ZusammensetzungWirkstoffe
Voretigen Neparvovec: ein Gentransfer-Vektor, der das Kapsid eines Adeno-assoziierten viralen Vektors vom Serotyp 2 (AAV2) als Transportvehikel für die cDNA des humanen retinalen Pigmentepithel-spezifischen 65 kDa-Proteins (hRPE65) in die Retina verwendet. Voretigen Neparvovec wird aus einem natürlich vorkommenden AAV mittels rekombinanter DNA-Techniken gewonnen.
Besteht aus genetisch verändertem Adeno-assoziiertem viralem Vektor vom Serotyp 2 (AAV2).
Hilfsstoffe
Konzentrat: Natriumchlorid, Natriumdihydrogenphosphat-Monohydrat (zur pH-Wert-Einstellung), Dinatriumhydrogenphosphat-Dihydrat (zur pH-Wert-Einstellung), Poloxamer 188, Wasser für Injektionszwecke.
Lösungsmittel: Natriumchlorid, Natriumdihydrogenphosphat-Monohydrat (zur pH-Wert-Einstellung), Dinatriumhydrogenphosphat-Dihydrat (zur pH-Wert-Einstellung), Poloxamer 188, Wasser für Injektionszwecke.
Indikationen/AnwendungsmöglichkeitenLuxturna wird angewendet zur Behandlung von erwachsenen und pädiatrischen Patienten mit Sehverlust aufgrund einer erblichen Netzhautdystrophie, die auf nachgewiesenen biallelischen RPE65-Mutationen beruht und über ausreichend lebensfähige Netzhautzellen verfügen.
Dosierung/AnwendungVor der Behandlung mit Luxturna müssen das Vorliegen einer biallelischen RPE65-Mutation und die Art der Mutation mithilfe eines validierten Tests nachgewiesen werden. Dieser Test fällt in den Geltungsbereich des Bundesgesetzes über genetische Untersuchungen beim Menschen (GUMG) und kann nur bei einem vom Bundesamt für Gesundheit (BAG) für dieses Fachgebiet zugelassenen Labor bestellt werden.
Luxturna darf nur in Universitätskliniken der Kategorie A1 angewendet werden. Diese müssen über ein qualifiziertes Augenbehandlungszentrum verfügen, welches Erfahrung in der Betreuung und Behandlung von Patienten mit erblichen Netzhautdystrophien hat und über eine spezialisierte Klinikapotheke verfügen. Die Ärzte und Pharmazeuten müssen bezüglich der Anwendung und Zubereitung von Luxturna geschult sein. Die Behandlung muss durch einen geschulten Netzhautchirurgen mit Erfahrung in der Durchführung von Makulaoperationen eingeleitet und durchgeführt werden.
Patienten erhalten jeweils eine Einzeldosis von 1.5 x 1011 Vg Luxturna pro Auge. Jede Dosis wird in einem Gesamtvolumen von 0.3 ml in den subretinalen Raum verabreicht. Luxturna darf nicht als intravitreale Injektion verabreicht werden. Die individuelle Verabreichung pro Auge erfolgt an unterschiedlichen Tagen innerhalb eines kurzen Zeitintervalls, das jedoch mindestens 6 Tage betragen muss.
Für detaillierte Informationen zur Vorbereitung, Verabreichung und Beseitigung von Luxturna, siehe «Hinweise für die Handhabung».
Immunmodulatorischer Behandlungsplan
Vor Einleitung des immunmodulatorischen Behandlungsplans und vor Verabreichung von Luxturna muss der Patient auf Symptome einer aktiven Infektionserkrankung jeglicher Art untersucht werden. Liegt eine solche Infektion vor, muss der Behandlungsbeginn bis zur Genesung des Patienten verschoben werden.
Es wird empfohlen, 3 Tage vor der Verabreichung von Luxturna in das erste Auge einen immunmodulatorischen Behandlungsplan entsprechend nachstehendem Schema einzuleiten (siehe Tabelle 1). Die Einleitung des immunmodulatorischen Behandlungsplans für das zweite Auge sollte demselben Schema folgen und an die Stelle des immunmodulatorischen Behandlungsplans für das erste Auge treten.
Tabelle 1: Prä- und postoperativer immunmodulatorischer Behandlungsplan
|
Präoperativ
|
3 Tage vor Verabreichung von Luxturna
|
Prednison (oder Äquivalent) 1 mg/kg/Tag (Tageshöchstdosis: 40 mg)
| |
Postoperativ
|
4 Tage (einschliesslich des Tages der Verabreichung von Luxturna)
|
Prednison (oder Äquivalent) 1 mg/kg/Tag (Tageshöchstdosis: 40 mg)
| |
Gefolgt von 5 Tagen
|
Prednison (oder Äquivalent) 0.5 mg/kg/Tag (Tageshöchstdosis: 20 mg)
| |
Gefolgt von 5 Tagen mit jeweils einer Dosis alle zwei Tage
|
Prednison (oder Äquivalent) 0.5 mg/kg alle zwei Tage (Tageshöchstdosis: 20 mg)
|
Um die Rückverfolgbarkeit von Arzneimitteln, die gentechnisch veränderte Organismen enthalten, zu gewährleisten, müssen bei jeder Behandlung der Handelsname und die Chargennummer dokumentiert werden.
Besondere Patientengruppen
Patienten mit Leber- oder Nierenfunktionsstörungen
Die Sicherheit und Wirksamkeit von Luxturna bei Patienten mit Leber- oder Nierenfunktionsstörung ist nicht erwiesen. Für diese Patienten ist keine Dosisanpassung erforderlich (siehe «Pharmakokinetik bei besonderen Patientengruppen»).
Ältere Patienten (65 Jahre oder älter)
Die Sicherheit und Wirksamkeit von Luxturna bei Patienten im Alter von 65 Jahren und älter ist nicht erwiesen.
Kinder und Jugendliche (unter 18 Jahren)
Die Sicherheit und Wirksamkeit von Luxturna bei Kindern unter 4 Jahren ist nicht erwiesen. Für pädiatrische Patienten ab 4 Jahren ist keine Dosisanpassung erforderlich.
Die Anwendung bei Säuglingen unter 12 Monaten wird nicht empfohlen, da die Gefahr einer möglichen Verdünnung oder eines Verlusts von Luxturna nach der Verabreichung aufgrund der aktiven Vermehrung von Netzhautzellen, die in dieser Altersgruppe auftritt, besteht.
Kontraindikationen·Okuläre oder periokuläre Infektion.
·Aktive intraokuläre Entzündung.
·Überempfindlichkeit gegen den Wirkstoff oder einen der Hilfsstoffe.
Warnhinweise und VorsichtsmassnahmenEndophthalmitis
Eine Endophthalmitis kann nach jedem intraokulären chirurgischen Eingriff bzw. nach jeder intraokulären Injektion auftreten. Verwenden Sie bei der Verabreichung von Luxturna stets die ordnungsgemässe aseptische Injektionstechnik. Nach der Injektion müssen die Patienten überwacht werden, um im Falle einer Infektion eine frühzeitige Behandlung zu ermöglichen. Die Patienten müssen angewiesen werden, alle Anzeichen oder Symptome einer Infektion oder Entzündung unverzüglich zu melden.
Dauerhafter Rückgang der Sehschärfe
Nach der subretinalen Injektion von Luxturna kann es zu einem dauerhaften Rückgang der Sehschärfe kommen. Überwachen Sie die Patienten auf Sehstörungen.
Netzhauterkrankungen
Während oder nach der subretinalen Injektion von Luxturna können Netzhauterkrankungen auftreten, einschliesslich Makulalöcher (Makulaforamen), foveale Verdünnung, Verlust der Foveafunktion, foveale Dehiszenz und Netzhautblutung. Überwachen und behandeln Sie diese Netzhauterkrankungen entsprechend. Verabreichen Sie Luxturna nicht in unmittelbarer Nähe der Fovea (siehe «Hinweise für die Handhabung»).
Während oder nach der Vitrektomie können Netzhauterkrankungen auftreten, wie zum Beispiel Netzhauteinriss, epiretinale Membran oder Netzhautablösung. Überwachen Sie die Patienten während und nach der Injektion, um eine frühzeitige Behandlung dieser Netzhauterkrankungen zu ermöglichen. Weisen Sie die Patienten an, alle Anzeichen oder Symptome eines Netzhauteinrisses und/oder einer Netzhautablösung unverzüglich zu melden.
