muskarin-Rezeptor-Antagonist und Olodaterol, ein langwirksamer Beta2-Agonist, werden zusammen im Spiolto Respimat Inhalator angewendet. Diese beiden Wirkstoffe führen aufgrund ihrer unterschiedlichen Wirkmechanismen und Zielrezeptoren in der Lunge zu einer additiven Bronchodilatation.
Tiotropium: Tiotropiumbromid ist ein langwirksamer, spezifischer Muskarin-Rezeptor-Antagonist (LAMA), der in der klinischen Medizin häufig als Anticholinergikum bezeichnet wird und die gleiche Affinität zu den Muskarin-Rezeptor-Subtypen M1 bis M5 aufweist. In den Atemwegen führt die Hemmung der M3-Rezeptoren der glatten Muskulatur zur Relaxation. Der kompetitive und reversible Charakter des Antagonismus wurde an menschlichen und tierischen Rezeptoren sowie an isolierten Organpräparaten nachgewiesen. In präklinischen invitro- und invivo-Studien war der bronchoprotektive Effekt dosisabhängig und hielt länger als 24 Stunden an. Die lange Wirkungsdauer ist wahrscheinlich auf die sehr langsame Dissoziation von den M3-Rezeptoren zurückzuführen. Sie zeigen eine signifikant längere Dissoziationshalbwertzeit als bei Ipratropium. Als N-quaternäres Anticholinergikum ist Tiotropium bei inhalativer Verabreichung topisch (broncho-)selektiv und zeigt eine ausreichende therapeutische Breite, ehe systemische anticholinerge Wirkungen auftreten können. Die Dissoziation vom M2-Rezeptor ist schneller als die vom M3-Rezeptor, was sich in invitro-Studien funktionell als kinetisch kontrollierte Rezeptorselektivität von M3 gegenüber M2 zeigte.
Die hohe Wirkstärke und langsame Rezeptordissoziation korreliert klinisch mit einer signifikanten und langwirksamen Bronchodilatation bei COPD-Patienten.
Bei der Bronchodilatation handelt es sich primär um eine lokale Wirkung (in den Atemwegen) und nicht um eine systemische Wirkung.
Olodaterol: Weist eine hohe Affinität und Selektivität für den humanen Beta2-Adrenozeptor auf. In-vitro-Studien haben gezeigt, dass Olodaterol an Beta2-Adrenozeptoren eine 241fach stärkere agonistische Wirkung als an Beta1-Adrenozeptoren und eine 2299-fach stärkere agonistische Wirkung als an Beta3-Adrenozeptoren ausübt. Die pharmakologischen Wirkungen dieses Wirkstoffes beruhen auf der Bindung und Aktivierung von Beta2-Adrenozeptoren nach topischer Verabreichung durch Inhalation.
Die Aktivierung dieser Rezeptoren in den Atemwegen führt zu einer Stimulierung der intrazellulären Adenylatzyklase, eines Enzyms, das die Synthese von zyklischem Adenosin-3',5'-monophosphat (cAMP) vermittelt. Ein erhöhter cAMP-Spiegel löst über die Relaxation der glatten Muskulatur in den Atemwegen eine Bronchodilatation aus.
Olodaterol besitzt das präklinische Profil eines langwirksamen selektiven Beta2-Adrenozeptor-Agonisten (LABA) mit schnellem Wirkungseintritt und einer Wirkdauer von mindestens 24 Stunden.
Beta-Adrenozeptoren werden in drei Subtypen eingeteilt, wobei Beta1-Adrenozeptoren vorwiegend in der Herzmuskulatur, Beta2-Adrenozeptoren vorwiegend auf der glatten Muskulatur der Atemwege und Beta3-Adrenozeptoren überwiegend in Fettgewebe exprimiert werden. Beta2-Agonisten führen zur Bronchodilatation. Der Beta2-Adrenozeptor ist zwar der vorherrschende adrenerge Rezeptor in der glatten Muskulatur der Atemwege, doch findet er sich auch auf der Oberfläche verschiedener anderer Zellen, z.B. auf Lungenepithel, Endothelzellen und im Herzen. Die genaue Funktion der Beta2-Rezeptoren im Herzen ist nicht bekannt, doch lässt ihr Vorhandensein darauf schliessen, dass selbst hochselektive Beta2-Adrenozeptor-Agonisten kardiale Wirkungen ausüben könnten.
