CompositionPrincipes actifs
L'eptinézumab est un anticorps monoclonal humanisé recombinant produit à partir de cellules de levure (Pichia pastoris).
Excipients
L-Histidine, chlorhydrate de L-histidine monohydraté, polysorbate 80, sorbitol (E420) 40,5 mg et eau pour préparation injectable.
Forme pharmaceutique et quantité de principe actif par unitéSolution à diluer pour perfusion (IV).
Un flacon de 1 mL contient 100 mg d'eptinézumab (100 mg/mL).
Indications/Possibilités d’emploiTraitement préventif de la migraine chez l'adulte, si indiqué.
Posologie/Mode d’emploiL'indication de traitement doit être posée par un médecin expérimenté dans le traitement de la migraine, qui assurera également son suivi.
À l'instar des autres traitements par perfusion, le traitement par Vyepti doit être supervisé par des professionnels de la santé.
La dose recommandée est de 100 mg en perfusion intraveineuse toutes les 12 semaines. La posologie de 300 mg en perfusion intraveineuse toutes les 12 semaines peut bénéficier à certains patients (voir la rubrique "Propriétés/Effets" ).
En cas de réponse insuffisante au traitement, ou au plus tard après 12 mois de traitement, la poursuite du traitement doit être réévaluée. Les données sur la sécurité et l'efficacité au-delà de 12 mois sont limitées.
Instructions posologiques particulières
Patients présentant des troubles de la fonction rénale ou hépatique
Aucune adaptation posologique n'est nécessaire chez les patients présentant des troubles légers à modérés de la fonction rénale ou hépatique (voir la rubrique "Cinétique pour certains groupes de patients" ).
Les patients présentant une atteinte rénale ou hépatique sévère n'ont pas été étudiés.
Patients âgés
Il existe des données limitées sur l'utilisation chez les patients de 65 ans et plus. Aucune adaptation posologique n'est nécessaire chez les patients âgés, car la pharmacocinétique de Vyepti n'est pas modifiée avec l'âge.
Enfants et adolescents
La sécurité et l'efficacité de Vyepti pour les enfants et les adolescents de moins de 18 ans n'ont pas encore été établies. Aucune donnée n'est disponible à ce jour. Par conséquent, l'utilisation de Vyepti dans ces catégories d'âge est contre-indiquée.
Prise retardée
Si une prise a été oubliée, la prise suivante doit être administrée dès que possible, puis reprendre le schéma trimestriel d'administration.
Mode d'administration
L'eptinézumab est destiné à la perfusion en intraveineuse et ne doit être administré qu'après dilution.
Pour les instructions concernant la dilution du médicament avant administration, voir rubrique "Remarques particulières" .
Traçabilité
Afin d'assurer la traçabilité des médicaments biotechnologiques, il convient de documenter pour chaque traitement le nom commercial et le numéro de lot.
Contre-indicationsHypersensibilité à la substance active eptinézumab ou à l'un des excipients selon la composition.
Mises en garde et précautionsHypersensibilité
Des réactions d'hypersensibilité graves, y compris des réactions anaphylactiques, ont été décrites et peuvent survenir dans les minutes suivant le début de la perfusion. La plupart des réactions d'hypersensibilité se sont produites pendant la perfusion et n'étaient pas graves (voir la rubrique "Effets indésirables" ). En cas de survenue d'une réaction d'hypersensibilité grave, l'administration de Vyepti doit être interrompue immédiatement et un traitement adapté doit être instauré.
Il n'existe pas de données concernant une réexposition à l'eptinézumab après des réactions (légères) d'hypersensibilité, qui pourraient être plus sévères à la reprise du traitement.
Risque cardiovasculaire
Les patients ayant des antécédents de maladie cardio-vasculaire ont été exclus des essais cliniques (voir la rubrique "Propriétés/Effets, Efficacité clinique" ). Il n'existe pas de données de sécurité pour ces patients.
Enfants et adolescents
La sécurité et l'efficacité de Vyepti pour les enfants et les adolescents ne sont pas établies. Par conséquent, l'utilisation de Vyepti dans ces catégories d'âge est contre-indiquée.
Sorbitol
Ce médicament contient 40,5 mg de sorbitol par flacon, soit 40,5 mg/mL.
L'effet additif des produits contenant du sorbitol (ou du fructose) administrés simultanément et l'apport alimentaire de sorbitol (ou de fructose) doit être pris en compte. Ce médicament ne doit pas être administré aux patients présentant une intolérance héréditaire au fructose (IHF), sauf si cela est strictement nécessaire.
Avant d'utiliser ce médicament il faudra recueillir l'historique détaillé des symptômes d'IHF pour chaque patient.