Erhöhter Augeninnendruck
Nach der subretinalen Injektion von Luxturna kann es zu einem Anstieg des Augeninnendrucks kommen. Überwachen und behandeln Sie den Augeninnendruck entsprechend.
Ausdehnung der intraokulären Luftblasen
Weisen Sie die Patienten an, Flugreisen, Reisen in grosse Höhen und Tauchen zu vermeiden, bis sich die infolge der Verabreichung von Luxturna auftretenden Luftblasen, welche in das Auge eindringen können,vollständig aufgelöst haben. Das Auflösen der Luftblase kann ab der Injektion bis zu einer Woche oder länger dauern. Überprüfen Sie das Auflösen der Luftblase durch eine ophthalmologische Untersuchung. Ein schneller Höhenanstieg bei noch vorhandener Luftblase kann zum Anstieg des Augeninnendrucks und zu einem irreversiblen Sehverlust führen.
In den Wochen nach der Behandlung können vorübergehende Sehstörungen wie verschwommenes Sehen und Photophobie auftreten. Patienten sollten angewiesen werden, bei anhaltenden Sehstörungen ihren Augenarzt aufzusuchen. Patienten sollten aufgrund eines erhöhten Infektionsrisikos am Auge Schwimmen vermeiden. Patienten sollten anstrengende körperliche Aktivitäten aufgrund des erhöhten Verletzungsrisikos für das Auge vermeiden. In Absprache mit ihrem Arzt können Patienten nach mindestens ein bis zwei Wochen das Schwimmen und anstrengende körperliche Aktivitäten wieder aufnehmen.
Freisetzung des Vektors (Vektor-Shedding)
Es kann eine vorübergehende und geringfügige Freisetzung des Vektors (Vektor-Shedding) in die Tränenflüssigkeit des Patienten stattfinden (siehe «Pharmakokinetik»). Als Vorsichtsmassnahme sollten Patienten/Pflegepersonen angewiesen werden, Abfälle, die von Verbänden, Tränenflüssigkeit und Nasensekret stammen, in geeigneter Weise zu handhaben. Dies kann auch die Lagerung des Abfallmaterials in verschlossenen Beuteln bis zur Entsorgung beinhalten. Diese Vorsichtsmassnahmen für die Handhabung sind in den 14 Tagen nach der Verabreichung von Luxturna zu befolgen. Den Patienten/Pflegepersonen wird empfohlen, beim Verbandswechsel und bei der Abfallbeseitigung Handschuhe zu tragen. Dies gilt insbesondere für schwangere, stillende oder immundefiziente Pflegepersonen.
Mit Luxturna behandelte Patienten dürfen kein Blut und keine Organe, Gewebe und Zellen für Transplantationen spenden.
Katarakt
Die subretinale Injektion von Luxturna, insbesondere die Vitrektomie, ist mit einer erhöhten Inzidenz der Kataraktentwicklung und/oder -progression verbunden.
Immunogenität
Zur Verringerung des Immunogenitätspotenzials sollten Patienten vor und nach der subretinalen Injektion von Luxturna in das jeweilige Auge, systemische Kortikosteroide erhalten. Die Kortikosteroide können die mögliche Immunreaktion auf das Vektor-Kapsid (Adeno-assoziierter viraler Vektor vom Serotyp 2 [AAV2]) oder auf das transgene Produkt (retinales Pigmentepithel-spezifisches 65 kDa-Protein [RPE65]) verringern.
InteraktionenEs wurden keine Studien zur Erfassung von Interaktionen durchgeführt.
Schwangerschaft, StillzeitIn Anbetracht des subretinalen Verabreichungsweges von Luxturna und auf der Grundlage von nicht-klinischen und klinischen Daten aus Studien mit AAV2-Vektoren besteht ein sehr geringes oder vernachlässigbares Risiko einer unbeabsichtigten Übertragung der AAV-Vektoren in die Keimbahn.
Schwangerschaft
Es gibt keine hinreichenden und gut kontrollierten Studien mit schwangeren Frauen, um Aussagen über ein arzneimittelbedingtes Risiko machen zu können. Es wurden keine Reproduktionsstudien an Tieren zu Voretigen Neparvovec durchgeführt.
Als Vorsichtsmassnahme ist es vorzuziehen, die Anwendung von Luxturna während der Schwangerschaft zu vermeiden.
Stillzeit
Es ist nicht bekannt, ob Voretigen Neparvovec in die Muttermilch übergeht. Es liegen keine Daten über die Auswirkungen von Voretigen Neparvovec auf das gestillte Kind oder die Milchproduktion vor. Es muss eine Entscheidung darüber getroffen werden, ob das Stillen zu unterbrechen ist oder ob auf die Behandlung mit Voretigen Neparvovec verzichtet werden soll. Dabei ist sowohl der Nutzen des Stillens für das Kind als auch der Nutzen der Therapie für die Mutter zu berücksichtigen.
Fertilität
Zu den Auswirkungen des Arzneimittels auf die Fertilität liegen keine Daten vor.
Wirkung auf die Fahrtüchtigkeit und auf das Bedienen von MaschinenVoretigen Neparvovec hat geringen Einfluss auf die Fahrtüchtigkeit und die Fähigkeit zum Bedienen von Maschinen. Zu beachten ist, dass nach der subretinalen Injektion von Luxturna bei den Patienten vorübergehende Sehstörungen auftreten können. Patienten sollten daher nach der subretinalen Injektion kein Fahrzeug führen und keine Maschinen bedienen, bis ihre Sehkraft nach Feststellung ihres Augenarztes ausreichend wiederhergestellt ist.
Unerwünschte WirkungenZusammenfassung des Sicherheitsprofils
Drei nicht schwerwiegende unerwünschte Arzneimittelwirkungen in Form von retinalen Ablagerungen traten bei drei von 41 (7%) Patienten auf, bei denen ein Zusammenhang mit Voretigen Neparvovec vermutet wurde. Bei allen drei Ereignissen handelte es sich um das vorübergehende Auftreten von asymptomatischen subretinalen Präzipitaten unter der retinalen Injektionsstelle, die 1 bis 6 Tage nach der Injektion auftraten und ohne Folgeschäden abklangen.
Bei drei Patienten traten während des klinischen Entwicklungsprogramms im Zusammenhang mit dem Verabreichungsverfahren schwerwiegende unerwünschte Arzneimittelwirkungen auf. Einer von 41 Patienten (2%) meldete einen erhöhten Augeninnendruck als schwerwiegendes Ereignis (sekundär zur Verabreichung eines Depot-Steroids), das mit der Behandlung einer Endophthalmitis assoziiert war; diese trat im Zusammenhang mit dem Verabreichungsverfahren auf und führte zu einer Atrophie des Nervus opticus. Eine Netzhauterkrankung (Verlust der Foveafunktion) und eine Netzhautablösung wurden jeweils von einem Patienten berichtet (1/41; 2%).
Die häufigsten in Zusammenhang mit dem Verabreichungsverfahren bedingten unerwünschten Arzneimittelwirkungen (Inzidenz von ≥5%) waren Bindehauthyperämie, Katarakt, erhöhter intraokulärer Druck, Netzhauteinriss, Hornhautdellen (Verdünnung des Hornhautstromas), Makulaloch (Makulaforamen), subretinale Ablagerungen, Augenentzündung, Augenreizung, Augenschmerz und Makulopathie (Faltenbildung auf der Makulaoberfläche).
Zusammenfassung der unerwünschten Arzneimittelwirkungen aus klinischen Studien
Die in diesem Abschnitt beschriebenen Sicherheitsdaten spiegeln die Exposition gegenüber Voretigen Neparvovec in drei klinischen Studien mit 41 Patienten (81 behandelte Augen) wider, die einen Sehverlust aufgrund einer erblichen Netzhautdystrophie, verursacht durch eine bestätigte biallele RPE65-Mutation, aufwiesen. Studie 101 (n=12) war eine Phase-1-Sicherheits- und Dosiseskalationsstudie, in der 12 Patienten einseitige subretinale Injektionen von Voretigen Neparvovec erhielten. Elf der zwölf Patienten, die an der Dosiseskalationsstudie teilnahmen, erhielten Voretigen Neparvovec im zweiten Auge (Studie 102). Die Studie 301 (n=29) war eine offene, randomisierte, kontrollierte Studie zur Untersuchung der Wirksamkeit und Sicherheit (siehe «Klinische Wirksamkeit»). Insgesamt erhielten 40 der 41 Patienten sequentielle subretinale Injektionen von Voretigen Neparvovec in jedes Auge. Ein Patient erhielt Voretigen Neparvovec in nur ein Auge.