Klinische Studien
Wirkung auf die Elektrophysiologie des Herzens
Tiotropium: Die Wirkung von Tiotropium Pulver zur Inhalation auf das QT-Intervall wurde in einer randomisierten, placebo- und wirkstoffkontrollierten Crossover-Studie an 53 gesunden Probanden untersucht. Die Patienten erhielten 12 Tage lang Tiotropium Pulver zur Inhalation 18 μg, 54 μg (das Dreifache der empfohlenen Dosis) oder Placebo. Die EKG-Untersuchungen erfolgten zu Baseline und im Dosierungsintervall nach der ersten und der letzten Gabe des Prüfpräparats. Tiotropium Pulver zur Inhalation 18 bzw. 54 μg führte im Vergleich zu Placebo zu einer maximalen mittleren Veränderung des studienspezifischen QTc-Intervalls um 3,2 ms bzw. 0,8 ms gegenüber Baseline. Bei keinem Probanden kam es zu einem erneuten Anstieg des QTc-Intervalls auf >500 ms oder einer Veränderung des QTc-Intervalls um ≥60 ms gegenüber Baseline.
Olodaterol: Die Wirkung von Olodaterol auf das QT/QTc-Intervall im EKG wurde in einer doppelblinden, randomisierten, placebo- und wirkstoff (Moxifloxacin)-kontrollierten Studie an 24 gesunden männlichen und weiblichen Probanden untersucht. Olodaterol in Einzeldosen von 10, 20, 30 und 50 μg führte über einen Zeitraum von 20 Minuten bis 2 Stunden nach der Verabreichung im Vergleich zu Placebo zu einer dosisabhängigen Zunahme der mittleren Veränderung des QT-Intervalls von 1,6 ms (10 μg Olodaterol) bis 6,5 ms (50 μg Olodaterol) gegenüber Baseline. Die Obergrenze des zweiseitigen 90%-Konfidenzintervalls lag auf allen Dosisstufen unter 10 ms.
Die Wirkung von 5 μg und 10 μg Olodaterol auf die Herzfrequenz und den Herzrhythmus wurden im Rahmen der 48wöchigen placebokontrollierten Phase-III-Studien anhand einer kontinuierlichen EKG-Aufzeichnung über 24 Stunden (Langzeit-EKG) in einer Untergruppe von 772 Patienten untersucht. Dabei wurden hinsichtlich der Grössenordnung der mittleren Veränderungen von Herzfrequenz oder Extrasystolen keine dosis- oder zeitbedingten Tendenzen oder Muster beobachtet. Veränderungen der Extrasystolie zwischen Baseline und Behandlungsende ergaben keinen Hinweis auf bedeutsame Unterschiede zwischen 5 μg bzw. 10 μg Olodaterol und Placebo.
Spiolto Respimat
In zwei 52-wöchigen, randomisierten, doppelblinden Studien mit Spiolto Respimat, an welchen 5162 COPD-Patienten teilnahmen, wurden EKG-Untersuchungen nach der Verabreichung an den Tagen 1, 85, 169 und 365 durchgeführt. In einer gepoolten Analyse der Anzahl der Patienten mit Veränderungen des Baseline-korrigierten QT-Intervalls >30 ms nach Bazett (QTcB) und Fridericia (QTcF) betrugen die Herzfrequenzkorrekturen des QT-Intervalls im Rahmen der durchgeführten Untersuchungen 4,9-6,4% (QTcB) und 3,3-4,7% (QTcF) für die Spiolto Respimat-Gruppe gegenüber 5,0-6,0% (QTcB) und 3,4-4,4% (QTcF) für Olodaterol 5 μg sowie 5,3-6,5% (QTcB) und 3,0-4,7% (QTcF) für Tiotropium 5 μg.
