Propriétés/EffetsCode ATC
M09AX07
Mécanisme d'action
Spinraza est un oligonucléotide antisens (AON) spécialement conçu pour traiter la SMA, une maladie neuromusculaire progressive à transmission autosomique récessive, attribuable à des mutations du gène SMN1 (Survival Motor Neuron 1) sur le chromosome 5q. Ces mutations conduisent à une perte de la fonction du gène SMN1 et, par conséquent, à un déficit en protéine SMN. La protéine SMN est également synthétisée par le gène SMN2, mais en quantité beaucoup plus faible. SMA est un terme générique utilisé pour des maladies à l'expression clinique diverse.
L'âge de la primo-apparition de la maladie ainsi que sa sévérité dépendent du nombre de copies disponibles du gène SMN2; un faible nombre de copies du gène SMN2 est associé à une apparition de la maladie à un âge plus précoce et à des symptômes plus prononcés.
Spinraza augmente le pourcentage d'inclusion de l'exon 7 dans les transcrits d'acide ribonucléique messager (ARNm) du gène codant pour la protéine SMN2 en se liant à un site d'inactivation de l'épissage intronique (ISS-N1) présent dans l'intron 7 de l'ARN pré-messager (pré-ARNm) de SMN2. Par l'hybridation, l'oligonucléotide antisens déplace les facteurs d'épissage, qui inhibent normalement l'épissage. Le déplacement de ces facteurs entraîne la rétention de l'exon 7 dans l'ARNm de SMN2 et, lorsque l'ARNm de SMN2 est synthétisé, il peut être traduit en protéine SMN fonctionnelle de pleine longueur.
Pharmacodynamique
Les effets pharmacodynamiques sont en corrélation avec les effets biologiques du nusinersen.
Les échantillons d'autopsie réalisés chez des enfants en bas âge traités ont révélé de plus grandes quantités d'ARNm de SMN2 contenant l'exon 7 dans la moelle épinière thoracique que dans les échantillons prélevés chez des enfants en bas âge atteints de SMA non traités.
Efficacité clinique
Résultats en lien avec l'efficacité
L'efficacité de Spinraza a été démontrée dans le cadre de 7 études cliniques menées chez des patients symptomatiques (études CS3B, CS3A, CS4, CS2, CS12, CS7 et CS11) âgés de 30 jours à 15 ans au moment de la première dose, ainsi que dans une étude clinique réalisée chez des patients présymptomatiques (étude CS5) âgés de 3 à 42 jours au moment de la première dose. Les résultats de ces études concernant l'efficacité corroborent une instauration du traitement aussi rapide que possible après la pose du diagnostic.
Patients symptomatiques
Forme infantile
Étude CS3B (ENDEAR)
L'étude CS3B était une étude de phase III randomisée en double aveugle, contrôlée contre traitement simulé et menée chez 121 enfants en bas âge symptomatiques âgés de ≤7 mois, ayant un diagnostic de SMA (apparition des symptômes avant l'âge de 6 mois). Les patients ont été randomisés selon un rapport 2:1 pour recevoir soit Spinraza (selon le schéma posologique autorisé), soit des injections simulées, avec une durée de traitement allant de 6 à 442 jours (médiane: 258 jours).
L'âge médian à l'apparition des signes et symptômes cliniques de SMA était respectivement de 6,5 semaines (intervalle 2 - 18) et de 8 semaines (intervalle 1 - 20) chez les patients traités par Spinraza et chez les patients du groupe de traitement simulé. Dans cette étude, 99 % des patients étaient porteurs de deux copies du gène SMN2 et donc considérés comme très susceptibles de développer une SMA de type I.
À l'inclusion, la valeur totale moyenne des étapes du développement moteur était de 1,37 (intervalle 0 - 6), le résultat médian du score CHOP INTEND de 28 (intervalle 8 - 50,5) et l'amplitude médiane du PAMC de 0,20 (intervalle 0,00 - 0,87) pour le nervus ulnaris et de 0,30 (intervalle 0,00 - 1,50) pour le nervus peroneus. L'âge médian lors de l'administration de la première dose était de 164,5 jours (intervalle 52 - 242) chez les patients traités par Spinraza et de 205 jours (intervalle 30 - 262) chez les patients du groupe de traitement simulé.
Les caractéristiques cliniques initiales étaient très similaires chez les patients traités par Spinraza et les patients du groupe de traitement simulé, à l'exception des événements suivants, observés plus fréquemment chez les patients traités par Spinraza que chez ceux du groupe de traitement simulé: respiration paradoxale (89 % contre 66 %), pneumonie ou symptômes respiratoires (35 % contre 22 %), difficultés de déglutition ou d'alimentation (51 % contre 29 %) et nécessité d'une assistance respiratoire (26 % contre 15 %).