Zweiundsiebzig der 81 Augen wurden mit der empfohlenen Dosis Luxturna von 1.5 x 1011 Vg behandelt In Studie 101 wurden 9 Augen mit einer niedrigeren Dosis Voretigen Neparvovec behandelt. Das Durchschnittsalter der 41 Patienten lag bei 17 Jahren, bei einem Altersbereich von 4 bis 44 Jahren. Von den 41 Patienten waren 25 (61%) pädiatrische Patienten unter 18 Jahren und 23 (56%) weiblich.
Unerwünschte Arzneimittelwirkungen aus klinischen Studien (Studien 101, 102 und301, gesamthaft 41 Patienten) sind nach MedDRA-Systemorganklasse aufgelistet. Innerhalb jeder Systemorganklasse werden die unerwünschten Arzneimittelwirkungen nach Häufigkeit aufgelistet, wobei die häufigsten unerwünschten Arzneimittelwirkungen zuerst genannt werden. Innerhalb jeder Häufigkeitsgruppe werden die unerwünschten Arzneimittelwirkungen nach abnehmendem Schweregrad angegeben. Darüber hinaus basiert die jeweilige Häufigkeitskategorie für jede unerwünschte Arzneimittelwirkung auf der folgenden Konvention (CIOMS III): sehr häufig (≥1/10); häufig (≥1/100 bis < 1/10); gelegentlich (≥1/1000 bis <1/100); selten (≥1/10'000 bis < 1/1000); sehr selten (< 1/10'000).
Die unerwünschten Arzneimittelwirkungen können mit Voretigen Neparvovec, dem subretinalen Injektionsverfahren, der gleichzeitigen Verwendung von Kortikosteroiden oder einer Kombination dieser Verfahren und Arzneimittel zusammenhängen.
Tabelle 1: Prozentsatz der Patienten mit unerwünschten Arzneimittelwirkungen in klinischen Studien
|
Häufigkeitsgruppe
|
Unerwünschten Arzneimittelwirkungen
|
Studien 101 + 102 + 301 (N = 41 Probanden)* n (%)
| |
Augenerkrankungen
| |
Sehr häufig
|
Bindehauthyperämiea
|
9 (22)
| |
Katarakt
|
8 (20)
| |
Häufig
|
Netzhauteinrissg
|
4 (10)
| |
Makulaloch (Makulaforamen)
|
3 (7)
| |
Retinale Ablagerungenb,
|
3 (7)
| |
Hornhautdellen
|
3 (7)
| |
Augenentzündung
|
2 (5)
| |
Makulopathiec
|
2 (5)
| |
Augenreizung
|
2 (5)
| |
Augenschmerzen
|
2 (5)
| |
Netzhautablösung
|
1 (2)
| |
Netzhautblutung
|
1 (2)
| |
Chorioideale Blutung (Blutung der Aderhaut)
|
1 (2)
| |
Endophthalmitis
|
1 (2)
| |
Makuladegenerationd
|
1 (2)
| |
Bindehautzyste
|
1 (2)
| |
Augenerkrankungene
|
1 (2)
| |
Schwellung des Auges
|
1 (2)
| |
Fremdkörpergefühl in den Augen
|
1 (2)
| |
Erkrankung der Retina (Netzhauterkrankung) f
|
1 (2)
| |
Unbekannt
|
Glaskörpertrübungenh
|
-
| |
Investigations
| |
Sehr häufig
|
Intraokulärer Druck erhöht (Anstieg des Augeninnendrucks)
|
6 (15)
| |
Häufig
|
T-Inversion im Elektrokardiogramm
|
1 (2)
| |
Psychiatrische Erkrankungen
| |
Häufig
|
Angstzustände
|
1 (2)
| |
Erkrankungen des Nervensystems
| |
Häufig
|
Kopfschmerz
|
3 (7)
| |
Schwindelgefühl
|
1 (2)
| |
Erkrankungen des Gastrointestinaltrakts
| |
Häufig
|
Übelkeit
|
3 (7)
| |
Erbrechen
|
2 (5)
| |
Schmerzen im Oberbauch
|
1 (2)
| |
Lippenschmerzen
|
1 (2)
| |
Erkrankungen der Haut und des Unterhautzellgewebes
| |
Häufig
|
Hautausschlag
|
1 (2)
| |
Gesichtsschwellung
|
1 (2)
| |
Verletzung, Vergiftung und durch Eingriffe bedingte Komplikationen
| |
Häufig
|
Komplikation infolge endotrachealer Intubation
|
1 (2)
| |
Wunddehiszenz
|
1 (2)
| |
a
Enthält wortgetreue Begriffe Nahtreizung und Nahtreaktion b Enthält wortgetreuen Begriff subretinales Präzipitat c Enthält wortgetreue Begriffe epiretinale Membran und Makula-Pucker d Enthält wortgetreuen Begriff Makulaverdünnung e Enthält wortgetreuen Begriff foveale Dehiszenz f Enthält wortgetreue Begriffe foveale Verdünnung und Verlust der Foveafunktion g Der Unerwünschten Wirkung Netzhauteinriss wurde gemäss CIOMS III die Häufigkeitskategorie «häufig» zugeordnet, da die ungerundete Häufigkeit ≥1/100 bis <1/10 betrug (9.75%; 4/41). h Diese unerwünschte Wirkung stammt aus Spontanmeldungen nach der Markteinführung von Luxturna.
|
Unerwünschte Arzneimittelwirkungen aus nicht-interventionellen Studien, Spontanmeldungen und Fällen aus der Literatur (Häufigkeit nicht bekannt)
Die folgenden unerwünschten Arzneimittelwirkungen stammen aus nicht-interventionellen Studien, spontanen Fallberichten und Fällen in der Literatur nach der Markteinführung von Luxturna. Da diese Reaktionen freiwillig aus einer Population mit ungewisser Grösse gemeldet werden, ist es nicht möglich, ihre Häufigkeit zuverlässig zu schätzen, weshalb sie als nicht bekannt eingestuft werden. Unerwünschte Arzneimittelwirkungen werden nach den Systemorganklassen (MedDRA) aufgeführt. Innerhalb jeder Systemorganklasse werden die UAW nach abnehmendem Schweregrad angegeben.
Tabelle 2: Unerwünschte Arzneimittelwirkungen aus nicht-interventionellen Studien, Spontanmeldungen und Literatur (Häufigkeit nicht bekannt)
|
Augenerkrankungen Chorioretinale Atrophiea
| |
a
Umfasst die bevorzugten Begriffe Netzhautdegeneration, Netzhautdepigmentierung und Atrophie an der Injektionsstelle
|
Beschreibung ausgewählter Nebenwirkungen
Immunogenität
Bei allen Dosen von Luxturna, die in den Studien 101 und 301 untersucht wurden, waren die Immunreaktionen von geringem Schweregrad und die extraokuläre Exposition war begrenzt. In Studie 101 lag der Abstand zwischen den subretinalen Injektionen in beide Augen zwischen 1.7 und 4.6 Jahren. In Studie 301 lag der Abstand zwischen den subretinalen Injektionen in beide Augen zwischen 7 und 14 Tagen. Kein Patient hatte eine klinisch signifikante zytotoxische T-Zellantwort auf den Adeno-assoziierten viralen Vektor vom Serotyp 2 [AAV2] oder das retinale Pigmentepithel-spezifische 65 kDa-Protein [RPE65].
Die Patienten erhielten vor und nach der subretinalen Injektion von Luxturna in jedes Auge systemische Kortikosteroide. Die Kortikosteroide können die mögliche Immunreaktion gegen das Vektor-Kapsid [AAV2] oder das transgene Produkt [RPE65] verringert haben.