Klinische Wirksamkeit und Sicherheit
Das klinische Phase-III-Entwicklungsprogramm für Spiolto Respimat umfasste drei randomisierte, doppelblinde Studien:
(i) zwei replizierte, placebokontrollierte Parallelgruppenstudien über 52 Wochen zum Vergleich von Spiolto Respimat mit Tiotropium 5 μg und Olodaterol 5 μg (1029 Patienten erhielten Spiolto Respimat) [Studien 1 und 2]
(ii) eine 6wöchige Crossover-Studie zum Vergleich von Spiolto Respimat mit Tiotropium 5 μg, Olodaterol 5 μg und Placebo (139 Patienten erhielten Spiolto Respimat) [Studie 3]
In diesen Studien wurden die Vergleichssubstanzen Tiotropium 5 μg, Olodaterol 5 μg und Placebo über den Respimat Inhalator verabreicht.
In allen Studien wurde die Lungenfunktion untersucht (Einsekundenkapazität, FEV1). In den 52wöchigen Studien wurde die Lungenfunktion bis zu 3 Stunden nach Verabreichung (in einer Untergruppe von Patienten 12 Stunden nach Verabreichung) sowie 23-24 Stunden nach Verabreichung gemessen; die primären Wirksamkeitsendpunkte in Bezug auf die Lungenfunktion waren die Veränderung der FEV1 AUC0-3h gegenüber dem Ausgangswert vor Therapiebeginn (Ansprechen), sowie die Veränderung des FEV1-Tiefstwertes gegenüber dem Ausgangswert vor Therapiebeginn nach 24 Wochen. In der 6wöchigen Studie wurde die Lungenfunktion bis zu 12 Stunden nach Verabreichung sowie 22-24 Stunden nach Verabreichung gemessen; der primäre Wirksamkeitsendpunkt war die FEV1 AUC0-24h nach 6 Wochen. In den 52wöchigen Studien wurden ausserdem das St. George's Respiratory Questionnaire (SGRQ) als Mass der gesundheitsbezogenen Lebensqualität (primärer Endpunkt) und der Mahler Transition Dyspnea Index (TDI) als Mass der Dyspnoe (wichtiger sekundärer Endpunkt) verwendet.
In das Phase-III-Programm wurden Patienten im Alter von mindestens 40 Jahren mit klinisch diagnostizierter COPD, einer Raucheranamnese von mehr als 10 Packungsjahren und einer mittelgradigen bis schweren Beeinträchtigung der Lungenfunktion (postbronchodilatatorische FEV1 <80% des Sollwerts [GOLD-Stadien II-IV); postbronchodilatatorische FEV1/FVC-Ratio <70%]) aufgenommen.
Patientenmerkmale
Die Mehrzahl der 5162 Patienten, die für die globalen 52wöchigen Studien (Studien 1 und 2) rekrutiert wurden, war männlich (73%), «weiss» (71%) oder «asiatisch» (25%) und im Mittel 64 Jahre alt. Die mittlere postbronchodilatatorische FEV1 betrug 1,37 l (GOLD II [50%], GOLD III [39%], GOLD IV [11%]). Die mittlere Ansprechbarkeit für Beta2-Agonisten lag bei 16,6% des Ausgangswerts (0,171 l). Als Begleittherapie waren alle Atemwegstherapeutika (z.B. inhalative Steroide [47%] und Xanthine [10%]) zulässig.
Die 6-wöchige Studie (Studie 3) wurde in Europa und Nordamerika durchgeführt. Die Mehrzahl der 219 rekrutierten Patienten war männlich (59%), «weiss» (99%) und im Mittel 61,1 Jahre alt. Die mittlere postbronchodilatatorische FEV1 betrug 1,55 l (GOLD II [64%], GOLD III [34%], GOLD IV [2%]). Die mittlere Ansprechbarkeit für Beta2-Agonisten lag bei 15,9% des Ausgangswerts (0,193 l). Als Begleittherapie waren alle Atemwegstherapeutika (z.B. inhalative Steroide [41%] und Xanthine [4%]) zulässig.