Une analyse intermédiaire planifiée a été réalisée sur la base des résultats de patients soit décédés, soit ayant interrompu l'étude, soit ayant suivi le traitement pendant au moins 183 jours. Au moment de l'analyse intermédiaire, 121 patients suivaient le traitement (Spinraza n = 80, traitement simulé n = 41). Au moment de l'analyse intermédiaire, 78 patients au total avaient suivi le traitement durant au moins 183 jours, étaient décédés ou avaient interrompu l'étude et ont été inclus dans l'ensemble de données provisoires sur l'efficacité pour l'analyse du critère d'évaluation principal (Spinraza n = 51, traitement simulé n = 27). Le critère d'évaluation principal au moment de l'analyse intermédiaire était le pourcentage de répondeurs, c'est-à-dire les patients ayant atteint un degré prédéfini d'amélioration des étapes de développement moteur selon l'échelle du Hammersmith Infant Neurologic Examination (HINE) section 2. Selon cette définition, un patient répondeur était un patient présentant une augmentation d'au moins 2 points [ou un score maximal de 4] de la capacité de gigoter ou une augmentation d'au moins 1 point pour les étapes du développement moteur contrôle de la tête, se retourner, s'asseoir, marcher à quatre pattes, se tenir debout ou marcher. Pour être considérés comme répondeurs, les patients devaient s'améliorer et non pas décliner dans plusieurs catégories des étapes du développement moteur. Les patients décédés ou ayant interrompu l'étude ont été inclus dans l'ensemble de données provisoires sur l'efficacité et considérés comme non répondeurs. Parmi les 78 patients considérés dans l'analyse intermédiaire, le pourcentage de patients correspondant à la définition de répondeur en termes d'étapes du développement moteur était significativement plus élevé sur le plan statistique dans le groupe sous Spinraza (41 %) que dans le groupe de traitement simulé (0 %), avec une différence (IC à 95 %) dans les pourcentages de 41,18 % (18,1 – 61,20) (nusinersen –traitement simulé), p < 0,0001.
Suite aux résultats positifs de l'analyse intermédiaire, l'étude CS3B a été interrompue et les patients ont été inclus dans une étude de prolongation en ouvert (CS11).
Au moment de l'analyse finale, le critère d'évaluation principal était le délai jusqu'au décès ou jusqu'à la mise sous ventilation permanente (ventilation durant ≥16 heures par jour en continu pendant > 21 jours en l'absence d'événement aigu réversible ou de trachéotomie). Des effets statistiquement significatifs ont été observés chez les patients du groupe sous Spinraza, par rapport aux patients du groupe de traitement simulé, s'agissant de la survie sans événement, de la survie globale, du pourcentage de patients correspondant à la définition de répondeur pour les étapes du développement moteur et s'agissant du pourcentage de patients ayant obtenu une amélioration d'au moins 4 points au score CHOP INTEND par rapport à la valeur initiale (Tableau 4).
Une réduction statistiquement significative de 47 % du risque de décès ou de ventilation permanente a été observée dans la population en ITT (p = 0,0046). Une durée médiane jusqu'au décès ou jusqu'à la ventilation permanente n'a pas été atteinte dans le groupe sous Spinraza, tandis qu'elle était de 22,6 semaines dans le groupe de traitement simulé. Une réduction statistiquement significative de 62,8 % du risque de décès a également été observée (p= 0,0041).
Dans l'ensemble de données sur l'efficacité, 18 patients (25 %) du groupe sous Spinraza et 12 patients (32 %) du groupe de traitement simulé ont eu besoin d'une ventilation permanente. Alors qu'aucun patient de l'étude CS3B n'a interrompu la ventilation permanente, 6 (33 %) patients du groupe Spinraza et 0 (0 %) patient du groupe de traitement simulé ont correspondu aux critères déterminants de répondeur moteur définis dans le protocole.
11 patients (61 %) du groupe sous Spinraza et 3 patients (25 %) du groupe de traitement simulé ont atteint au moins 1 point d'amélioration du score total des étapes du développement moteur. Aucun patient (0 %) du groupe sous Spinraza et 3 patients (25 %) du groupe de traitement simulé ont présenté au moins 1 point de détérioration du score total des étapes du développement moteur.
Sur le plan statistique, un pourcentage significativement supérieur (p < 0,0001) des participants de l'ensemble de données sur l'efficacité traités par Spinraza (71 %) a obtenu une amélioration d'au moins 4 points au score CHOP INTEND par rapport au score initial, en comparaison avec les patients recevant le traitement simulé (3 %). De même, 3 % des patients du groupe sous Spinraza et 46 % des patients du groupe sous traitement simulé ont présenté une détérioration du score CHOP INTEND par rapport au score initial.