Die Meldung des Verdachts auf Nebenwirkungen nach der Zulassung ist von grosser Wichtigkeit. Sie ermöglicht eine kontinuierliche Überwachung des Nutzen-Risiko-Verhältnisses des Arzneimittels. Angehörige von Gesundheitsberufen sind aufgefordert, jeden Verdacht einer neuen oder schwerwiegenden Nebenwirkung über das Online-Portal ElViS (Electronic Vigilance System) anzuzeigen. Informationen dazu finden Sie unter www.swissmedic.ch.
ÜberdosierungEs liegen keine klinischen Erfahrungen mit einer Überdosierung von Voretigen Neparvovec vor.
Behandlung
Im Falle einer Überdosierung wird eine symptomatische und unterstützende Behandlung empfohlen.
Eigenschaften/WirkungenATC-Code
S01XA27
Wirkungsmechanismus
Luxturna wurde entwickelt, um eine normale Kopie des Gens, das für das menschliche retinale Pigmentepithel-spezifische 65-Kilodalton-Protein (RPE65) kodiert, an Zellen der Netzhaut bei Personen mit reduziertem oder fehlendem Gehalt an biologisch aktivem RPE65 zu liefern. RPE65 wird in den retinalen Pigmentepithelzellen (RPE) produziert und wandelt all-trans-Retinol in 11-cis-Retinol um, das anschliessend während des Sehzyklus (Retinoidzyklus) zum Chromophor 11-cis-Retinal umgewandelt wird. Der Sehzyklus ist entscheidend bei der Phototransduktion, d.h. die biologische Umwandlung eines Lichtphotons in ein elektrisches Signal in der Netzhaut. Mutationen im RPE65-Gen führen zu einer verminderten oder fehlenden Aktivität der RPE65-Isomerohydrolase, was den Sehzyklus blockiert. Im Laufe der Zeit führt die Akkumulation von toxischen Zwischenprodukten zum Absterben der Zellen des retinalen Pigmentepithels und in der Folge zum fortschreitenden Zelltod der Photorezeptoren, und somit zu einer Beeinträchtigung des Sehvermögens und letztlich zu einer vollständigen Erblindung.
Pharmakodynamik
Die Injektion von Luxturna in den Subretinalraum führt zur Transduktion von retinalen Pigmentepithelzellen mit cDNA, die für das normale humane RPE65-Protein kodiert und somit das Potential zur Wiederherstellung des Sehzyklus bietet.
Klinische Wirksamkeit
Klinische Studien: Studie 301
Die Wirksamkeit von Luxturna bei pädiatrischen und erwachsenen Patienten wurde in einer offenen, zweizentrischen, randomisierten Studie untersucht (Studie 301).
Von den 31 in die Studie eingeschlossenen Patienten (13 männlich, 18 weiblich) wurden 21 randomisiert, um eine subretinale Injektion mit Luxturna zu erhalten. DNA-Tests auf das Vorhandensein von biallelischen RPE65-Mutationen und Mutationstypen wurden in einem US-CLIA-zertifizierten Labor unter Verwendung der Sanger-Sequenzierungsmethode durchgeführt. Das Vorhandensein von ausreichend lebensfähigen Retinazellen (ein retinaler Bereich innerhalb des hinteren Pols von > 100 Mikrometer Dicke, bestimmt mittels optischer Kohärenztomographie [OCT]) wurden bei allen Patienten festgestellt. Die Sehschärfe (logMAR) des ersten Auges dieser Patienten betrug zu Studienbeginn im Mittel 1.18 (0.14 Standardfehler). Ein Patient wurde vor der Behandlung aus der Studie ausgeschlossen. 10 Patienten wurden in die Kontrollgruppe (ohne Intervention) randomisiert. Ein Patient der Kontrollgruppe zog seine Einwilligung zur Studienteilnahme zurück und wurde daraufhin aus der Studie ausgeschlossen. Die neun Patienten, die in die Kontrollgruppe randomisiert worden waren, wechselten nach einem Jahr Beobachtung in die Interventionsgruppe, um eine subretinale Injektion mit Luxturna zu erhalten. Das Durchschnittsalter der 31 randomisierten Patienten betrug 15 Jahre (Altersbereich 4 bis 44 Jahre), darunter 64% pädiatrische Patienten (n=20, Alter 4 bis 17 Jahre) und 36% Erwachsene (n=11). Bilaterale subretinale Injektionen mit Luxturna wurden nacheinander in zwei separaten chirurgischen Verfahren durchgeführt, wobei der Zeitintervall zwischen den Injektionen 6 bis 18 Tage betrug.
Der primäre Endpunkt der Phase-3-Studie mass die mittlere Veränderung ab Studienbeginn bis zu einem Jahr mittels Multi-Luminanz-Mobilitätstest (multi-luminance mobility testing, MLMT) an beiden Augen zwischen der Interventions- und der Kontrollgruppe.Der MLMT war dafür ausgelegt, Veränderungen im funktionalen Sehen zu messen, speziell die Fähigkeit eines Patienten, einen Parcours präzise und in akzeptabler Geschwindigkeit bei unterschiedlich heller Umgebungsbeleuchtung zu absolvieren. Diese Fähigkeit ist von der Sehschärfe, dem Gesichtsfeld und dem Grad der Nyktalopie (verminderte Wahrnehmungsfähigkeit und / oder Sehfähigkeit bei schwachem Licht) des Patienten abhängig, wobei jede dieser Funktionen spezifisch durch die RPE65-Mutation-assoziierte Netzhauterkrankung betroffen ist.
Die MLMT wurde mit beiden Augen (binokulares Sehen) und jedem Auge separat bei einer oder mehreren von sieben Helligkeitsstufen bewertet, die von 400 Lux (entsprechend zum Beispiel einem hell beleuchteten Büro) bis 1 Lux (entsprechend zum Beispiel einer mondlosen Sommernacht) reichten. Jeder Helligkeitsstufe wurde ein Score im Bereich von 0 bis 6 zugeordnet. Ein höherer Score gibt dabei an, dass ein Patient in der Lage war, den MLMT bei geringerer Helligkeit zu bestehen. Der MLMT jedes einzelnen Patienten wurde per Video aufgezeichnet und von unabhängigen Prüfern mit einer definierten Kombination aus Geschwindigkeits- und Genauigkeitswerten beurteilt. Der MLMT-Score wurde durch die niedrigste Helligkeitsstufe bestimmt, bei der der Patient den MLMT bestand. Die Veränderung des MLMT-Scores war definiert als die Differenz zwischen dem Score zu Studienbeginn (Baseline) und nach einem Jahr. Eine positive Veränderung im Score von Studienbeginn (Baseline) bis Jahr 1 gibt an, dass der Patient in der Lage war, den MLMT bei geringerer Helligkeit zu bestehen, dabei steht ein Lux-Score von 6 für die maximal mögliche MLMT-Verbesserung.
Zudem wurden drei sekundäre Endpunkte überprüft: ein Vollfeld-Lichtempfindlichkeits-Schwellenwert-Test (full-field light sensitivity threshold, FST) bei Weisslicht, die Änderung des MLMT-Scores für das zuerst behandelte Auge und ein Sehschärfetest (visual acuity, VA).
In Tabelle 2 ist die durchschnittliche Veränderung des MLMT-Scores von Studienbeginn (Baseline) bis Jahr 1 in der Luxturna-Behandlungsgruppe im Vergleich zur Kontrollgruppe zusammengefasst. Zu Studienbeginn bestanden die Patienten den Mobilitätstest bei Beleuchtungsstärken zwischen 4 und 400 Lux.
Tabelle 2: Veränderungen des MLMT-Scores: Jahr 1 im Vergleich zu Studienbeginn (Baseline) (ITT-Population: n=21 Intervention; n=10 Kontrolle)
|
Veränderung des MLMT-Scores
|
Differenz (95%-KI) Intervention/Kontrolle
|
p-Wert
| |
Mit beiden Augen
|
1.6 (0.72; 2.41)
|
0.001
| |
Nur mit dem zuerst behandelten Auge
|
1.7 (0.89; 2.52)
|
0.001
| |
Nur mit dem als zweites behandelten Auge
|
2.0 (1.14; 2.85)
|
< 0.001
|
Die Analyse des bilateralen MLMT-Änderungsscores für die Intention-to-Treat-Population (ITT) ergab einen statistisch signifikanten Behandlungseffekt mit einer mittleren Gruppendifferenz (95% Konfidenzintervall [CI]) von 1,6 (0.72, 2.41; p = 0.001).
