CompositionPrincipes actifs
Lumasiran (sous forme de lumasiran sodique).
Excipients
Hydroxyde de sodium (E524), acide phosphorique 85% (E338), eau pour préparations injectables. Contient 5,5 mg de sodium dans 0,5 ml.
Forme pharmaceutique et quantité de principe actif par unitéSolution injectable, sous-cutanée.
Solution limpide, incolore à jaune (pH d’environ 7; osmolalité: 240 à 360 mOsmol/kg).
Chaque ml de solution contient du lumasiran sodique équivalant à 189 mg de lumasiran.
Chaque flacon contient 94,5 mg de lumasiran dans 0,5 ml.
Indications/Possibilités d’emploiOxlumo est indiqué dans le traitement de l’hyperoxalurie primitive de type 1 (HP1) dans tous les groupes d’âge.
Posologie/Mode d’emploiLe traitement doit être instauré et supervisé par un médecin expérimenté dans la prise en charge de l’hyperoxalurie.
Posologie
Oxlumo est administré par injection sous-cutanée. La dose recommandée d’Oxlumo consiste en 3 doses d’attaque administrées une fois par mois suivies de doses d’entretien, commençant un mois après la dernière dose d’attaque, comme indiqué dans le tableau 1. La posologie est calculée d’après le poids corporel.
La dose (en mg) et le volume (en ml) administrés au patient doivent être calculés comme suit:
poids corporel du patient (kg) × dose (mg/kg) = quantité totale (mg) du médicament à administrer.
Quantité totale (mg) divisée par la concentration (189 mg/ml) = volume total du médicament (ml) à injecter.
Tableau 1: schéma posologique d’Oxlumo basé sur le poids
Poids corporel Dose d’attaque Dose d’entretien (commençant un mois après la dernière
dose d’attaque)
Moins de 10 kg 6 mg/kg une fois 3 mg/kg une fois par mois, commençant un mois après la
par mois pour 3 dernière dose d’attaque
doses
10 kg à moins de 20 6 mg/kg une fois 6 mg/kg une fois tous les 3 mois (administration
kg par mois pour 3 trimestrielle), commençant un mois après la dernière
doses dose d’attaque
20 kg et plus 3 mg/kg une fois 3 mg/kg une fois tous les 3 mois (administration
par mois pour 3 trimestrielle), commençant un mois après la dernière
doses dose d’attaque
Patients sous hémodialyse
En cas d’administration d’Oxlumo les jours de dialyse, l’administrer après l’hémodialyse.
Patients présentant des troubles de la fonction hépatique
Oxlumo n’a pas été étudié chez des patients présentant une insuffisance hépatique. Aucune adaptation posologique n’est nécessaire pour les patients présentant une hausse passagère de la bilirubine totale (bilirubine totale > 1 à 1,5 × LSN). La prudence s’impose dans le traitement des patients présentant une insuffisance hépatique modérée ou sévère (voir "Mises en garde et précautions" et "Pharmacocinétique" ).
Patients présentant des troubles de la fonction rénale
Aucune adaptation posologique n’est nécessaire pour les patients présentant une insuffisance rénale (débit de filtration glomérulaire estimé [DFGe] < 90 ml/min/1,73 m²), y compris une insuffisance rénale terminale (IRT), ou étant sous dialyse. Des données limitées sont disponibles chez les patients présentant une IRT et étant sous dialyse, et ces patients doivent être traités avec prudence (voir "Mises en garde et précautions" et "Pharmacocinétique" ).
Patients âgés
Aucune adaptation posologique n’est nécessaire pour les patients ≥ 65 ans (voir "Pharmacocinétique" ).
Enfants et adolescents
Chez les patients âgés de moins de 1 an, les données disponibles sont limitées. Ces patients doivent donc être traités avec prudence (voir "Pharmacocinétique" ).
Prise retardée
En cas de retard ou d’oubli d’une dose, le traitement doit être administré dès que possible. L’administration de la dose mensuelle ou trimestrielle prescrite doit reprendre à partir de la dose la plus récente.
Mode d’administration
Voie sous-cutanée uniquement.
Ce médicament est fourni sous forme de solution prête à l’emploi dans un flacon à usage unique.
-Le volume requis d’Oxlumo doit être calculé d’après la dose recommandée en fonction du poids, comme indiqué dans le tableau 1.
-Si la dose est supérieure à 0,5 ml (94,5 mg), plusieurs flacons sont nécessaires.
-Le volume maximal acceptable pour une injection unique est de 1,5 ml. Les doses nécessitant plus de 1,5 ml doivent être administrées par injections multiples (dose totale répartie à volume égal entre les seringues, chaque injection contenant à peu près le même volume) afin de minimiser la gêne potentielle au niveau du site d’injection due au volume d’injection.
-Vérifier qu’il n’y a pas de médicament sur l’embout de l’aiguille avant de l’introduire dans l’espace sous-cutané.
-Ce médicament doit être injecté par voie sous-cutanée dans l’abdomen, le haut du bras ou la cuisse.