InteractionsInteractions pharmacocinétiques
L'eptinézumab n'est pas métabolisé par les enzymes du cytochrome P450. C'est pourquoi les interactions de l'eptinézumab avec des médicaments co-administrés qui sont des substrats, des inducteurs ou des inhibiteurs des enzymes du cytochrome P450 sont considérées comme peu probables.
Chez des sujets sains, l'administration concomitante d'une dose unique de 300 mg d'eptinézumab en perfusion intraveineuse (pendant une durée de 1 heure ± 15 minutes) et d'une dose unique de 6 mg de sumatriptan par voie sous-cutanée n'a pas modifié la pharmacocinétique de l'eptinézumab ni celle du sumatriptan.
Les interactions avec d'autres médicaments n'ont pas été étudiées.
Grossesse, allaitementGrossesse
Les données sur l'utilisation de l'eptinézumab chez la femme enceinte sont très restreintes. Les études effectuées chez l'animal avec l'eptinézumab n'ont pas mis en évidence d'effets toxiques directs ou indirects sur la reproduction (voir la rubrique "Données précliniques" ). Les IgG humaines traversent la barrière placentaire, c'est pourquoi l'eptinézumab peut être transmis de la mère au fœtus en développement.
Vyepti ne doit pas être utilisé chez la femme enceinte, sauf nécessité impérieuse.
Allaitement
Il n'existe pas de données disponibles sur la présence de l'eptinézumab dans le lait maternel, ni sur ses effets sur les nourrissons allaités ou sur la lactation. Les IgG humaines sont excrétées dans le lait maternel, c'est pourquoi l'eptinézumab peut être transmis de la mère au nourrisson allaité. Par conséquent, une décision doit être prise soit d'interrompre l'allaitement, soit d'interrompre le traitement avec Vyepti, en prenant en compte le bénéfice de l'allaitement pour l'enfant au regard du bénéfice du traitement par Vyepti pour la femme.
Fertilité
L'effet de l'eptinézumab sur la fertilité humaine n'a pas été évalué. Les études menées chez l'animale avec l'eptinézumab n'ont révélé aucun effet sur la fertilité (voir la rubrique "Données précliniques" ).
Effet sur l’aptitude à la conduite et l’utilisation de machinesAucune étude correspondante n'a été effectuée. Cependant, sur la base des données disponibles, Vyepti ne devrait avoir aucune influence ou une influence négligeable sur l'aptitude à la conduite ou l'utilisation de machines.
Effets indésirablesAu cours des essais cliniques, plus de 2 000 patients (soit plus de 1 600 patients-années) ont été traités par eptinézumab. Environ 1 500 de ces patients ont reçu des doses de 100 mg ou 300 mg. Tous dosages confondus, 1 872 patients ont été traités pendant au moins 24 semaines (2 doses), 991 patients pendant 48 semaines (4 doses) et 101 patients jusqu'à 2 ans (8 doses).
Lors des études contrôlées versus placebo (PROMISE 1 et PROMISE 2) sur le traitement préventif de la migraine, les effets indésirables les plus fréquents étaient une rhinopharyngite et des réactions d'hypersensibilité (voir ci-après). La plupart des réactions d'hypersensibilité sont survenues durant la perfusion (voir la rubrique "Mises en garde et précautions" ).
Liste des effets indésirables
Les effets indésirables sont présentés par classe de système d'organes de la classification MedDRA et par fréquence selon la convention suivante:
"très fréquent" (≥1/10),
"fréquent" (≥1/100 à <1/10),
"occasionnel" (≥1/1000 à <1/100),
"rare" (≥1/10 000 à <1/1 000),
"très rare" (<1/10 000).
Infections et infestations
Fréquent: Rhinopharyngite.
Affections du système immunitaire
Fréquent: Réactions d'hypersensibilité telles que: angioœdème, urticaire, rougeur du visage, éruptions cutanées et démangeaisons.
Occasionnel: Réaction anaphylactique.
Troubles généraux et anomalies au site d'administration
Fréquent: Réaction liée à la perfusion.
Occasionnel: Extravasation au point de perfusion.
Affections gastro-intestinales
Occasionnel: Constipation.
Description d'effets indésirables spécifiques et informations complémentaires
Réactions d'hypersensibilité et réactions liées à la perfusion
Des réactions d'hypersensibilité grave, y compris des réactions anaphylactiques, ont été rapportées. Ces réactions pourraient se manifester quelques minutes après le début de la perfusion (voir la rubrique "Mises en garde et précautions" ). Les réactions anaphylactiques décrites étaient associées à des symptômes d'hypotension et à des difficultés respiratoires et ont conduit à l'arrêt du traitement par Vyepti. D'autres réactions d'hypersensibilité (notamment, angioedème, urticaire, bouffées congestives, rash et prurit) ont été rapportées chez environ 4 % des patients recevant la dose de 300 mg et 3 % des patients recevant la dose de 100 mg lors des études PROMISE 1 et PROMISE 2.