Die Veränderung des monokularen MLMT-Scores verbesserte sich in der Behandlungsgruppe signifikant und war ähnlich den binokularen MLMT-Ergebnissen (siehe Tabelle 2).
Tabelle 3 zeigt die Anzahl und den Prozentsatz der Patienten mit unterschiedlichem Ausmass der Veränderungen des MLMT-Scores mit beiden Augen im Jahr 1. Elf der 21 (52%) Patienten in der Luxturna-Behandlungsgruppe wiesen eine Veränderung des MLMT-Scores von zwei oder mehr auf, während einer der zehn (10%) Patienten in der Kontrollgruppe eine Veränderung des MLMT-Scores von zwei aufwies.
Dabei ist zu beachten, dass 8 Patienten (38%) in der Luxturna Gruppe eine Veränderung des MLMT-Scores von eins aufwiesen, während 3 Patienten der Kontrollgruppe (30%) ebenfalls eine Verbesserung des MLMT-Scores von eins aufwiesen. Daher könnte die Verbesserung um 1 MLMT-Score auch als tagesabhängige Schwankung interpretierbar sein.
Tabelle 3: Ausmass der Veränderung des MLMT-Scores mit beiden Augen im Jahr 1
|
Veränderung des Scores
|
Luxturna (n=21)
|
Kontrolle (n=10)
| |
-1
|
0
|
3 (30%)
| |
0
|
2 (10%)
|
3 (30%)
| |
1
|
8 (38%)
|
3 (30%)
| |
2
|
5 (24%)
|
1 (10%)
| |
3
|
5 (24%)
|
0
| |
4
|
1 (4%)
|
0
|
Abbildung 1 zeigt die MLMT-Ergebnisse einzelner Patienten mit beiden Augen zu Studienbeginn (Baseline) und im Jahr 1.
Abbildung: 1 Binokularer MLMT-Score zu Studienbeginn und nach einem Jahr für einzelne Patienten

Hinweis zur Abbildung 1: *Patienten, die aus der Studie ausgeschlossen wurden oder diese abbrachen. Die nicht ausgefüllten Kreise sind die Scores bei Studienbeginn (Baseline). Die ausgefüllten Kreise sind die Scores nach 1 Jahr. Die Zahlen neben dem ausgefüllten Kreis entsprechen den Veränderungen des Scores im Jahr 1 dar. Die horizontalen Linien mit Pfeilen stellen das Ausmass der Veränderung und die Richtung dar. Pfeile, die nach rechts zeigen, stellen eine Verbesserung dar. Der obere Abschnitt zeigt die Ergebnisse der 21 Patienten in der Behandlungsgruppe. Der untere Abschnitt zeigt die Ergebnisse der 10 Patienten in der Kontrollgruppe. Die Patienten in jeder Gruppe sind chronologisch nach Alter geordnet, wobei der jüngste Patient oben und der älteste unten aufgeführt ist.
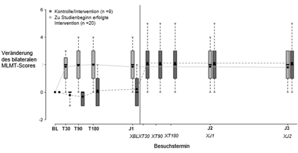
Abbildung 2 zeigt die Wirkung des Arzneimittels über den 3-Jahres-Zeitraum in der Voretigen Neparvovec-Behandlungsgruppe sowie die Wirkung in der Kontrollgruppe nach dem Wechsel in die Interventionsgruppe und dem Erhalt subretinaler Injektionen mit Voretigen Neparvovec. An Tag 30 wurden für die Voretigen Neparvovec-Behandlungsgruppe signifikante Unterschiede in den binokularen MLMT-Ergebnissen festgestellt, die über die verbleibenden Nachbeobachtungstermine im gesamten Dreijahreszeitraum aufrechterhalten werden konnten, im Vergleich zur Kontrollgruppe, in der es zu keiner Veränderung kam. Nach dem Wechsel in die Interventionsgruppe und dem Erhalt subretinaler Injektionen mit Voretigen Neparvovec zeigten die Patienten der Kontrollgruppe jedoch ein ähnliches Ansprechen auf Voretigen Neparvovec wie die Patienten der Voretigen Neparvovec-Behandlungsgruppe.
Abbildung 2: Veränderung des MLMT-Scores mit beiden Augen vs. der Zeit vor/nach Exposition mit Voretigen Neparvovec

Hinweis zu Abbildung 2: Jede Box stellt die mittleren 50% der Verteilung der MLMT-Score-Veränderungen dar. Die vertikal gestrichelten Linien stellen die weiteren 25% oberhalb und unterhalb der Box dar. Der horizontale Balken innerhalb jeder Box stellt den Median dar. Der Punkt innerhalb jeder Box stellt den Mittelwert dar. Die durchgezogene Linie verbindet die mittleren MLMT-Score-Veränderungen über die Besuchstermine der Behandlungsgruppe hinweg. Die gestrichelte Linie verbindet die mittleren MLMT-Score-Veränderungen über die Besuchstermine der Kontrollgruppe hinweg, einschliesslich der fünf Besuchstermine im ersten Jahr ohne Voretigen Neparvovec-Behandlung. Der Kontrollgruppe wurde nach einem Jahr Beobachtung Voretigen Neparvovec verabreicht.
BL: Baseline;
T30, T90, T180: 30, 90 und 180 Tage nach Studienbeginn;
J1, J2, J3: ein, zwei und drei Jahre nach Studienbeginn;
XBL; XT30; XT90; XT180: Baseline, 30, 90 und 180 Tage nach Studienbeginn für die Kontrollgruppe nach dem Wechsel in die Interventionsgruppe;
XJ1; XJ2: ein und zwei Jahre nach Studienbeginn für die Kontrollgruppe nach dem Wechsel in die Interventionsgruppe.
Der Vollfeld-Lichtempfindlichkeits-Schwellenwert-Test (FST-Test) ist ein globales Mass für die retinale Lichtempfindlichkeit, wobei die Log10(cd.s/m2)-Werte eine bessere Empfindlichkeit anzeigen, je negativer sie sind. Die Ergebnisse des Vollfeld-Lichtempfindlichkeits-Schwellenwert-Tests (FST) bei Weisslicht im ersten Studienjahr [Log10(cd.s/m2)] sind nachstehend in Tabelle 4 aufgeführt.
Tabelle 4: Vollfeld-Lichtempfindlichkeits-Schwellenwert-Test
|
Vollfeld-Lichtempfindlichkeits-Schwellenwert-Test – mit dem zuerst behandelten Auge (ITT)
| |
|
Intervention, N = 21
| |
Studienbeginn (Baseline)
|
Jahr 1
|
Veränderung
| |
N
|
20
|
20
|
19
| |
Mittelwert (Standardfehler)
|
-1.23 (0.10)
|
-3.44 (0.30)
|
-2.21 (0.30)
| |
|
Kontrolle, N = 10
| |
N
|
9
|
9
|
9
| |
Mittelwert (Standardfehler)
|
-1.65 (0.14)
|
-1.54 (0.44)
|
0.12 (0.45)
| |
|
Differenz (95%-KI) (Intervention-Kontrolle) -2.33 (-3.44; -1.22), p < 0.001
| |
Vollfeld-Lichtempfindlichkeits-Schwellenwert-Test – mit dem als zweites behandelten Auge (ITT)
| |
|
Intervention, N = 21
| |
Studienbeginn (Baseline)
|
Jahr 1
|
Veränderung
| |
N
|
20
|
20
|
19
| |
Mittelwert (Standardfehler)
|
-1.35 (0.09)
|
-3.28 (0.29)
|
-1.93 (0.31)
| |
|
Kontrolle, N = 10
| |
N
|
9
|
9
|
9
| |
Mittelwert (Standardfehler)
|
-1.64 (0.14)
|
-1.69 (0.44)
|
0.04 (0.46)
| |
|
Differenz (95%-KI) (Intervention-Kontrolle) -1.89 (-3.03; -0.75), p=0.002
| |
Durchschnittswert des Vollfeld-Lichtempfindlichkeits-Schwellenwert-Tests für beide Augen (ITT) Differenz (95 %-KI) (Intervention-Kontrolle): -2.11 (-3.19; -1.04), p < 0.001
|
Patienten in der Kontrollgruppe zeigten nach dem Wechsel in die Interventionsgruppe in Jahr 1 und dem Erhalt von Voretigen Neparvovec ein ähnliches Ansprechen auf Voretigen Neparvovec wie Patienten in der ursprünglichen Interventionsgruppe. In beiden Behandlungsgruppen betrug die Verbesserung der FST-Ergebnisse nach der Vektorverabreichung mehr als 2 Log-Einheiten, was mehr als einer 100-fachen Verbesserung der Lichtempfindlichkeit entspricht. Die Verbesserung in der Vollfeld-Lichtempfindlichkeit wurde für bis zu 3 Jahre nach Verabreichung von Voretigen Neparvovec aufrechterhalten.