Tableau 4: Résultats des critères d'évaluation principaux et secondaires lors de l'analyse finale – étude CS3B
|
Paramètre d'efficacité
|
Patients traités par Spinraza
|
Patients recevant le traitement simulé
| |
Survie
| |
Survie sans événement2
| |
Nombre de patients décédés ou devant être placés sous ventilation permanente
|
31 (39 %)
|
28 (68 %)
| |
Hazard Ratio (IC à 95 %)
|
0,53 (0,32 - 0,89)
| |
Valeur de p6
|
p = 0,0046
| |
Nombre de patients devant être placés sous ventilation permanente2
|
18 (23 %)
|
13 (32 %)
| |
Hazard Ratio (IC à 95 %)
|
0,66 (0,322 – 1,368)
| |
Valeur de p6
|
p = 0,1329
| |
Survie globale2
| |
Nombre de patients décédés
|
13 (16 %)
|
16 (39 %)
| |
Hazard Ratio (IC à 95 %)
|
0,37 (0,18 – 0,77)
| |
Valeur de p6
|
p = 0,0041
| |
Fonction motrice
| |
Étapes du développement moteur3
| |
Pourcentage de patients correspondant aux critères prédéfinis de répondeur en termes d'atteinte des étapes du développement moteur (section 2 du HINE)4,5
|
37 (51 %)1 p < 0,0001
|
0 (0 %)
| |
Pourcentage au jour 183
|
30/73 (41 %)
|
2/37 (5 %)
| |
Pourcentage au jour 302
|
22/49 (45 %)
|
0/28 (0 %)
| |
Pourcentage au jour 394
|
20/37 (54 %)
|
0/21 (0 %)
| |
Pourcentage présentant une amélioration du score total pour les étapes du développement moteur
|
49 (67 %)
|
5 (14 %)
| |
Pourcentage présentant une détérioration du score total pour les étapes du développement moteur
|
1 (1 %)
|
8 (22 %)
| |
CHOP-INTEND3
| |
Pourcentage présentant une amélioration de 4 points
|
52 (71 %) p < 0,0001
|
1 (3 %)
| |
Pourcentage présentant une détérioration de 4 points
|
2 (3 %)
|
17 (46 %)
| |
Pourcentage présentant tout niveau d'amélioration
|
53 (73 %)
|
1 (3 %)
| |
Pourcentage présentant tout niveau de détérioration
|
5 (7 %)
|
18 (49 %)
|
1 L'étude CS3B a été arrêtée après une analyse statistique positive du critère d'évaluation principal lors de l'analyse intermédiaire (un pourcentage de patients significativement plus élevé sur le plan statistique a correspondu à la définition de répondeur en termes d'étapes du développement moteur dans le groupe sous Spinraza (41 %) que dans le groupe sous traitement simulé (0 %) (p < 0,0001)).
2 Lors de l'analyse finale, la survie sans événement et la survie globale ont été évaluées sur la base de la population en intention de traiter (ITT: Spinraza n = 80; traitement simulé n = 41).
3 Au moment de l'analyse finale, les analyses du score CHOP INTEND et des étapes du développement moteur ont été effectuées sur la base de la population d'analyse de l'efficacité (Spinraza n = 73; traitement simulé n = 37).
4 Évalué lors de la visite du jour 183, du jour 302 ou du jour 394 de l'étude en fonction de la date la plus éloignée de la visite initiale.
5 Selon l'échelle HINE (Hammersmith Infant Neurological Examination) section 2: patient présentant une augmentation ≥2 points [ou un score maximal] de la capacité de pédalage OU une augmentation ≥1 point pour les étapes du développement moteur contrôle de la tête, se retourner, s'asseoir, marcher à quatre pattes, se tenir debout ou marcher ET une amélioration dans plus de catégories d'étapes du développement moteur que de détériorations, défini comme répondeur pour cette analyse principale.
6 Sur la base d'un test des rangs logarithmiques stratifié selon la durée de la maladie.
Sur les 121 patients (80 traités par Spinraza et 41 ayant reçu le traitement simulé témoin) de l'étude CS3B, 89 patients (65 traités par Spinraza et 24 après traitement simulé) ont été inclus dans l'étude d'extension en ouvert en cours (étude CS11). Les patients qui avaient reçu un traitement par Spinraza au cours de l'étude CS3B et qui ont été inclus dans l'étude CS11 en prolongation du traitement par Spinraza, ont reçu le médicament pendant une durée allant de 6 jours à 8,3 ans (médiane de 6,7 ans). Les patients randomisés dans le groupe sous traitement simulé au cours de l'étude CS3B et qui ont débuté le traitement par Spinraza dans l'étude CS11 ont reçu le médicament pendant une durée allant de 65 jours à 6,9 ans (médiane de 5,7 ans). Des améliorations de la fonction motrice (Figures 2 et 3) ont été observées aussi bien chez les patients ayant poursuivi le traitement par Spinraza de l'étude CS3B que chez les patients ayant débuté le traitement par Spinraza dans l'étude CS11. Le bénéfice le plus important observé était associé à un début de traitement plus précoce chez les patients. La plupart des patients étaient en vie lors de la dernière visite, après avoir débuté le traitement par Spinraza soit dans l'étude CS3B, soit dans l'étude CS11.
L'âge médian des patients commençant le traitement par Spinraza dans l'étude CS3B était de 5,4 mois (intervalle 1,7 – 14,9 mois). Le délai médian jusqu'au décès ou jusqu'à la ventilation permanente était de 1,4 an après instauration du traitement par Spinraza, en incluant la période d'extension dans l'étude CS11. À la fin de l'étude CS11, 60 des 81 patients (74 %) étaient toujours en vie et 41 des 81 patients (51 %) n'avaient pas été mis sous ventilation permanente selon la définition de l'étude CS11 (ventilation durant ≥16 heures par jour en continu pendant > 21 jours en l'absence d'événement aigu réversible ou de trachéotomie).