Les autres symptômes rapportés avec la perfusion d'eptinezumab sont des symptômes respiratoires (congestion nasale, rhinorrhée, irritation de la gorge, toux, éternuements, dyspnée) et de la fatigue. La plupart de ces événements étaient de nature non grave et transitoire.
Immunogénicité
Comme c'est le cas pour toutes les protéines utilisées à des fins thérapeutiques, il existe un risque d'immunogénicité. La détection de la formation d'anticorps dépend largement de la sensibilité et de la spécificité du test. En outre, la fréquence constatée de positivité aux anticorps (y compris aux anticorps neutralisants) au cours d'un test dépend de divers facteurs: méthode de détection, manipulation de l'échantillon, moment du prélèvement, traitement concomitant et pathologie sous-jacente, par exemple. Ainsi, la comparaison de l'incidence des anticorps anti-eptinézumab dans les études décrites ci-après et de l'incidence des anticorps dans d'autres études ou contre d'autres produits pourrait-elle être trompeuse.
Dans les essais cliniques pivots avec placebo PROMISE 1 (jusqu'à 56 semaines) et PROMISE 2 (jusqu'à 32 semaines), les taux d'incidence des anticorps anti-eptinézumab s'élevaient à 18 % (105/579) et à 20 % (115/574) chez les patients recevant respectivement 100 mg et 300 mg toutes les 12 semaines. Dans les deux études, l'incidence des anticorps anti-eptinézumab était maximale à 24 semaines. Les taux d'incidence des anticorps neutralisants dans les deux études s'élevaient à 8,3 % (48/579) et à 6,1 % (35/574) chez les patients recevant respectivement 100 mg et 300 mg.
Dans le cadre d'un essai ouvert de 84 semaines où l'eptinézumab était administré à raison de 300 mg toutes les 12 semaines, des anticorps anti-eptinézumab se sont développés chez 18 % des patients (23/128), avec une incidence globale d'anticorps neutralisants de 7 % (9/128).
Bien que les résultats de ces études n'aient pas clairement démontré une influence des anticorps anti-eptinézumab, y compris des anticorps neutralisants, sur la sécurité et l'efficacité de Vyepti, les données disponibles sont trop restreintes pour en tirer des conclusions définitives.
L'annonce d'effets secondaires présumés après l'autorisation est d'une grande importance. Elle permet un suivi continu du rapport bénéfice-risque du médicament. Les professionnels de santé sont tenus de déclarer toute suspicion d'effet secondaire nouveau ou grave via le portail d'annonce en ligne ElViS (Electronic Vigilance System). Vous trouverez des informations à ce sujet sur www.swissmedic.ch.
SurdosageIl n'existe pas d'expérience de surdosage avec Vyepti. Chez l'humain, l'administration par voie intraveineuse de doses atteignant 1 000 mg n'a entraîné aucun problème de tolérance ou d'effets indésirables cliniquement important.
En cas de surdosage, le patient doit recevoir un traitement symptomatique et des mesures de soutien doivent être instaurés le cas échéant.
Propriétés/EffetsCode ATC
N02CD05
Mécanisme d'action
L'eptinézumab est un anticorps monoclonal humanisé de type immunoglobuline G1 (IgG1) qui se fixe sur les formes α et β du ligand CGRP (peptide relié au gène de la calcitonine) humain avec une affinité de l'ordre du bas picomolaire (Kd = 4 ou 3 pM respectivement), inhibant ainsi son activité biologique.
Des concentrations sanguines élevées de CGRP ont été associées aux crises de migraine. En outre, les perfusions de CGRP peuvent déclencher des crises migraineuses chez les patients avec des antécédents de migraine.
On ne connaît pas le mécanisme d'action précis de l'eptinézumab dans la prévention des crises de migraine. On pense que la prévention de la migraine passe entre autres par la modulation de la nociception dans le système trigéminal.
Pharmacodynamique
L'eptinézumab est hautement sélectif et ne se lie à aucun des neuropeptides apparentés, à savoir l'amyline, la calcitonine, l'adrénomédulline et l'intermédine.
Efficacité clinique
Vyepti a été évalué pour la prévention de la migraine dans le cadre de deux essais pivots avec placebo: PROMISE 1 a été réalisée chez des patients souffrant de migraine épisodique (n = 888) et PROMISE 2, chez des patients souffrant de migraine chronique (n = 1072). Dans l'étude PROMISE 1, la migraine épisodique était définie par ≤14 jours avec céphalée, dont 4 jours avec migraine pendant chaque période de 28 jours durant les 3 mois précédant la sélection. Dans l'étude PROMISE 2, la migraine chronique était définie par ≥15 à ≤26 jours avec céphalée, dont ≥8 jours avec migraine. Dans les deux études, Vyepti était administré par perfusion intraveineuse à intervalles de 12 semaines.