Eine unterstützende Analyse zeigte, dass die linearen Beziehungen zwischen den experimentellen MLMT-Scores und den klinisch gebräulichen FST in dieser Studie im Allgemeinen gut bis stark waren, was darauf hindeutet, dass Patienten mit einer Verbesserung der Mobilitätstests im Jahr 1 tendenziell niedrigere (d.h. bessere) FST-Ergebnisse im Jahr 1 hatten.
Ein Jahr nach der Exposition gegenüber Voretigen Neparvovec betrug die mittlere Veränderung der Sehschärfe gegenüber Baseline für beide Augen unter Verwendung der Holladay-Skala -0.16 LogMAR für die Interventionsgruppe und 0.01 LogMAR für die unbehandelte Kontrollgruppe. Dies spiegelte eine durchschnittliche Verbesserung um 8 Buchstaben auf der ETDRS-Tafel für Patienten der Interventionsgruppe wider, verglichen mit einem durchschnittlichen Verlust von 0.5 Buchstaben bei Patienten der Kontrollgruppe, wobei dieser Unterschied zwischen den Gruppen nicht statistisch signifikant war.
PharmakokinetikEs wird angenommen, dass Voretigen Neparvovec von den Zellen über Heparansulfat-Proteoglykan-Rezeptoren aufgenommen wird und die Degradation durch körpereigene Proteine und über Abbauwege für DNA erfolgt.
Absorption
Nicht zutreffend.
Distribution
Bioverteilung (im Körper) und Freisetzung des Vektors (Vektor-Shedding)(Exkretion/Sekretion)
Luxturna-Vektor-DNA-Spiegel in verschiedenen Geweben und Sekreten wurden mit einem quantitativen Polymerase-Kettenreaktions-Assay (qPCR) bestimmt.
Präklinische DatenDie Bioverteilung von Voretigen Neparvovec wurde drei Monate nach der subretinalen Verabreichung bei nicht-humanen Primaten ermittelt. Die höchsten Konzentrationen an Vektor-DNA-Sequenzen wurden in intraokulären Flüssigkeiten (Vorderkammerflüssigkeit und Glaskörperflüssigkeit) der mit dem Vektor injizierten Augen festgestellt. Geringe Konzentrationen an Vektor-DNA-Sequenzen wurden im Nervus opticus des mit dem Vektor injizierten Auges, im Chiasma opticum, in Milz und Leber und vereinzelt in den Lymphknoten nachgewiesen. Bei einem Tier, dem 7,5 x 1011 Vg (das 5-fache der pro Auge empfohlenen Dosis) Luxturna verabreicht wurden, wurden Vektor-DNA-Sequenzen im Dickdarm, Zwölffingerdarm und in der Luftröhre nachgewiesen. In den Gonaden wurden keine Vektor-DNA-Sequenzen vorgefunden.
Klinische Daten
Die Freisetzung des Vektors (Vektor-Shedding) und die Bioverteilung von Luxturna wurden in einer Studie, in der die Luxturna-DNA in Tränenflüssigkeit aus beiden Augen, Serum und Vollblut von Patienten der Studie 301 gemessen wurde, untersucht. Zusammenfassend lässt sich sagen, dass der Luxturna-Vektor bei 45 % der Patienten in der Studie 301 vorübergehend und in geringen Mengen in der Tränenflüssigkeit aus dem injizierten Auge und gelegentlich (7%) aus dem nicht injizierten Auge bis Tag 3 nach der Injektion nachgewiesen wurde.
Bei 13/29 (45 %) Patienten mit Verabreichung in beide Augen wurden in Proben der Tränenflüssigkeit Luxturna-Vektor-DNA-Sequenzen nachgewiesen. Spitzenwerte der Vektor-DNA wurden in den Tränenproben an Tag 1 nach der Injektion nachgewiesen, danach wurde bei der Mehrheit der Patienten (8 von 13) keine Vektor-DNA mehr nachgewiesen. Bei drei Patienten (10%) wurde Vektor-DNA bis Tag 3 nach der Injektion in Tränenproben nachgewiesen, und bei zwei Patienten (7%) wurde Vektor-DNA in Tränenproben während etwa zwei Wochen nach der Injektion nachgewiesen. Bei zwei weiteren Patienten (7%) wurde Vektor-DNA in Tränenproben des nicht injizierten (oder zuvor injizierten) Auges bis Tag 3 nach der Injektion nachgewiesen. Bei 3/29 (10%) Patienten wurde bis Tag 3 nach jeder Injektion Vektor-DNA im Serum nachgewiesen, wobei zwei der Patienten auch positive Ergebnisse in Proben der Tränenflüssigkeit aufwiesen.
Insgesamt wurden in der Phase-3-Studie bei 14/29 (48%) Patienten vorübergehende, geringe Konzentrationen von Vektor-DNA in der Tränenflüssigkeit und vereinzelt in Serumproben gefunden.
Pharmakokinetik bei besonderen Patientengruppen
Es wurden keine pharmakokinetischen Studien mit Voretigen Neparvovec bei besonderen Patientengruppen durchgeführt.
Leber- und Nierenfunktionsstörung
Luxturna wird direkt in das Auge injiziert. Ein Einfluss der Leber- und Nierenfunktion, der Cytochrom P450-Polymorphismen und der Alterungsprozesse auf die klinische Wirksamkeit oder Sicherheit des Arzneimittels ist nicht zu erwarten. Daher ist bei Patienten mit Leber- oder Nierenfunktionsstörung keine Dosisanpassung erforderlich.
Präklinische Daten
Die bilaterale, gleichzeitige subretinale Verabreichung von Voretigen Neparvovec an Hunde mit einer natürlich vorkommenden RPE-65-Mutation in Dosen von bis zu 8.25 x 1010 Vg pro Auge bzw. an nicht-humane Primaten (NHPs) mit normalsichtigen Augen in einer Dosierung von 7.5 x 1011 Vg (5-mal höher als die empfohlene Humandosis) wurde gut vertragen. In beiden Tiermodellen wurden bilaterale, sequentielle subretinale Verabreichungen, bei denen das kontralaterale Auge nach dem ersten Auge injiziert wurde, bei der empfohlenen Humandosis von 1.5 x 1011 Vg pro Auge gut vertragen. Darüber hinaus zeigten Hunde mit der RPE-65-Mutation ein verbessertes Sehverhalten und verbesserte Pupillenreaktionen.
In der okulären Histopathologie an Hunden und nicht-humanen Primaten, deren Augen Voretigen Neparvovec ausgesetzt waren, zeigten sich nur geringfügige Veränderungen, die hauptsächlich durch den Heilungsprozess des chirurgischen Eingriffs bedingt waren. In einer früheren toxikologischen Studie führte ein ähnlicher AAV2-Vektor, der Hunden in einer 10-fach höheren Dosis als der empfohlenen Dosis subretinal verabreicht wurde, histologisch zu fokaler Netzhauttoxizität und zur Infiltration mit Entzündungszellen in Regionen, die dem Vektor ausgesetzt gewesen waren. Zu den weiteren Befunden aus präklinischen Studien mit Voretigen Neparvovec gehörten vereinzelte und isolierte Entzündungszellen in der Netzhaut ohne feststellbare Netzhautdegeneration. Nach einer einmaligen Gabe des Vektors entwickelten Hunde Antikörper gegen das AAV2-Vektor-Kapsid, die bei behandlungsnaiven nicht-humanen Primaten nicht auftraten.