Le score total moyen du développement moteur (HINE-2) a augmenté de 5,3 (ET 4,6; n = 53) et le score CHOP INTEND moyen a augmenté de 18,4 (ET 14,7; n = 38) de l'instauration du traitement par Spinraza jusqu'aux visites de suivi du jour 394 et du jour 2198 respectivement.
Chez les patients randomisés dans le groupe sous traitement simulé dans l'étude CS3B et commençant le traitement par Spinraza seulement dans l'étude CS11, l'âge médian était de 17,8 mois (intervalle 10,1 – 23,0 mois). Avant l'instauration du traitement par Spinraza, 12 des 24 patients (50 %) avaient atteint le critère d'efficacité de ventilation permanente de l'étude CS11. Le délai médian jusqu'au décès ou jusqu'à la ventilation permanente était de 2,76 ans après l'instauration du traitement par Spinraza dans l'étude CS11. À la fin de l'étude CS11, 19 des 24 patients (79 %) étaient en vie et 6 patients sur 12 (50 %) étaient en vie sans ventilation permanente. Une amélioration des scores totaux moyens du développement moteur de 1,4 (ET 1,8; n = 12) et du score CHOP INTEND de 11,5 (ET 12,2; n = 10) a été observée entre l'inclusion et le jour 394, et le jour 2198 de l'étude CS11, respectivement.
Étude CS3A
L'étude CS3A était une étude de phase II en ouvert menée chez des patients symptomatiques ayant un diagnostic de SMA. L'âge médian lors de l'apparition des signes et symptômes cliniques était de 56 jours (21 - 254 jours) et les patients étaient porteurs de deux copies (n = 17) ou de trois copies (n = 2) du gène SMN2 (nombre de copies du gène SMN2 inconnu pour un patient). Les patients de cette étude étaient considérés comme très susceptibles de développer une SMA de type I. L'âge médian lors de la première dose était de 162 jours (37 - 223 jours). La durée de participation médiane des patients à l'étude était de 3 ans (62 jours - 3,9 ans).
Le critère d'évaluation principal était le pourcentage de patients présentant une amélioration dans une ou plusieurs catégories d'étapes du développement moteur (selon l'échelle HINE de la section 2: amélioration de ≥2 points [ou un score maximal] de la capacité de gigoter ou de la préhension volontaire OU amélioration de ≥1 point pour les étapes du développement moteur contrôle de la tête, se retourner, s'asseoir, marcher à quatre pattes, se tenir debout ou marcher). Le critère d'évaluation principal a été atteint chez 12 des 20 patients (60 %), avec une amélioration durable du nombre moyen d'étapes du développement moteur atteintes au cours du temps (Figures 2 et 3).
Une amélioration durable du score CHOP INTEND moyen a été observée entre l'inclusion et le jour 1072 (variation moyenne de 21,30). Au total, 11 patients sur 20 (55 %) ont atteint le critère d'évaluation d'augmentation ≥4 points au score CHOP INTEND total lors de leur dernière visite de l'étude avant le gel des données.
Lors de la dernière visite, 11 patients parmi les 20 inclus dans l'étude (55 %) étaient toujours en vie et ne nécessitaient pas de ventilation permanente. Quatre patients remplissaient les critères de ventilation permanente et cinq patients sont décédés pendant l'étude.
Forme d'apparition plus tardive
Étude CS4 (CHERISH)
L'étude CS4 est une étude de phase III randomisée, en double aveugle, contrôlée contre traitement simulé, menée chez 126 enfants symptomatiques présentant une SMA d'apparition plus tardive (apparition des symptômes après l'âge de 6 mois). Les patients ont été randomisés selon un rapport 2:1 pour recevoir soit Spinraza (administration de trois doses de charge puis de doses d'entretien tous les 6 mois) soit de contrôle sham, avec une durée de traitement allant de 324 à 482 jours (médiane de 450 jours). Suite aux résultats positifs de l'analyse intermédiaire, l'étude CS4 a été interrompue et les patients ont été inclus dans l'étude de la phase d'extension en ouvert (CS11).
L'âge médian lors de la sélection était de 3 ans (intervalle compris entre 2 et 9 ans) et l'âge médian lors de l'apparition des signes et symptômes cliniques de SMA était de 11 mois (intervalle compris entre 6 et 20 mois). La majorité des patients (88 %) étaient porteurs de trois copies du gène SMN2 (deux copies chez 8 % des patients, quatre copies chez 2 % et nombre de copies inconnu chez 2 %). Au stade initial, les patients avaient obtenu un score HFMSE moyen de 21,6 et un score RULM moyen de 19,1. Tous les patients avaient atteint l'étape «position assise sans aide», mais aucun l'étape «marcher sans assistance». Les patients de cette étude étaient considérés comme très susceptibles de développer une SMA de type II ou III.
Les caractéristiques cliniques initiales étaient généralement comparables, à l'exception d'un déséquilibre dans le pourcentage de patients ayant de temps à autres atteint l'étape «se tenir debout sans aide» (13 % des patients du groupe sous Spinraza contre 29 % des patients du groupe sous traitement simulé) ou «marcher avec une assistance» (24 % des patients du groupe sous Spinraza contre 33 % des patients du groupe sous traitement simulé).