PROMISE 1: Migraine épisodique
PROMISE 1 était une étude internationale en double aveugle, contrôlée contre placebo, en groupes parallèles visant à évaluer l'efficacité et la sécurité de Vyepti dans le traitement préventif de la migraine épisodique chez l'adulte. Au total, 665 patients ont été randomisés et ont reçu un placebo (n = 222), 100 mg d'eptinézumab (n = 221), ou 300 mg d'eptinézumab (n = 222) toutes les 12 semaines pendant 48 semaines (4 perfusions). La migraine épisodique a été définie comme ≥4 et ≤14 jours de céphalées, dont au moins 4 jours de migraine dans chaque période de 28 jours devaient avoir lieu dans les 3 mois précédant le dépistage et ont été confirmés au cours de la période de référence. Les patients étaient autorisés à prendre des traitements concomitants pour le traitement ponctuel de la migraine ou des céphalées, y compris des antimigraineux spécifiques (p. ex., triptans ou dérivés de l'ergot de seigle) pendant l'étude. L'utilisation régulière (plus de 7 jours par mois) d'autres traitements préventifs de la migraine était interdite.
Le critère d'efficacité primaire était la variation du nombre de jours avec migraine par mois (JMM) – au cours des semaines 1 à 12 par rapport à l'inclusion. Les principaux critères secondaires comprenaient les taux de réponse de la migraine ≥50 % et ≥75 %, définis par la proportion de patients présentant une diminution des jours de migraine correspondant au moins à ce pourcentage au cours des semaines 1-12, et un taux de réponse de la migraine ≥75 % au cours des semaines 1 à 4 ainsi que le pourcentage de patients souffrant d'une migraine le jour suivant la première administration (jour 1).
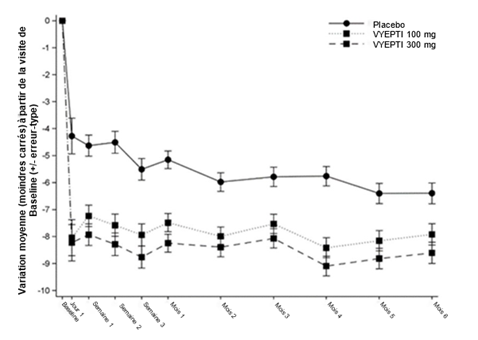
Les résultats obtenus toutes les 4 semaines au cours des semaines 1 à 48 après 4 perfusions trimestrielles de Vyepti sont représentés sous forme de variation moyenne du nombre de JMM à partir du début de l'étude (figure 1). Les deux groupes de patients (100 mg at 300 mg) ont montré du début de l'étude aux semaines 1-12 une amélioration statistiquement significative et cliniquement pertinente du nombre moyen de JMM par rapport au placebo. À toutes les visites, et jusqu'à la semaine 48, on a observé avec les deux posologies une diminution moyenne plus importante des JMM qu'avec le placebo.
Figure 1: Variation moyenne au cours de PROMISE 1 du nombre moyen de jours de migraine par mois par rapport aux valeurs de référence

Vyepti = eptinézumab
À chaque échéance, une ANCOVA, comprenant le traitement et l'utilisation d'un traitement prophylactique comme facteurs et le nombre de jours de migraine à l'inclusion comme covariable continue, a été utilisée pour estimer la variation moyenne par rapport à l'inclusion.
Le traitement par Vyepti a montré des améliorations statistiquement significatives et cliniquement pertinentes pour le critère principal d'efficacité et les principaux critères d'efficacité secondaires, qui sont résumées dans le tableau 1.