-Pour les injections ou les doses suivantes, il est recommandé de changer de site d’injection.
-Ce médicament ne doit pas être injecté dans les tissus cicatriciels ou les zones cutanées rougies, enflammées ou enflées.
Oxlumo doit être administré par un professionnel de santé. Pour les instructions concernant la préparation du médicament avant administration, voir "Remarques concernant la manipulation" .
Contre-indicationsHypersensibilité sévère à la substance active ou à l’un des excipients mentionnés sous "Composition" .
Mises en garde et précautionsInsuffisance rénale sévère ou terminale
Le traitement par lumasiran augmente les taux plasmatiques de glycolate, ce qui peut augmenter le risque d’acidose métabolique ou d’aggravation d’une acidose métabolique préexistante chez les patients présentant une maladie rénale sévère ou terminale. Ces patients doivent donc être surveillés en vue de détecter tout signe ou symptôme d’acidose métabolique.
Insuffisance hépatique modérée ou sévère
Chez les patients présentant une insuffisance hépatique modérée ou sévère, il existe un risque de diminution de l’efficacité. Par conséquent, l’efficacité doit être surveillée chez ces patients (voir "Pharmacocinétique" ).
Excipient à effet notoire
Sodium
Ce médicament contient moins de 1 mmol (23 mg) de sodium par ml, c.-à-d. qu’il est essentiellement "sans sodium" .
InteractionsAucune étude clinique d’interaction n’a été réalisée sur les interactions médicamenteuses (voir "Pharmacocinétique" ).
Des études in vitro indiquent que le lumasiran n’est ni un substrat ni un inhibiteur des enzymes du cytochrome P450 (CYP). Le lumasiran ne devrait pas inhiber ou induire les enzymes du CYP ni moduler les activités des transporteurs de médicament.
Administration concomitante avec la pyridoxine
L’administration concomitante de pyridoxine n’a pas eu d’influence significative sur la pharmacodynamique ou la pharmacocinétique du lumasiran.
Grossesse, AllaitementGrossesse
Il n’existe pas de données sur l’utilisation du lumasiran chez la femme enceinte. Les études effectuées chez l’animal n’ont pas mis en évidence d’effets délétères directs ou indirects sur la reproduction (voir "Données précliniques" ). L’utilisation d’Oxlumo peut être envisagée pendant la grossesse en tenant compte des bénéfices escomptés pour la santé de la femme et des risques potentiels pour le fœtus.
Allaitement
On ne sait pas si le lumasiran/ses métabolites sont excrétés dans le lait maternel. Un risque pour les nouveau-nés/nourrissons ne peut être exclu. Une décision doit être prise soit d’interrompre l’allaitement soit d’interrompre/de s’abstenir du traitement avec Oxlumo en prenant en compte le bénéfice de l’allaitement pour l’enfant au regard du bénéfice du traitement pour la femme.
Fertilité
Il n’existe pas de données concernant les effets du lumasiran sur la fertilité humaine. Aucun impact sur la fertilité mâle ou femelle n’a été détecté dans les études effectuées chez l’animal (voir "Données précliniques" ).
Effet sur l’aptitude à la conduite et l’utilisation de machinesOxlumo n’a aucune influence ou une influence négligeable sur l’aptitude à la conduite ou l’utilisation de machines.
Effets indésirablesRésumé du profil de sécurité
Les effets indésirables les plus fréquemment rapportés étaient une réaction au site d’injection (35%) et des douleurs abdominales (16%).
Liste des effets indésirables
Les effets indésirables associés au lumasiran rapportés dans les études cliniques et dans le cadre de notifications spontanées sont présentés dans le tableau ci-dessous. Les effets indésirables sont rangés par classe de système d’organes de la classification MedDRA et par fréquence selon la convention suivante: "très fréquents" (≥1/10); "fréquents" (≥1/100, <1/10); "occasionnels" (≥1/1000, <1/100); "rares" (≥1/10 000, <1/1000); "très rares" (<1/10 000), fréquence indéterminée (ne peut être estimée sur la base des données disponibles).
Tableau 2: effets indésirables
Classe de systèmes d’organes Effet indésirable Fréquence
Affections du système immunitaire Hypersensibilitéa Fréquence indétermin
ée
Affections gastro-intestinales Douleurs abdominalesb Très fréquents
Troubles généraux et anomalies au site Réaction au site Très fréquents
d’administration d’injectionc
a Effet indésirable rapporté depuis la commercialisation.
b Inclut douleur abdominale, douleurs abdominales haute, douleur abdominale basse, gêne abdominale et sensibilité abdominale.
c Inclut réaction au site d’injection, érythème au site d’injection, douleur au site d’injection, prurit au site d’injection, gonflement au site d’injection, gêne au site d’injection, altération de la couleur au site d’injection, masse au site d’injection, induration au site d’injection, rash au site d’injection, contusion au site d’injection, hématomes au site d’injection et exfoliation au site d’injection.