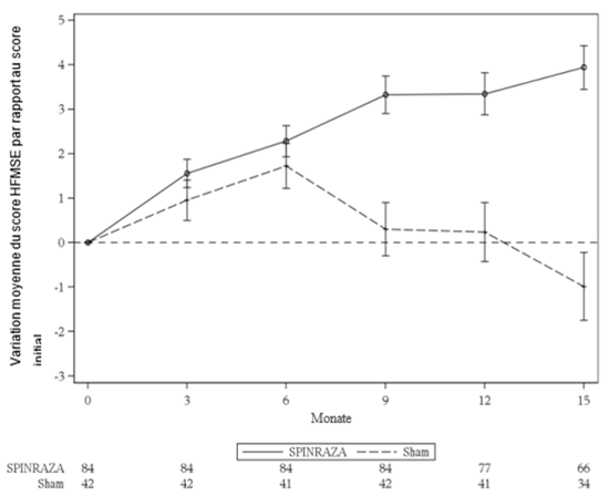
Une analyse intermédiaire a été effectuée lorsque l'évaluation du mois 6 a été réalisée chez tous les patients et que l'évaluation du mois 15 a été réalisée chez au moins 39 patients. Le critère d'évaluation principal examiné au moment de l'analyse intermédiaire était la variation du score HFMSE au mois 15 par rapport au score initial. L'analyse principale a été effectuée sur la population en ITT qui comprenait tous les patients randomisés et ayant reçu au moins 1 dose de Spinraza ou 1 traitement simulé (Spinraza n = 84; traitement simulé n = 42). Les données HFMSE après l'inclusion chez les patients sans visite au mois 15 ont été calculées selon la méthode d'imputation multiple. Par rapport aux patients recevant le traitement simulé, une amélioration statistiquement significative du score HFMSE par rapport au score initial a été observée chez les patients traités par Spinraza (tableau 5).
Les résultats de l'analyse finale sont conformes aux résultats de l'analyse intermédiaire et montrent, chez les patients traités par Spinraza par rapport aux patients recevant le traitement simulé, une amélioration statistiquement significative du score HFMSE au mois 15 par rapport au score initial (tableau 5, figure 1).
Une analyse d'une sous-groupe de patients de la population en ITT qui avaient des valeurs observées au mois 15 a montré des résultats uniformes, statistiquement significatifs (p = 0,0000002). L'analyse statistique a été réalisée selon le modèle ANCOVA et une régression adaptée en fonction de l'âge au moment du screening ainsi que selon le score initial HFMSE. Parmi les patients présentant des valeurs observées au mois 15, une proportion plus élevée de patients traités par Spinraza présentaient une amélioration (73 % contre 41 %) et une proportion plus faible une détérioration (23 % contre 44 %) du score HFMSE total par rapport aux patients recevant le traitement simulé.
Lors de l'analyse finale, tous les critères d'évaluation secondaires, y compris les valeurs fonctionnelles mesurées et les valeurs du développement moteur de l'OMS, ont été testés de manière statistiquement formelle et figurent dans le tableau 5.
L'amélioration de la fonction motrice a été plus précoce et plus importante lorsque le traitement était instauré rapidement après le diagnostic que lorsque l'instauration du traitement était différée. Cependant, les deux groupes ont obtenu un bénéfice par rapport aux patients recevant le traitement simulé.
Figure 1: Variation moyenne du score HFMSE par rapport au score initial au cours du temps (ITT1) – étude CS41,2

1 Nombre de patients avec une valeur observée à chacun des moments figurant sur l'axe x. Les valeurs moyennes représentées ont été calculées pour la population ITT (Spinraza n = 84, traitement simulé: n = 42) par la méthode d'imputation multiple.
2 Les barres d'erreur indiquent les écarts-types +/-
Tableau 5: Résultats des critères d'évaluation principal et secondaires lors de l'analyse finale -– étude CS41
|
|
Patients traités par Spinraza
|
Patients recevant le traitement simulé
| |
Score HFMSE
| |
Variation du score HFMSE total par rapport à la valeur initiale après 15 mois1,2,3
|
3,9 (IC à 95 %: 3,0; 4,9) p = 0,0000001
|
-1,0 (IC à 95 %: -2.5, 0.5)
| |
Proportion de patients ayant obtenu une amélioration d'au moins 3 points par rapport à la valeur initiale1,4
|
56,8 % (IC à 95 %: 45,6; 68,1) p = 0,00065, 6
|
26,3 % (IC à 95 %: 12.4, 40.2)
| |
RULM
| |
Variation moyenne du score RULM total au mois 15 par rapport au score initial1,2,3
|
4,2 (IC à 95 %: 3,4; 5,0) p= 0,00000016
|
0,5 (IC à 95 %: -0.6, 1.6)
| |
Étapes de développement moteur de l'OMS
| |
Pourcentage de patients ayant atteint une nouvelle étape du développement moteur au mois 154
|
19,7 % (IC à 95 %: 10,9; 31,3) p = 0,0811
|
5,9 % (IC à 95 %: 0.7, 19.7)
| |
Nombre atteint moyen de nouvelles étapes du développement moteur2,3,4
|
0,2 (intervalle de -1 à 2, IC à 95 %: 0,1; 0,3) p = 0,00016
|
-0,2 (intervalle de -1 à 1, IC à 95 %: -0.4, 0.0)3
|
1 Déterminés sur la base de la population en ITT (Spinraza, n = 84; traitement simulé, n = 42); les données chez les patients sans visite au mois 15 ont été calculées selon la méthode d'imputation multiple.