Tableau 1: Résultats obtenus pour le critère principal d'efficacité et les principaux critères d'efficacité secondaires dans l'étude PROMISE 1 (migraine épisodique)
VYEPTI 100 mgN=221 VYEPTI 300 mgN=222 PlaceboN=222
Jours avec migraine par mois
(JMM) – Semaines 1 à 12
Valeur de référence (baseline) 8,7 8,6 8,4
Variation moyenne -3,9 -4,3 -3,2
Différence par rapport au placebo -0,7 -1,1
IC95% (-1,3, -0,1) (-1,7, -0,5)
Valeur de p vs. placebo 0,0182 0,0001
Pourcentage de patients chez qui
le nombre de JMM a diminué de ≥75
% – Semaines 1 à 12
Répondeurs 22,2 % 29,7 % 16,2 %
Différence par rapport au placebo 6,0 % 13,5 %
Valeur de p vs. placebo 0,1126 0,0007
Pourcentage de patients chez qui
le nombre de JMM a diminué de ≥50
% – Semaines 1 à 12
Répondeurs 49,8 % 56,3 % 37,4 %
Différence par rapport au placebo 12,4 % 18,9 %
Valeur de p vs. placebo 0,0085 0,0001
PROMISE 2: Migraine chronique
PROMISE 2 était une étude internationale, en double aveugle contrôlée contre placebo, en groupes parallèles visant à évaluer l'efficacité et la sécurité de Vyepti pour le traitement préventif de la migraine chronique chez l'adulte. Au total, 1 072 patients ont été randomisés et ont reçu le placebo (n = 366), 100 mg d'eptinézumab (n = 356), ou 300 mg d'eptinézumab (n = 350) toutes les 12 semaines pendant 24 semaines (2 perfusions). La migraine chronique a été définie comme ≥15 à ≤26 jours de céphalées, dont ≥8 ont été évalués comme des jours de migraine au cours des 3 mois précédant le dépistage et confirmés au cours de la période de dépistage de 28 jours. Durant l'étude, les patients étaient autorisés à prendre des médicaments concomitants pour le traitement ponctuel ou préventif de la migraine ou des céphalées selon un schéma stable établi (à l'exception de l'onabotulinumtoxine A). Un total de 431 patients (40 %) avec le double diagnostic de migraine chronique et de céphalée par abus médicamenteux (abus de triptans, d'ergotamine, ou d'une association d'analgésiques > 10 jours/mois, ou de paracétamol, d'acide acétylsalicylique ou d'anti-inflammatoires non stéroïdiens ≥15 jours/mois) étaient inclus dans la population de l'étude. Les patients recevant des opioïdes ou des produits à base de butalbital > 4 jours/mois étaient exclus.
Le critère principal d'efficacité était la variation du nombre de JMM au cours des semaines 1 à 12 par rapport aux valeurs de référence. Les principaux critères secondaires comprenaient les taux de réponse de la migraine de ≥50 % et de ≥75 %, définis par la proportion de patients dont le nombre de JMM avait diminué d'au moins ce pourcentage au cours des semaines 1 à 12, un taux de réponse de la migraine ≥75 % au cours des semaines 1-4, le pourcentage de patients présentant une migraine le jour suivant de la première administration, l'évolution du score obtenu au questionnaire sur l'impact des maux de tête HIT-6 à la semaine 12 par rapport à la valeur à l'inclusion (dosage à 300 mg uniquement) et l'évolution du nombre mensuel de prises de traitement ponctuel par rapport à la valeur de référence, valeur moyenne au cours des semaines 1 à 12 (dosage à 300 mg uniquement). Concernant le HIT-6, il s'agit d'un questionnaire rempli par le patient lui-même pour évaluer l'impact des maux de tête sur l'état fonctionnel des patients atteints de migraine. L'interprétation de l'impact de la migraine sur la vie quotidienne en fonction du nombre de points est la suivante: 60–78 = impact majeur, 56–59 = impact important, 50–55 = impact modéré, 36–49 = impact faible à nul.
Les résultats mensuels obtenus au cours des semaines 1 à 24 après 2 perfusions trimestrielles de Vyepti sont représentés sous forme de variation du nombre moyen de JMM par rapport au début de l'étude (illustration 2). Les deux groupes de patients (100 mg at 300 mg) ont montré du début de l'étude aux semaines 1-12 une amélioration statistiquement significative et cliniquement pertinente du nombre moyen de JMM par rapport au placebo. À toutes les visites, et jusqu'à la semaine 24, on a observé avec les deux posologies une diminution moyenne plus importante des JMM qu'avec le placebo.
Figure 2: Variation moyenne au cours de PROMISE 2 du nombre moyen de jours de migraine par mois par rapport aux valeurs de référence

Vyepti = eptinézumab
À chaque échéance, une ANCOVA, comprenant le traitement et l'utilisation d'un traitement prophylactique comme facteurs et le nombre de jours de migraine à l'inclusion comme covariable continue, a été utilisée pour estimer la variation moyenne par rapport à la valeur initiale.
Le traitement par eptinézumab a montré des améliorations statistiquement significatives et cliniquement pertinentes pour les principaux critères d'efficacité, qui sont résumées dans le tableau 2.