Lungenfunktion
In den 52wöchigen Studien bewirkte Spiolto Respimat (einmal täglich morgens) innerhalb von 5 Minuten nach der ersten Dosis eine eindeutige Verbesserung der Lungenfunktion (mittlere Zunahme der FEV1 um 0,137 l) im Vergleich zu Tiotropium 5 μg (0,058 l, p<0,0001) und Olodaterol 5 μg (0,125 l, p=0,16). In beiden Studien wurde eine signifikante Verbesserung der FEV1 AUC0-3h und des FEV1-Tiefstwertes nach 24 Wochen (primäre Endpunkte der Lungenfunktion) für Spiolto Respimat gegenüber Tiotropium 5 μg und Olodaterol 5 μg festgestellt (Tabelle 1).
Tabelle 1: Differenz der FEV1 AUC0-3h-Werte und FEV1-Tiefstwerte für Spiolto Respimat zu Tiotropium 5 μg und Olodaterol 5 μg nach 24 Wochen (Studien 1 und 2).
|
FEV1 AUC0-3 h
|
FEV1-Tiefstwert
|
Studie 1
|
Studie 2
|
Studie 1
|
Studie 2
|
n
|
Mittelwert
|
n
|
Mittelwert
|
n
|
Mittelwert
|
n
|
Mittelwert
|
Spiolto Respimat versus
|
522
|
--
|
502
|
--
|
521
|
--
|
497
|
--
|
Tiotropium 5 μg
|
526
|
0,117 l
|
500
|
0,103 l
|
520
|
0,071 l
|
498
|
0,050 l
|
Olodaterol 5 μg
|
525
|
0,123 l
|
507
|
0,132 l
|
519
|
0,082 l
|
503
|
0,088 l
|
FEV1-Ausgangswert vor Therapiebeginn: Studie 1 = 1,16 l;
Studie 2 = 1,15 l
p≤0,0001 für alle Vergleiche
Die im Vergleich zu Tiotropium 5 μg und Olodaterol 5 μg stärkere bronchodilatatorische Wirkung von Spiolto Respimat hielt über die gesamte 52wöchige Behandlungsphase hinweg an. Spiolto Respimat führte im Vergleich zu Tiotropium 5 μg und Olodaterol 5 μg ausserdem zu einer Verbesserung der morgendlichen und abendlichen maximalen exspiratorischen Atemflussrate (PEFR), die anhand der täglichen Aufzeichnungen der Patienten ermittelt wurde.
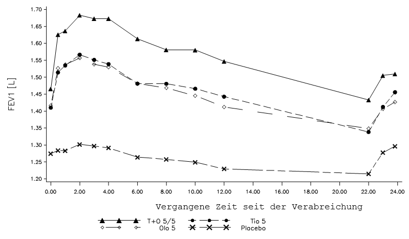
In der Untergruppe von Patienten, an welchen bis zu 12 Stunden nach Verabreichung erweiterte Lungenfunktionsmessungen vorgenommen wurden, zeigte Spiolto Respimat über das gesamte 24-Stunden-Dosierintervall eine signifikant stärkere Wirkung auf die FEV1 als Tiotropium 5 μg und Olodaterol 5 μg (Abbildung 1, Tabelle 2).
Abbildung 1: FEV1-Profil für Spiolto Respimat, Tiotropium 5 μg und Olodaterol 5 μg über das gesamte 24stündige Dosierintervall nach 24 Wochen (Untergruppe aus den Studien 1 und 2 mit 12stündigen PFT; kombinierter Datensatz)

Tabelle 2: Differenz der FEV1 für Spiolto Respimat zu Tiotropium 5 μg und Olodaterol 5 μg über das gesamte 24stündige Dosierintervall nach 24 Wochen ((Untergruppe aus den Studien 1 und 2 mit 12stündigen PFT; kombinierter Datensatz)
|
n
|
12 h Durchschnitt
|
24 h Durchschnitt
|
Spiolto Respimat versus
|
167
|
|
|
Tiotropium 5 μg
|
160
|
0,123
|
0,106
|
Olodaterol 5 μg
|
194
|
0,118
|
0,098
|
FEV1-Ausgangswert vor Therapiebeginn = 1,17 l
p<0,0001 für alle Vergleiche
In der 6wöchigen Studie zeigte Spiolto Respimat über das gesamte 24-Stunden-Dosierintervall eine signifikant stärkere Wirkung auf die FEV1 als Tiotropium 5 μg, Olodaterol 5 μg und Placebo (Abbildung 2, Tabelle 3).