2 Moyenne des moindres carrés du modèle ANCOVA, où le traitement a été désigné comme l'effet et un ajustement a été réalisé pour chaque patient selon l'âge au moment du screening et selon le score initial.
3 Les valeurs négatives indiquent une détérioration, les valeurs positives une amélioration.
4 Déterminé sur la base des valeurs au mois 15 dans l'ensemble de données sur l'efficacité (Spinraza n = 66; traitement simulé n = 34); analyse reposant sur des valeurs calculées en l'absence de valeurs mesurées.
5 Basé sur une régression logistique avec effet thérapeutique et ajustement pour tenir compte de l'âge de chaque patient au moment du dépistage et du score HFMSE à la ligne de base.
6 Valeur nominale de p.
Remarque: nombre de patients en ITT ayant effectué toutes les visites: mois 3, 6, 9 (Spinraza n = 84, traitement simulé n = 42), mois 12 (Spinraza n = 77, traitement simulé n = 41), mois 15 (Spinraza n = 66, traitement simulé n = 34).
125 patients (83 traités par Spinraza et 42 ayant reçu le traitement simulé témoin) ont pris part à l'étude CS4 et ont poursuivi dans l'étude d'extension en ouvert CS11. Les patients randomisés dans le groupe Spinraza dans l'étude CS4 et qui ont été inclus dans l'étude CS11 en prolongation du traitement par Spinraza ont reçu le médicament pendant une durée moyenne de 7,2 ans (1,3 – 8,4 ans). Les patients randomisés dans le groupe sous traitement simulé dans l'étude CS4 et qui ont débuté le traitement par Spinraza dans l'étude CS11 ont reçu le médicament pendant une durée moyenne de 5,8 ans (2,7 – 6,7 ans). De nombreux patients traités par Spinraza ont montré une amélioration de la fonction motrice dans au moins l'un des deux tests de la fonction motrice jusqu'à la visite de suivi à 5,7 ans, le bénéfice le plus important étant observé chez ceux qui avaient débuté le traitement par Spinraza à un âge précoce.
L'âge médian des patients commençant le traitement par Spinraza dans l'étude CS4 était de 4,1 ans (intervalle 2,1 – 9,2 ans). À partir de l'instauration du traitement par Spinraza et en incluant la période d'extension du traitement dans l'étude CS11, le score HFMSE a d'abord augmenté à une valeur moyenne maximale de 4,5 points (ET 6,1; n = 83) après une période d'observation de 1,9 ans, pour ensuite diminuer au cours de l'observation suivante, de telle sorte qu'une augmentation de 1,3 points a été calculée par rapport à l'inclusion (ET 9,4; n = 54) après une période d'observation de 5,7 ans. Quelques patients ont été suivi jusqu'à 7,6 ans, avec une variation de -2,3 points par rapport à l'inclusion (ET 9,6; n = 39). Les scores RULM ont initialement augmenté à une valeur moyenne maximale de 6,4 points (ET 6,5; n = 74) lors de la visite de suivi de 3,9 ans, une valeur qui est restée stable à 6,4 points (ET 6,5; n = 54) jusqu'à la visite de suivi de 5,7 ans. Quelques patients ont été suivi jusqu'à 7,6 ans, avec une variation moyenne de 6,0 points par rapport à l'inclusion (ET 6,8; n = 40).
L'âge moyen des patients randomisés dans le groupe sous traitement simulé dans l'étude CS4 et qui ont débuté le traitement par Spinraza dans l'étude CS11 était de 4,9 ans (3,3 - 9,0 ans). La variation du score HFMSE consistait en une diminution moyenne de 1,3 point (ET 9,3; n = 22) et la variation du score RULM en une augmentation moyenne de 4,2 points (ET 4,4; n = 23) lors de la visite de suivi de 5,7 ans.
L'évolution de la maladie chez des patients non traités d'âge similaire et présentant des caractéristiques cliniques comparables montre une perte progressive de la fonction motrice au cours du temps, avec une diminution moyenne estimée du score HFMSE de 6,6 points sur une période de 5 ans. Au cours de l'évolution à long terme qui a suivi,, le score HFMSE a continué de diminuer avec une baisse moyenne estimée de 8,3 points après 7 ans.
Études CS2 et CS12
Ces résultats sont corroborés par deux études en ouvert (études CS2 et CS12). L'analyse a inclus 28 patients qui avaient reçu leur première dose dans le cadre de l'étude CS2 et sont ensuite entrés dans la phase de prolongation (étude CS12). Les patients inclus dans les études étaient âgés de 2 à 15 ans au moment de la première dose. Sur les 28 patients, trois étaient âgés d'au moins 18 ans lors de leur dernière visite dans le cadre de l'étude. Un des 28 patients était porteur de deux copies du gène SMN2, 21 patients étaient porteurs de trois copies et 6 de quatre copies. Les patients de cette étude ont présenté un diagnostic de SMA de type II ou de type III. La valeur HFMSE moyenne au niveau de base était de 21,3 (intervalle 6 - 35) chez les patients avec SMA de type II (n = 11) et de 48,9 (intervalle 20 - 63) chez les patients avec SMA de type III (n = 17).