Tableau 2: Résultats obtenus pour le critère principal d'efficacité et les principaux critères d'efficacité secondaires dans l'étude PROMISE 2 (migraine chronique)
VYEPTI 100 mgN=356 VYEPTI 300 mgN=350 PlaceboN=366
Jours avec migraine par mois
(JMM) – Semaines 1 à 12
Valeur de référence (baseline) 16,1 16,1 16,2
Variation moyenne -7,7 -8,2 -5,6
Différence par rapport au placebo -2,0 -2,6
IC95% (-2,9, -1,2) (-3,5, -1,7)
Valeur de p vs. placebo < 0,0001 < 0,0001
Pourcentage de patients chez qui
le nombre de JMM a diminué de ≥75
% – Semaines 1 à 12
Répondeurs 26,7 % 33,1 % 15,0 %
Différence par rapport au placebo 11,7 % 18,1 %
Valeur de p vs. placebo 0,0001 < 0,0001
Pourcentage de patients chez qui
le nombre de JMM a diminué de ≥50
% – Semaines 1 à 12
Répondeurs 57,6 % 61,4 % 39,3 %
Différence par rapport au placebo 18,2 % 22,1 %
Valeur de p vs. placebo < 0,0001 < 0,0001
Score HIT-6 - Semaine 12b
Valeur de référence (baseline) 65,0 65,1 64,8
Variation moyenne -6,2 -7,3 -4,5
Différence par rapport au placebo -1,7 -2,9
IC95% (-2,8, -0,7) (-3,9, -1,8)
Valeur de p vs. placebo 0,0010 < 0,0001
Nombre de jours par mois avec
utilisation d'un traitement
ponctuel - Semaine 1–12a,b
Valeur de référence (baseline) 6,6 6,7 6,2
Variation moyenne -3,3 -3,5 -1,9
Différence par rapport au placebo -1,2 -1,4
IC95% (-1,7, -0,7) (-1,9, -0,9)
Valeur de p vs. placebo < 0,0001 < 0,0001
a Valeur de référence calculée pendant la période de sélection de 28 jours précédant le début du traitement.
b Le critère de jugement pour la dose de 100 mg n'était pas un critère secondaire majeur prédéfini.
Les patients présentant une céphalée par abus médicamenteux (CAM) qui ne prenaient pas des opioïdes ou du butalbital plus de 4 jours par mois ont été inclus dans l'étude PROMISE 2: au début de l'étude, 40,2 % des patients présentaient une CAM. Chez les patients souffrant de migraine chronique avec ou sans CAM, des diminutions comparables des JMM ont été observées (valeur moyenne pour les semaines 1-12). La variation moyenne des JMM (semaines 1–12) par rapport au début de l'étude étaient chez les patients avec CAM de -8,6 à la dose de 300 mg , -8,4 à 100 mg et de -5,4 avec le placebo, et chez les patients sans CAM de -8,1 à 300 mg, -7,4 à 100 mg et -6,1 avec le placebo. La différence moyenne de la variation des JMM (semaines 1–12) par rapport au placebo pour les patients avec CAM à 100 mg était de -3,0 (-4,56; -1,52) et à 300 mg de -3,2 (IC à 95 %: -4,66; -1,78) et pour les patients sans CAM à 100 mg -1,5 à 100 mg (-2,70; -0,31) et à 300 mg (-3,59; -1,12).
PREVAIL: Étude à long terme
Dans une étude en ouvert, des patients souffrant de migraine chronique ont reçu par perfusion en IV 300 mg de Vyepti toutes les 12 semaines pendant une durée allant jusqu'à deux ans, avec pour principal objectif de clarifier la sécurité à long terme de Vyepti après des doses répétées.
Les objectifs secondaires comprenaient la caractérisation de la pharmacocinétique et des profils d'immunogénicité de Vyepti ( "Effets indésirables" ), ainsi que l'évaluation de l'effet thérapeutique de Vyepti sur divers résultats rapportés par les patients en rapport avec la migraine et la qualité de vie associée à la santé, y compris le test sur l'impact des maux de tête (HIT-6). Les patients étaient âgés en moyenne de 41,5 ans (intervalle: 18 à 65 ans), 85 % étaient de sexe féminin et 95 % étaient des caucasiens. 36 % des patients prenaient un traitement concomitant en prévention de la migraine. Le nombre moyen de jours de migraine dans la période des 28 jours au cours des 3 mois précédant la visite de sélection était de 14,1. 128 patients ont été inclus dans cette étude et traités. Au total, 100 patients (78,1 %) ont terminé l'étude (semaine 104). Globalement, les résultats de cette étude clinique en ouvert ont démontré que le traitement préventif de la migraine par perfusion en IV de 300 mg de Vyepti toutes les 12 semaines s'accompagnait d'un effet thérapeutique durable et cliniquement pertinent, qui se traduisait au cours d'un traitement de deux ans chez les adultes souffrant de migraine chronique par la diminution de l'impact de la migraine sur leur vie, d'une amélioration de la mesure de la qualité de vie associée à la santé et une amélioration générale sur l'échelle de l'impression clinique globale de changement (PGIC) concernant la migraine. Le profil de sécurité était conforme à celui observé dans les essais sur Vyepti randomisés contrôlés par placebo.