Abbildung 2: FEV1-Profil für Spiolto Respimat, Tiotropium 5 μg, Olodaterol 5 μg und Placebo über ein vollständiges 24stündiges Dosierintervall nach 6 Wochen (Studie 3)

Tabelle 3: Differenz der FEV1 (l) für Spiolto Respimat zu Tiotropium 5 μg, Olodaterol 5 μg und Placebo über das gesamte 24stündige Dosierintervall nach 6 Wochen (Studie 3).
|
n
|
3 h Durchschnitt
|
n
|
12 h Durchschnitt
|
24 h Durchschnitt1
|
Tiefstwert
|
Spiolto Respimat versus
|
138
|
|
138
|
|
|
|
Tiotropium 5 μg
|
137
|
0,109
|
135
|
0,119
|
0,110
|
0,079
|
Olodaterol 5 μg
|
138
|
0,109
|
136
|
0,126
|
0,115
|
0,092
|
Placebo
|
135
|
0,325
|
132
|
0,319
|
0,280
|
0,207
|
FEV1-Ausgangswert vor Therapiebeginn = 1,30 l
1 Primärer Endpunkt
p<0,0001 für alle Vergleiche
Gesundheitsbezogene Lebensqualität
Nach 24 Wochen war der mittlere SGRQ-Gesamtscore unter Spiolto Respimat gegenüber Tiotropium 5 μg und Olodaterol 5 μg signifikant verbessert (Tabelle 4), wobei in allen SGRQ-Domänen Verbesserungen festgestellt wurden. Eine grössere Anzahl der mit Spiolto Respimat behandelten Patienten zeigte eine klinisch relevante Verbesserung des SGRQ-Gesamtscores (geringster klinisch relevanter Unterschied [MCID], definiert als Abnahme von mindestens 4 Einheiten im Vergleich zum Ausgangswert) als Patienten unter Tiotropium 5 μg (57,5% versus 48,7%, p=0,0001) bzw. Olodaterol 5 μg (57,5% versus 44,8%, p<0,0001).
Tabelle 4: SGRQ (Gesamt- und Domain-Scores) nach 24 Behandlungswochen
(Studie 1 (TOnado™ 1) und Studie 2 (TOnado™ 2)
|
n
|
Mittelwert nach Behandlungsgruppe (Veränderung gegenüber dem Ausgangswert
|
Differenz zu Spiolto Respimat
|
Mittel-wert (p-Wert)
|
Gesamtscore
|
Ausgangswert
|
|
43,5
|
|
Spiolto Respimat
|
979
|
36,7 (-6,8)
|
|
Tiotropium 5 μg
|
954
|
37,9 (-5,6)
|
-1,23 (p=0,025)
|
Olodaterol 5 μg
|
954
|
38,4 (-5,1)
|
-1,69 (p=0,002)
|
Symptome
|
Ausgangswert
|
|
51,9
|
|
Spiolto Respimat
|
982
|
42,6
|
|
Tiotropium 5 μg
|
957
|
45,5
|
-2,94 (p=0,0008)
|
Olodaterol 5 μg
|
958
|
45,0
|
-2,48 (p=0,0046)
|
Aktivität
|
Ausgangswert
|
|
58,0
|
|
Spiolto Respimat
|
981
|
51,9
|
|
Tiotropium 5 μg
|
959
|
53,2
|
-1,34 (p=0,052)
|
Olodaterol 5 μg
|
958
|
54,0
|
-2,11 (p=0,002)
|
Auswirkungen
|
Ausgangswert
|
|
32,6
|
|
Spiolto Respimat
|
983
|
26,1
|
|
Tiotropium 5 μg
|
960
|
26,8
|
-0,67 (p=0,283)
|
Olodaterol 5 μg
|
959
|
27,2
|
-1,11 (p=0,075)
|
In zwei zusätzlichen 12-wöchigen, placebokontrollierten klinischen Studien (Studie 7 (OTEMTO™1 ) und Studie 8 (OTEMTO™2) wurde ausserdem der SGRQ-Gesamt-Score nach 12 Wochen, der ein Mass für die gesundheitsbezogene Lebensqualität darstellt, als primärer Endpunkt einbezogen.