La valeur moyenne au niveau de base du résultat du test de l'Upper Limb Module (ULM) chez les patients avec SMA de type II était de 11,9 (intervalle 7 - 17) et la valeur moyenne du résultat du test de marche de 6 minutes (6MWT, six-minute walk test) au niveau de base était de 253,3 mètres (intervalle compris entre 0 et 563 mètres) chez les patients ambulatoires de type III (n = 13).
Les patients ont été évalués pendant une période de traitement de 3 ans. Il a été observé une amélioration durable chez les patients atteints de SMA de type II, avec une amélioration moyenne du score HFSME par rapport au score initial après 253 jours de 5,1 (ET de 4,05, n = 11) et après 1050 jours de 9,1 (ET de 6,61, n = 9). Le nombre moyen de points après 253 jours était de 26,4 (ET de 11,91) et après 1050 jours de 31,3 (ET de 13,02), sans plateau constaté. Ces résultats sont comparables à la baisse du nombre de points normalement observée au cours du temps chez les patients présentant une forme d'apparition plus tardive de SMA.
Les patients atteints de SMA de type III ont présenté une amélioration moyenne de 1,3 point (ET de 1,87, n = 16) au score HFSME par rapport au score initial après 253 jours et une amélioration de 1,2 point (ET de 4,64, n = 11) après 1050 jours.
Le test Upper Limb Module a été réalisé chez les patients atteints de SMA de type II et a révélé une amélioration moyenne de 1,9 (ET de 2,68, n = 11) après 253 jours et de 3,5 (ET de 3,32, n = 9) après 1050 jours. Le score total moyen était de 13,8 (ET de 3,09) après 253 jours et de 15,7 (ET de 1,92) après 1050 jours.
Le test de marche de 6 minutes (6MWT, six-minute walk test) n'a été réalisé que chez les patients capables de marcher. Chez ces patients, il a été observé après 253 jours une amélioration de 28,6 mètres (ET de 47,22, n = 12) et après 1050 jours une amélioration de 86,5 mètres (ET de 40,58, n = 8). La distance moyenne parcourue au 6MWT était de 278,5 mètres (ET de 206,46) après 253 jours et de 333,6 mètres (ET de 176,47) après 1050 jours. Deux patients qui n'étaient jusque-là pas autonomes s'agissant de la marche sans aide (SMA de type III) sont devenus capables de marcher sans assistance, de même qu'un patient qui n'était pas du tout capable de marcher jusque-là (SMA de type II).
Patients atteints de la forme infantile de SMA ou d'une SMA d'apparition plus tardive
Étude CS7 (EMBRACE)
L'étude CS7 est une étude de phase II comportant deux parties; la partie 1 était randomisée, en double aveugle et avec contrôle contre traitement simulé et la partie 2 était une extension effectuée en ouvert. Cette étude a été menée chez des patients symptomatiques atteints d'une forme infantile de SMA chez le nourrisson (≤6 mois) ou d'une SMA d'apparition plus tardive (> 6 mois) et chez des porteurs de 2 ou 3 copies du gène SMN2, qui, en raison de leur âge lors de la sélection, du procédé de sélection ou du nombre de copies du gène SMN2 ne répondaient pas aux critères de participation à l'étude CS3B ou à l'étude CS4. Dans la partie 1 de l'étude, les patients ont été suivis pendant une durée médiane de 302 jours.
Tous les patients traités par Spinraza étaient toujours en vie à la fin de la partie 1 de l'étude, mais un patient du groupe témoin est décédé au jour 289 de l'étude. De plus, aucun des patients du groupe Spinraza ou du groupe de traitement simulé n'a nécessité l'utilisation d'une ventilation permanente. Parmi les 13 patients atteints de SMA infantile, le critère d'efficacité (étapes du développement moteur, échelle HINE section 2) a été atteint chez 7 sur 9 (78 %; IC à 95 %: 45, 94) du groupe Spinraza et chez 0 sur 4 (0 %; IC à 95 %: 0, 60) du groupe de traitement simulé. Parmi les 8 patients atteints d'une SMA d'apparition plus tardive, ce critère a été atteint chez 4 sur 5 (80 %; IC à 95 %: 38, 96) du groupe Spinraza et chez 2 sur 3 (67 %; IC à 95 %: 21, 94) du groupe de traitement simulé.
Nourrissons présymptomatiques
Étude CS5 (NURTURE)
L'étude CS5 est une étude en ouvert menée chez des enfants en bas âge présymptomatiques ayant un diagnostic génétique de SMA, qui ont été inclus dans l'étude à l'âge de 6 semaines ou moins.
En raison de leurs caractéristiques génétiques, les patients de cette étude étaient considérés comme très susceptibles de développer une SMA de type I ou II. L'âge médian au moment de l'administration de la première dose était de 22 jours.