Es wurden keine tierexperimentellen Studien durchgeführt, um die Auswirkungen von Voretigen Neparvovec auf die Karzinogenität oder Mutagenität zu untersuchen.
Sonstige HinweiseInkompatibilitäten
Da keine Verträglichkeitsstudien durchgeführt wurden, darf das Arzneimittel nicht mit anderen Arzneimitteln gemischt werden.
Haltbarkeit
Das Arzneimittel darf nur bis zu dem auf der Packung mit «EXP» bezeichneten Datum verwendet werden.
Ungeöffnete tiefgefrorene Durchstechflaschen 36 Monate.
Haltbarkeit nach Anbruch
Luxturna enthält keine Konservierungsmittel.
Luxturna sollte sofort nach dem Auftauen der Durchstechflaschen verwendet werden.
Bei Bedarf kann es vor der Verabreichung bis zu 4 Stunden bei Raumtemperatur (15 bis 25°C) gelagert werden.
Die Durchstechflaschen dürfen nicht wieder eingefroren werden.
Besondere Lagerungshinweise
Das Konzentrat und das Lösungsmittel müssen tiefgekühlt bei ≤ -65°C gelagert und transportiert werden.
Ausser Reichweite von Kindern aufbewahren.
Hinweise für die Handhabung
Nur für die subretinale Anwendung.
Weitere Informationen finden Sie in den Schulungsunterlagen für die Zubereitung und chirurgischen Anwendung von Luxturna.
Die Vorbereitung von Luxturna muss innerhalb von 4 Stunden vor der Verabreichung unter Verwendung steriler Techniken und unter aseptischen Bedingungen in einer biologischen Sicherheitswerkbank (biological safety cabinet, BSC) der Klasse II mit vertikalem Laminar-Flow-System erfolgen. Nachfolgend finden Sie die Liste der Gegenstände, die für die Verdünnung des Konzentrats und die Vorbereitung der Injektionsspritze erforderlich sind:
·Eine Einzeldosis-Durchstechflasche mit Luxturna
·Zwei Durchstechflaschen mit Lösungsmittel
·Eine sterile 3-ml-Spritze
·Eine sterile Kanüle (20G x 25 mm)
·Drei sterile, biokompatible 1-ml-Spritzen
·Drei sterile Kanülen (27G x13 mm)
·Zwei sterile Spritzenkappen
·Eine sterile leere 10-ml-Durchstechflasche aus Glas
·Ein steriles Abdecktuch
·Einen sterilen Plastikbeutel
·Zwei sterile Etiketten für die Injektionsspritzen
·Ein steriles unbeschriftetes Etikett
·Ein steriler Hautmarkierungsstift
Verdünnung von Luxturna
1.Eine Einzeldosis-Durchstechflasche Luxturna und zwei Durchstechflaschen Lösungsmittel bei Raumtemperatur auftauen lassen.
2.Die aufgetauten Durchstechflaschen mit dem Lösungsmittel 5-mal vorsichtig über Kopf drehen, um den Inhalt zu mischen.
3.Die Durchstechflaschen visuell überprüfen. Wenn Partikel, Trübung oder Verfärbung sichtbar sind, verwenden Sie die Durchstechflasche(n) nicht; in diesem Fall muss/müssen (eine) neue Durchstechflasche(n) mit Lösungsmittel verwendet werden.
4.Eine sterile 3-ml-Spritze, eine sterile Kanüle der Grösse 20G x 25 mm und eine sterile leere 10-ml-Durchstechflasche aus Glas bereitlegen.
5.Mithilfe der 3-ml-Spritze und der Kanüle der Grösse 20G x 25 mm 2.7 ml Lösungsmittel in die 10-ml-Durchstechflasche aus Glas überführen. Die Kanüle und die Spritze in einem geeigneten Behälter entsorgen.
6.Die aufgetaute Einzeldosis-Durchstechflasche mit Luxturna 5-mal vorsichtig über Kopf drehen, um den Inhalt zu mischen.
7.Die Einzeldosis-Durchstechflasche Luxturna visuell überprüfen. Wenn Partikel, Trübung oder Verfärbungen sichtbar sind, verwenden Sie die Durchstechflasche nicht, in diesem Fall muss eine neue Einzeldosis-Durchstechflasche Luxturna verwendet werden.
8.Eine sterile 1-ml-Spritze und eine sterile Kanüle der Grösse 27G x 13 mm bereitlegen. Mithilfe einer sterilen Kanüle der Grösse 27G x 13 mm 0.3 ml Luxturna in eine sterile 1-ml-Spritze aufziehen (Abbildung 5).
Abbildung 5: Spritze mit 0.3 ml Luxturna

9.Zur Verdünnung 0.3 ml Luxturna in die 10-ml-Durchstechflasche aus Glas mit 2.7 ml Lösungsmittel aus Schritt 5 überführen. Die Durchstechflasche aus Glas ca. 5-mal vorsichtig über Kopf drehen, um den Inhalt zu mischen.
10.Die 10-ml-Durchstechflasche aus Glas mit dem verdünnten Luxturna unter Verwendung des sterilen leeren Etiketts und des sterilen Hautmarkierungsstifts wie folgt beschriften: «Luxturna verdünnt»
11.Alle Gegenstände aus der biologischen Sicherheitswerkbank entfernen, ausser der Durchstechflasche aus Glas mit der Aufschrift «Luxturna verdünnt» und dem sterilen Hautmarkierungsstift.
12.Die Sicherheitswerkbank vor den nächsten Schritten erneut reinigen, die Durchstechflasche aus Glas und den sterilen Hautmarkierungsstift auf der linken Seite der Sicherheitswerkbank ablegen.
Vorbereitung von Luxturna zur Injektion
Um die Spritzen steril zu halten, sind zwei Personen erforderlich, um den Inhalt der 10-ml-Durchstechflasche aus Glas mit der Beschriftung «Luxturna verdünnt» in jede der beiden sterilen 1-ml-Spritzen zu übertragen.
13.Ein steriles Abdecktuch, einen sterilen Plastikbeutel und zwei sterile Etiketten in der Sicherheitswerkbank bereitlegen.
14.Das sterile Abdecktuch in die Nähe der ersten Person auf der rechten Seite der desinfizierten Oberfläche der Sicherheitswerkbank legen, weg von dem verdünnten Luxturna.
15.Die zweite Person packt zwei 1-ml-Spritzen, zwei Kanülen der Grösse G27 x 13 mm sowie zwei Spritzenkappen in der Sicherheitswerkbank aus und stellt sicher, dass die erste Person nur sterile Oberflächen berührt, während sie die Gegenstände auf das sterile Abdecktuch legt.
16.Die zweite Person zieht ein neues Paar steriler Handschuhe an und steht oder sitzt links neben der ersten Person. Die zweite Person hält die 10-ml-Durchstechflasche aus Glas mit dem verdünnten Luxturna (Abbildung 6).
Abbildung 6: Erste Position der Personen bei der Vorbereitung von Luxturna-Spritzen

17.Die erste Person zieht 0.8 ml verdünntes Luxturna mit einer sterilen Kanüle der Grösse G27 x 13 mm in eine sterile 1-ml-Spritze auf, während die zweite Person die 10-ml-Durchstechflasche aus Glas hält. Nach dem Einsetzen der Kanüle dreht die zweite Person die 10-ml-Durchstechflasche um, sodass die erste Person 0.8 ml entnehmen kann, ohne die 10-ml-Durchstechflasche zu berühren (Abbildung 7).
Abbildung 7: Zweite Position der Personen bei der Vorbereitung von Luxturna-Spritzen

18.Die erste Person entfernt die Kanüle und befestigt eine sterile Kappe auf der sterilen Spritze, entsorgt die Kanüle in einen geeigneten Behälter und bringt ein steriles Etikett an der Injektionsspritze an.