In den 12-wöchigen Studien bewirkte Spiolto Respimat im Vergleich zu Placebo in Woche 12 eine Verbesserung des mittleren SGRQ-Gesamt-Scores (primärer Endpunkt) um −4,9 (95%-KI: −6,9, −2,9; p <0,0001) bzw. −4,6 (95%-KI: −6,5, −2,6; p <0,0001). In einer gepoolten supportiven Analyse der 12-wöchigen Studien war der prozentuale Anteil der Patienten mit einer klinisch bedeutsamen Besserung des SGRQ-Gesamt-Scores (definiert als Rückgang um mindestens 4 Einheiten gegenüber dem Ausgangswert) in Woche 12 in der mit Spiolto Respimat behandelten Gruppe höher (52%) als in der mit Tiotropium 5 Mikrogramm behandelten Gruppe (41%; Odds Ratio: 1,56 (95%-KI: 1,17, 2,07), p = 0,0022) und der Placebo-Gruppe (32%; Odds Ratio: 2,35 (95%-KI: 1,75, 3,16), p <0,0001).
Dyspnoe
Nach 24 Wochen war der mittlere TDI Focal Score unter Spiolto Respimat gegenüber Tiotropium 5 μg und Olodaterol 5 μg signifikant verbessert (Tabelle 5). Eine grössere Anzahl der mit Spiolto Respimat behandelten Patienten zeigte eine klinisch relevante Verbesserung des TDI Focal Score (MCID, definiert als Verbesserung um mindestens einen Punkt) als Patienten unter Tiotropium 5 μg (54,9% versus 50,6%, p=0,0546) bzw. Olodaterol 5 μg (54,9% versus 48,2%, p 0,0026).
Tabelle 5: TDI Focal Score nach 24 Behandlungswochen
(Studie 1 (TOnado™ 1) und Studie 2 (TOnado™ 2)
|
n
|
Mittelwert nach Behandlungsgruppe
|
Differenz zu Spiolto Respimat
|
Mittelwert (p-Wert)
|
Spiolto Respimat
|
992
|
1,98
|
|
Tiotropium 5 μg
|
978
|
1,63
|
0,36 (p=0,008)
|
Olodaterol 5 μg
|
984
|
1,56
|
0,42 (p=0,002)
|
Anwendung von Notfallmedikation
Die mit Spiolto Respimat behandelten Patienten wendeten sowohl tagsüber als auch nachts weniger Salbutamol als Notfallmedikation an als die Patienten, die Tiotropium 5 μg bzw. Olodaterol 5 μg erhielten.
PGR (Patient Global Rating)
Die mit Spiolto Respimat behandelten Patienten nahmen eine deutlichere Besserung ihrer Atemwegserkrankung wahr als die Patienten, die Tiotropium 5 μg bzw. Olodaterol 5 μg Placebo erhielten, wie anhand der PGR-Skala (Patient Global Rating) ermittelt wurde.
Exazerbationen
Gegenüber Tiotropium 5 μg wurde keine statistisch signifikante Reduktion des Risikos einer COPD-Exazerbation nachgewiesen. In dem kombinierten Datensatz von den 52-wöchigen Pivot-Studien betrug der Anteil der Patienten mit einer mittelgradigen/schweren COPD-Exazerbation 27,7% für Spiolto Respimat und 28,8% für Tiotropium 5 μg. Diese Studie war nicht speziell darauf ausgerichtet, die Therapiewirkungen auf COPD-Exazerbationen zu erfassen.
In Studie 9 wurde bei Patienten mit schwerer bis sehr schwerer COPD unter Spiolto Respimat eine numerisch tiefere Jahres-Rate mittelschwerer-schwerer COPD Exazerbationen gefunden, als unter Tiotropium 5 mcg allein (0.90 versus 0.97). Der Unterschied war aber statistisch nicht signifikant.