PharmacocinétiqueAbsorption
Vyepti est administré par perfusion intraveineuse. Cela permet d'éviter l'absorption extravasculaire et de rendre Vyepti 100 % biodisponible. Le délai moyen d'obtention de la concentration maximale se trouve à la fin de la perfusion (après 30 minutes). Avec un schéma posologique d'une dose toutes les 12 heures, l'état d'équilibre est atteint dès après la première dose. Le taux d'accumulation moyen fondé sur la Cmax et sur l'ASC0-Tau s'élevait respectivement à 1,08 et à 1,15. L'exposition augmente proportionnellement aux doses de 100 à 300 mg.
Distribution
Lors d'analyses pharmacocinétiques de population, le volume central de distribution (Vc) pour l'eptinézumab était d'environ 3,7 litres.
Métabolisme
L'eptinézumab est théoriquement dégradé en petits peptides et en acides aminés par des enzymes protéolytiques.
Élimination
Lors d'analyses pharmacocinétiques de population, la clairance apparente de l'eptinézumab et sa demi-vie d'élimination terminale ont été évaluées respectivement à 0,15 L/jour et d'environ 27 jours.
Cinétique pour certains groupes de patients
Influence de l'âge, du sexe, du groupe ethnique ou du poids corporel
Lors d'une analyse pharmacocinétique de population incluant 2 123 participants, les effets de l'âge, du sexe, du groupe ethnique ou du poids corporel sur la pharmacocinétique de l'eptinézumab ont été étudiés. Chez un participant avec un poids corporel de 190 kg, l'exposition à l'état d'état d'équilibre était jusqu'à 52 % plus faible que chez un participant de 70 kg, alors que chez un participant de 39 kg, elle était de 50 % supérieure. L'étude de la relation dose-effet a cependant montré que le poids corporel n'avait pas d'incidence sur le résultat clinique. Aucun ajustement de la dose n'est donc nécessaire en fonction du poids corporel.
L'âge, le sexe ou l'origine ethnique ne nécessitent pas non plus d'ajustement de la dose.
Troubles de la fonction hépatique ou rénale
Aucune étude spécifique n'a été menées pour évaluer les effets de l'insuffisance hépatique ou rénale sur la pharmacocinétique de l'eptinézumab. Une analyse pharmacocinétique de population à partir des données intégrées des études cliniques sur Vyepti n'a pas montré chez les patients présentant une insuffisance hépatique ou rénale légère à modérée de différence nécessitant une adaptation de la posologie. Les patients présentant une insuffisance rénale ou hépatique sévère n'ont pas été étudiés.
Données précliniquesLes données précliniques issues des études conventionnelles sur la pharmacologie de sécurité, la toxicité en administration répétée, toxicité juvénile et la toxicité pour la reproduction et le développement n'ont pas révélé de risque particulier pour l'homme.
Pharmacologie de sécurité et toxicologie générale
La pharmacologie de sécurité et les études de toxicité générale après administration intraveineuse (IV) d'eptinézumab une fois toutes les deux semaines pendant 6 mois à des singes cynomolgus ont démontré que la DSENO (dose sans effet nocif observable) correspondait à la dose testée la plus élevée (150 mg/kg/dose). L'exposition plasmatique totale estimée des animaux (ASC) sur 3 mois à cette dose était d'environ 123 fois l'ASC clinique de la dose la plus élevée (300 mg) pour l'administration toutes les 12 semaines par perfusion intraveineuse. L'exposition plasmatique maximale des animaux (Cmax) était d'env. 103 fois celle de la Cmax clinique à la dose de 300 mg.
Génotoxicité
Puisqu'il est peu probable que l'eptinézumab interagisse directement avec l'ADN ou d'autres matériels chromosomiques, les évaluations de la génotoxicité potentielle n'ont pas été réalisées.
Carcinogénicité
Il n'y a pas eu d'études sur l'évaluation du risque de carcinogénicité associé à l'eptinézumab. Une revue complète de la littérature sur l'inhibition du CGRP n'a identifié aucun risque de cancérogénèse et aucun cas de prolifération lié à l'eptinézumab n'a été observé dans les études à long terme chez le singe.
Toxicité sur la reproduction
Des doses de 0, 75 ou 150 mg/kg d'eptinézumab dispensées en intraveineuse une fois par semaine n'ont montré aucun effet toxique sur la fertilité masculine ou féminine (chez le rat), le développement embryofœtal (chez le rat et le lapin), la survie postnatale, la croissance ou le développement pendant ou après l'allaitement, y compris sur le comportement et la fertilité (chez le rat).