19.Die erste Person wiederholt die Schritte 17 und 18, um insgesamt zwei Injektionsspritzen vorzubereiten. Die erste Spritze wird mithilfe des sterilen Hautmarkierungsstifts mit «Luxturna verdünnt» und die zweite Spritze mit «Luxturna verdünnt, Ersatz» beschriftet. Die zweite Spritze dient als Ersatz für den Chirurgen, der die subretinale Injektion durchführt. Die Ersatzspritze muss, wenn sie nicht verwendet wird, nach dem Eingriff entsorgt werden.
20.Prüfen Sie beide Spritzen visuell. Wenn Partikel, Trübung oder Verfärbungen sichtbar sind, dürfen Sie die Spritze nicht verwenden.
21.Legen Sie die Spritzen nach der Sichtprüfung in den sterilen Plastikbeutel und verschliessen Sie den Beutel.
22.Legen Sie den sterilen Plastikbeutel mit den Spritzen, die verdünntes Luxturna enthalten, in einen geeigneten Sekundärbehälter (z.B. Hartkunststoffkühler) und transportieren Sie ihn bei Raumtemperatur zum Operationssaal.
Art der Anwendung
Luxturna sollte im Operationssaal unter kontrollierten aseptischen Bedingungen von einem Chirurgen mit Erfahrung in der Durchführung von intraokulären chirurgischen Eingriffen verabreicht werden. Zusätzlich zu der Spritze, die das verdünnte Luxturna enthält, werden folgende Hilfsmittel für die Verabreichung benötigt (Abbildung 8):
·Biokompatible subretinale Injektionskanüle mit einer Polyamid-Mikrospitze mit einem Innendurchmesser von 41 Gauge.
·Biokompatibler Verlängerungsschlauch aus Polyvinylchlorid von nicht mehr als 15.2 cm Länge und mit einem Innendurchmesser von nicht mehr als 1.4 mm.
Abbildung 8: Anordnung der Injektionsvorrichtung

Gehen Sie für die subretinale Injektion wie folgt vor:
1.Nachdem Sie die Verfügbarkeit von Luxturna bestätigt haben, erweitern Sie das Auge und verabreichen Sie dem Patienten eine angemessene Anästhesie.
2.Verabreichen Sie vor der Operation ein topisches Breitband-Mikrobizid an Bindehaut, Hornhaut und Augenlider.
3.Vor der Verabreichung ist Luxturna visuell zu überprüfen. Sind Partikel, Trübungen oder Verfärbungen sichtbar, darf das Arzneimittel nicht verwendet werden.
4.Die Spritze mit dem verdünnten Luxturna an den Verlängerungsschlauch und die subretinale Injektionskanüle anschliessen. Um ein übermässiges Ansaugvolumen zu vermeiden, sollte der Verlängerungsschlauch 15.2 cm Länge und 1.4 mm Innendurchmesser nicht überschreiten. Das Arzneimittel langsam durch den Verlängerungsschlauch und die subretinale Injektionskanüle injizieren, um Luftblasen zu entfernen.
5.Das injizierbare Volumen des Arzneimittels in der Spritze überprüfen, indem die Kolbenspitze an der 0.3-ml-Marke ausgerichtet wird (Abbildung 9).
Abbildung 9: Volumen von Luxturna zur Injektion

6.Nach erfolgter Vitrektomie wird der vorgesehene Verabreichungsort bestimmt. Die subretinale Injektionskanüle kann durch die Pars Plana eingeführt werden(Abbildung 10).
7.Unter direkter Sichtkontrolle wird die Spitze der subretinalen Injektionskanüle auf die Oberfläche der Retina aufgesetzt. Die empfohlene Injektionsstelle liegt entlang des oberen Gefässbogens, mindestens 2 mm distal des Zentrums der Fovea centralis (Abbildung 11). Dabei muss der direkte Kontakt mit dem retinalen Gefässsystem oder mit Bereichen pathologischer Merkmale, wie z.B. dichte Atrophie oder intraretinale Pigmentmigration vermieden werden. Eine geringe Menge des Arzneimittels wird langsam injiziert, bis ein beginnendes subretinales Bläschen sichtbar ist. Anschliessend wird das verbleibende Volumen langsam injiziert, bis die 0.3 ml vollständig verabreicht sind.
|
Abbildung 10: Die Injektionskanüle wurde durch die Pars Plana eingeführt
|
Abbildung 11: Die Spitze der subretinalen Injektionskanüle liegt innerhalb des empfohlenen Injektionsbereichs (aus Sicht des Chirurgen)
| |
|

|
|

|
8.Nach erfolgter Injektion wird die subretinale Injektionskanüle aus dem Auge entfernt.
9.Nicht verwendetes Arzneimittel muss nach der Injektion verworfen werden. Die Ersatzspritze muss gemäss den örtlichen Biosicherheitsrichtlinien, die für die Handhabung und Entsorgung des Arzneimittels gelten, entsorgt werden.
10.Führen Sie einen Flüssigkeits-Gas-Austausch durch, wobei ein Abfliessen von Flüssigkeit nahe der für die subretinale Injektion geschaffenen Retinotomie-Stelle sorgfältig zu vermeiden ist.
11.Direkt nach dem Eingriff sollte der Patient eine Rückenlage einnehmen.
12.Er sollte diese liegende Position auch nach Entlassung so weit wie möglich und nach Ermessen des Arztes bis zu 24 Stunden beibehalten.
Versehentliche Exposition
Eine versehentliche Exposition ist zu vermeiden. Bei der Vorbereitung, Verabreichung und Handhabung von Voretigen Neparvovec sind die lokal geltenden Bestimmungen zur biologischen Sicherheit zu befolgen.
·Während der Vorbereitung oder Verabreichung von Voretigen Neparvovec sollte eine persönliche Schutzausrüstung (einschliesslich Laborkittel, Schutzbrille und Handschuhe) getragen werden.
·Eine versehentliche Exposition mit Voretigen Neparvovec, einschliesslich des Kontakts mit Haut, Augen und Schleimhäuten, ist zu vermeiden. Alle freiliegenden Wunden müssen vor der Handhabung abgedeckt werden.
·Jegliche verschüttete Flüssigkeit, die Voretigen Neparvovec enthält, muss mit einem Viruzid, wie z.B. 1%igem Natriumhypochlorit, behandelt und mit saugfähigen Materialien trockengetupft werden.
·Alle Materialien, die mit Voretigen Neparvovec in Kontakt gekommen sein könnten (z.B. Durchstechflasche, Spritze, Kanüle, Baumwollgaze, Handschuhe, Masken oder Verbände), müssen gemäss den lokal geltenden Bestimmungen zur biologischen Sicherheit entsorgt werden.
Massnahmen bei versehentlicher Exposition:
·Im Fall einer versehentlichen Exposition beim Arbeiten mit dem Arzneimittel (z.B. durch einen Spritzer in die Augen oder auf Schleimhäute), mindestens 5 Minuten mit sauberem Wasser spülen.
·Im Fall einer Exposition von verletzter Haut oder bei einer Verletzung durch die Spritze, den betroffenen Bereich gründlich mit Wasser und Seife und / oder einem Desinfektionsmittel reinigen.
Besondere Vorsichtsmassnahmen bei der Entsorgung
Dieses Medikament enthält gentechnisch veränderte Organismen. Nicht verwendetes Arzneimittel muss unter Beachtung der institutionellen Richtlinien für gentechnisch veränderte Organismen oder biogefährliche Abfälle entsorgt werden.
Zulassungsnummer67371 (Swissmedic)
Packungen0,5 ml extrahierbares Volumen des Konzentrats in einer 2-ml-Durchstechflasche aus Cycloolefin- Polymer mit einem Chlorbutyl-Gummistopfen, versiegelt mit einem Flip-off-Verschluss aus Aluminium.
1,7 ml extrahierbares Volumen des Lösungsmittels in einer 2-ml-Durchstechflasche aus Cycloolefin-Polymer mit einem Chlorbutyl-Gummistopfen, versiegelt mit einem Flip-off-Verschluss aus Aluminium.
Jeder Folienbeutel enthält eine Faltschachtel mit einer Durchstechflasche Konzentrat und zwei Durchstechflaschen Lösungsmittel (ist nur für den einmaligen Gebrauch bestimmt). [A]
ZulassungsinhaberinNovartis Pharma Schweiz AG, Risch; Domizil: 6343 Rotkreuz
Stand der InformationFebruar 2022
|