Inspiratorische Kapazität, Atembeschwerden und körperliche Ausdauer
Die Wirkung von Spiolto Respimat auf die inspiratorische Kapazität, Atembeschwerden und die symptomlimitierte körperliche Ausdauer wurde in drei randomisierten, doppelblinden Studien an COPD-Patienten untersucht:
(i) zwei replizierte 6wöchige Cross-Over-Studien zum Vergleich von Spiolto Respimat mit Tiotropium 5 μg, Olodaterol 5 μg und Placebo bei konstanter Belastung auf dem Fahrradergometer (450 Patienten erhielten Spiolto Respimat) [Studien 4 und 5]
(ii) eine 12wöchige Parallelgruppenstudie zum Vergleich von Spiolto Respimat mit Placebo bei jeweils konstanter Belastung auf dem Fahrradergometer (139 Patienten erhielten Spiolto Respimat) und dem Laufbandergometer (Untergruppe von Patienten) [Studie 6]
Spiolto Respimat verbesserte signifikant die inspiratorische Kapazität im Vergleich zu Tiotropium 5 μg, Olodaterol 5 μg und Placebo nach 6 Wochen (Studien 4 und 5; Tabelle 6) sowie zu Placebo nach 12 Wochen (0,234 l, p<0,0001; Studie 6).
Tabelle 6: Differenz der inspiratorischen Kapazität in Ruhe (IC) (l) für Spiolto Respimat zu Tiotropium 5 μg, Olodaterol 5 μg und Placebo nach 6 Wochen (Studien 4 und 5)
|
n
|
Studie 41
|
n
|
Studie 52
|
Spiolto Respimat versus
|
219
|
|
218
|
|
Tiotropium 5 μg
|
213
|
0,114 (p<0,0001)
|
208
|
0,088 (p=0,0005)
|
Olodaterol 5 μg
|
214
|
0,119 (p<0,0001)
|
208
|
0,080 (p=0,0015)
|
Placebo
|
211
|
0,244 (p<0,0001)
|
202
|
0,265 (p<0,0001)
|
1 Ausgangswert vor Therapiebeginn: 2,53 l
2 Ausgangswert vor Therapiebeginn: 2,59 l
In den Studien 4 und 5 verlängerte Spiolto Respimat die Ausdauerzeit bei konstanter Belastung auf dem Fahrradergometer im Vergleich zu Placebo um 20,9% bzw. 13% (Tabelle 7). In Studie 6 verlängerte Spiolto Respimat die Ausdauerzeit bei konstanter Belastung auf dem Fahrradergometer nach der ersten Dosis um 12,6% (in einer Untergruppe von Patienten), nach 6 Wochen um 22,9% und nach 12 Wochen um 13,8% im Vergleich zu Placebo sowie die Ausdauerzeit bei konstanter Belastung auf dem Laufbandergometer (in einer Untergruppe von Patienten) nach 6 Wochen um 20,6% und nach 12 Wochen um 20,9% im Vergleich zu Placebo (Tabelle 8).
Tabelle 7: Geometrisches Mittel der Ausdauerzeit (s) bei konstanter Belastung auf dem Fahrradergometer für Spiolto Respimat im Vergleich zu Placebo nach 6 Wochen (Studien 4 und 5).
|
n
|
Studie 41
|
n
|
Studie 52
|
Spiolto Respimat
|
212
|
454,1
|
216
|
465,7
|
Placebo
|
209
|
375,5
|
205
|
410,8
|
Ratio
|
|
1,209 (p<0,0001)
|
|
1,134 (p<0,0001)
|
1 Ausgangswert vor Therapiebeginn: 460,0 s
2 Ausgangswert vor Therapiebeginn: 434,3 s
Tabelle 8: Geometrisches Mittel der Ausdauerzeit (s) bei konstanter Belastung auf dem Fahrrad- bzw. Laufbandergometer für Spiolto Respimat im Vergleich zu Placebo nach 12 Wochen (Studie 6).
|
Radfahren
|
Gehen
|
n
|
12 Wochen 1,2
|
n
|
12 Wochen 3,4
|
Spiolto Respimat
|
80
|
527,5
|
59
|
376,4
|
Placebo
|
77
|
463,6
|
50
|
311,4
|
Ratio
|
|
1,138 (p=0,021)
|
|
1,209 (p=0,055)
|
1 Ausgangswert vor Therapiebeginn: 443,0 s;
2 primärer Endpunkt
3 Ausgangswert vor Therapiebeginn: 311,2 s;
4 wichtiger sekundärer Endpunkt
|