Dans toutes les études, la DSENO correspondait à la dose testée la plus élevée (150 mg/kg) qui, rapportée au poids corporel, représente 30 fois la dose maximale recommandée pour l'homme.
Analyses de toxicité chez des animaux juvéniles
L'injection d'eptinézumab une fois par semaine (50 ou 150 mg/kg) en intraveineuse à des rats juvéniles du jour 28 au jour 91 postpartum n'a montré aucun effet toxique sur leur développement.
Remarques particulièresIncompatibilités
En l'absence d'étude de compatibilité, aucun autre médicament ne doit être administré par le même dispositif de perfusion ou mélangé à Vyepti (excepté la solution de chlorure de sodium à 0,9 % en poche de chlorure de polyvinyle ou de polyéthylène mentionnée à la rubrique "Remarques concernant la manipulation" ).
Stabilité
Le médicament ne doit pas être utilisé au-delà de la date figurant après la mention "EXP" sur l'emballage.
Stabilité après ouverture
La préparation pour perfusion diluée ne se conserve pas; elle est destinée à un usage unique.
Sa stabilité chimique et physique "in use" a été démontrée pendant 8 heures à température ambiante (15-25°C) ou au réfrigérateur (2 – 8°C).
Pour des raisons microbiologiques, la préparation reconstituée doit être utilisée immédiatement après ouverture, sauf si la dilution/reconstitution se déroule dans des conditions aseptiques contrôlées et validées.
Si la solution n'est pas utilisée immédiatement, le délai d'utilisation et les conditions de stockage relèvent de la responsabilité de l'utilisateur.
Après dilution, la solution de Vyepti prête à l'emploi (Vyepti et chlorure de sodium à 0,9 % pour injection) doit être perfusée dans un délai de 8 heures.
Remarques particulières concernant le stockage
Conserver hors de portée des enfants.
Conserver au réfrigérateur (2-8°C) dans l'emballage d'origine et à l'abri de la lumière. Ne pas congeler et secouer.
Remarques concernant la manipulation
Avant administration, Vyepti doit être dilué avec une solution de chlorure de sodium à 0,9 % dans une poche en chlorure de polyvinyle ou en polyéthylène. La solution diluée doit être reconstituée par un professionnel de la santé qui appliquera une technique aseptique afin de s'assurer de la stérilité de la solution préparée.
Vyepti (solution dans les flacons) doit être inspecté visuellement avant sa dilution; ne pas utiliser si le concentré contient des particules visibles ou si elle est trouble ou si sa couleur est altérée (sauf si elle est claire à légèrement opalescente, incolore à jaune brunâtre).
Tant pour la dose de 100 mg que celle de 300 mg, la solution de Vyepti pour perfusion se prépare à l'aide d'une poche (en chlorure de polyvinyle ou polyéthylène) de 100 ml de chlorure de sodium à 0,9 % pour injection, comme décrit ci-après.
Retourner délicatement la poche pour bien mélanger la solution. Ne pas agiter.
Si la solution est stockée à une température de 2- 8 °C, la laisser revenir à la température ambiante avant de la perfuser.
Dose de Vyepti 100 mg:
Pour préparer la solution, prélever 1,0 mL de Vyepti dans le flacon à l'aide d'une aiguille et d'une seringue stériles. Injecter le contenu de 1,0 mL (100 mg) dans une poche (en chlorure de polyvinyle ou polyéthylène) de 100 mL de chlorure de sodium à 0,9 % pour injection.
Dose de Vyepti 300 mg:
Pour préparer la solution, prélever à chaque fois 1,0 mL de Vyepti dans 3 flacons différents à l'aide d'une aiguille et d'une seringue stériles. Injecter les 3,0 mL prélevés (300 mg) dans une poche (en chlorure de polyvinyle ou polyéthylène) de 100 mL de chlorure de sodium à 0,9 % pour injection.
Après avoir dilué de la manière indiquée le contenu du ou des flacons à raison de 100 mg ou de 300 mg dans une poche (en chlorure de polyvinyle ou polyéthylène) de 100 mL de chlorure de sodium à 0,9 % pour injection, perfuser Vyepti sur une période d'environ 30 minutes. Le dispositif de perfusion intraveineuse doit être muni d'un filtre en ligne ou complémentaire de 0,2 ou 0,22 μm. Une fois la perfusion terminée, rincer la tubulure avec 20 mL de chlorure de sodium à 0,9 % pour injection.
Ne pas injecter Vyepti en bolus.
Numéro d’autorisation67995 (Swissmedic)
PrésentationSolution à diluer pour perfusion (100 mg/mL): flacon de 1 mL. (B)
Titulaire de l’autorisationLundbeck (Schweiz) AG, Opfikon.
Mise à jour de l’informationOctobre 2022
23012023FI
|