À l'inclusion, le nombre médian des étapes du développement moteur atteintes était de 3 (intervalle compris entre 0 et 7), le score CHOP INTEND total médian était de 50,0 (intervalle compris entre 25 et 60) et l'amplitude médiane du PAMC pour le nervus ulnaris par rapport au moment de l'inclusion était de 2,65 mV (intervalle compris entre 1,00 et 6,7).
L'analyse intermédiaire (gel des données 19 février 2020) a été réalisée au moment où les patients avaient été inclus dans l'étude pendant une durée médiane de 48,3 mois (36,6 - 57,1 mois) et avaient lors de la dernière visite de l'étude un âge médian de 46,0 mois (34,0 - 57,0 mois). Lors de l'analyse intermédiaire, les 25 patients (porteurs de 2 copies du gène SMN2, n = 15; porteurs de 3 copies du gène SMN2, n = 10) étaient tous en vie et sans ventilation permanente. Le critère d'évaluation principal était le délai jusqu'au décès ou jusqu'à une intervention d'assistance respiratoire (définie comme une ventilation invasive ou non invasive durant ≥6 heures par jour en continu pendant ≥7 jours consécutifs OU une trachéostomie) et ce critère n'a pas pu être déterminé en raison d'un trop faible nombre d'événements. Quatre patients (porteurs de 2 copies du gène SMN2) ont nécessité une assistance respiratoire durant > 6 heures par jour pendant ≥7 jours en raison d'une affection aiguë réversible.
Les patients ont atteint des étapes du développement non attendues lors d'une SMA de type I ou de type II et correspondant plutôt à un développement normal. Lors de l'analyse intermédiaire, la totalité des 25 (100 %) patients arrivaient à s'asseoir sans aide et 23 (92 %) patients arrivaient à marcher avec assistance (étapes de développement moteur selon l'échelle de l'OMS) et 22 des 25 patients (88 %) arrivaient à marcher sans assistance. Le score CHOP-INTEND maximal (score de 64) était atteint par 21 (84 %) des patients. Tous les patients étaient capables de téter et de déglutir lors de la dernière visite (jour 778); le score maximal sur l'échelle HINE section 1 a été atteint chez 22 des 25 nourrissons (88 %).
La proportion de patients qui ont développé une SMA cliniquement avérée a été évalué parmi les patients qui avaient atteint la visite du jour 700 lors de l'analyse intermédiaire (n = 25). Les critères de SMA cliniquement avérée définis par le protocole étaient: poids pour l'âge en dessous du 5e percentile de l'OMS, diminution d'au moins 2 percentiles principaux sur la courbe de poids en fonction de l'âge, pose d'une gastrostomie percutanée et/ou incapacité à atteindre une des étapes de développement attendues en fonction de l'âge selon l'OMS (s'asseoir sans aide, se tenir debout avec assistance et marcher à quatre pattes, marcher avec assistance, se tenir debout sans soutien et marcher sans assistance). Au jour 700, 7 patients sur 15 (47 %) porteurs de 2 copies du gène SMN2 et aucun des 10 porteurs de 3 copies du gène SMN2 répondaient aux critères de SMA cliniquement avérée définis par le protocole. Toutefois, ces patients ont présenté une prise de poids et ont atteint des étapes qui ne sont normalement pas atteintes lors d'une SMA de type I. La figure 2 et la figure 3 présentent une comparaison du développement moteur chez les patients présentant une SMA infantile symptomatique ou une SMA présymptomatique.
Figure 2: Variation des étapes du développement moteur selon le bilan HINE en fonction des jours d'étude dans le cadre des études CS3B (groupes sous Spinraza et sous traitement simulé), CS3A, CS5 et CS11 (population ITT)

Figure 3: Score CHOP INTEND en fonction du nombre de jours dans l'étude dans le cadre des études CS3B (Spinraza et traitement simulé), CS3A, CS5 et CS11 (population ITT)

Poursuite du traitement à l'âge adulte chez les patients atteints d'une SMA de type II ou III
Dans une analyse intermédiaire, des données d'études cliniques limitées de 7 jeunes patients adultes atteints d'une SMA de type II ou III (âgés de 18,8 à 22,5 ans) dont le traitement a débuté à l'adolescence, qui ont été suivis pendant 5,3 à 6,8 ans dans l'étude CS2/CS12/SHINE, suggèrent une stabilisation ou une amélioration des fonctions motrices chez ces patients, comme l'ont révélé le test de marche de 6 minutes (6MWT) et le score HFMSE.
Résultats concernant l'utilisation chez l'adulte après la mise sur le marché
Des rapports bibliographiques d'études observationnelles sur l'utilisation du nusinersen chez des patients atteints d'une SMA de type II et III, dont le traitement a débuté à l'âge adulte, avec un suivi de 10 à 14 mois, suggèrent une stabilisation ou une amélioration des fonctions motrices (HFMSE, 6MWT, RULM) chez des patients d'âges différents avec une évolution plus ou moins grave de la maladie, alors que chez les patients atteints de SMA non traités, une diminution des fonctions motrices a été rapportée au cours du temps.
On ne dispose d'aucune donnée clinique contrôlée.
|