Description d’effets indésirables spécifiques et informations complémentaires
Réactions au site d’injection
Dans les études cliniques contrôlées contre placebo et menées en ouvert, des réactions au site d’injection ont été rapportées chez 34 patients sur 98 (34,7%). Les symptômes les plus fréquemment rapportés incluaient l’érythème, la tuméfaction, la douleur, l’hématome, le prurit et une coloration anormale. La majorité des réactions au site d’injection a débuté le jour de l’administration, < 2 % des réactions au site d’injection survenant au moins 5 jours après l’administration. Les réactions au site d’injection étaient généralement légères, réversibles en deux jours, et n’ont entraîné aucune interruption ou suspension du traitement.
Douleurs abdominales
Dans l’étude contrôlée contre placebo, des douleurs abdominales ont été rapportées chez 1 patient sur 13 (7,7%) sous placebo et 4 patients sur 26 (15,4%) sous lumasiran. Dans les études contrôlées contre placebo et menées en ouvert, 16 patients sur 98 (16,3%) ont rapporté des douleurs abdominales, dont une douleur abdominale haute ou basse, une gêne abdominale ou une sensibilité abdominale. La plupart des cas étaient bénins, passagers et réversibles sans traitement. Aucun n’a nécessité l’interruption du traitement.
Sécurité à long terme
Le profil de sécurité du lumasiran dans les périodes d’extension en ouvert des études ILLUMINATE-A et ILLUMINATE-B (durée médiane de traitement de 55,0 mois et 55,5 mois respectivement) concordait avec le profil de sécurité connu du lumasiran.
Population pédiatrique
Le profil de sécurité du lumasiran était similaire chez les patients pédiatriques (âgés de 4 mois à 17 ans) et les patients adultes atteints de HP1.
L’annonce d’effets secondaires présumés après l’autorisation est d’une grande importance. Elle permet un suivi continu du rapport bénéfice-risque du médicament. Les professionnels de santé sont tenus de déclarer toute suspicion d’effet secondaire nouveau ou grave via le portail d’annonce en ligne ElViS (Electronic Vigilance System). Vous trouverez des informations à ce sujet sur www.swissmedic.ch.
SurdosageEn cas de surdosage, il est recommandé de surveiller le patient selon les indications médicales afin de déceler tout signe ou symptôme d’effets indésirables et d’instaurer le cas échéant un traitement symptomatique approprié.
Propriétés/EffetsCode ATC
A16AX18
Mécanisme d’action
Le lumasiran est un petit acide ribonucléique interférent (pARNi) double brin qui réduit les niveaux de l’enzyme glycolate oxydase (GO) en ciblant l’acide ribonucléique messager (ARNm) du gène de l’hydroxyacide oxydase 1 (HAO1) dans les hépatocytes par interférence ARN. La diminution des taux de l’enzyme GO réduit la quantité de glyoxylate disponible, un substrat pour la production d’oxalate. Cela entraîne une réduction des taux (élevés) d’oxalate urinaires et plasmatiques, la cause sous-jacente des manifestations de la maladie chez les patients atteints de HP1. L’enzyme GO étant en amont de l’enzyme déficiente alanine glyoxylate aminotransférase (AGT) à l’origine de la HP1, le mécanisme d’action du lumasiran est indépendant de la mutation du gène AGXT sous-jacente.
Immunogénicité
Chez les patients atteints de HP1 et les volontaires sains ayant reçu Oxlumo dans les études cliniques, 7 sujets sur 120 (5,8%) ont été testés positifs aux anticorps anti-médicament (AAM). Les titres d’AAM étaient bas et généralement passagers, sans impact sur les profils d’efficacité, de sécurité, pharmacocinétique ou pharmacodynamique du médicament.
Pharmacodynamique
Sans objet.
Efficacité clinique
L’efficacité du lumasiran a été étudiée dans une étude clinique randomisée, contrôlée contre placebo, menée en double aveugle chez des patients de 6 ans et plus atteints de HP1 (ILLUMINATE-A), dans une étude clinique à bras unique chez des patients de moins de 6 ans atteints de HP1 (ILLUMINATE-B) et dans une étude clinique à bras unique chez des patients pédiatriques et adultes atteints de HP1 présentant une maladie rénale de stade avancé, y compris des patients sous hémodialyse (ILLUMINATE-C).
ILLUMINATE-A
En tout, 39 patients atteints de HP1 ont été randomisés selon un rapport 2:1 pour recevoir des doses sous-cutanées de lumasiran ou de placebo pendant la période contrôlée contre placebo en double aveugle de 6 mois. Des patients de 6 ans et plus avec un DFGe ³ 30 ml/min/1,73 m2 ont été inclus et ont reçu 3 doses d’attaque de 3 mg/kg de lumasiran ou de placebo administrées une fois par mois, suivies de doses d’entretien trimestrielles de 3 mg/kg de lumasiran ou de placebo (voir "Posologie/Mode d’emploi" ). Après la période de traitement en double aveugle de 6 mois, les patients, y compris ceux initialement affectés au groupe placebo, sont entrés dans une période d’extension avec l’administration de lumasiran pendant une durée allant jusqu’à 54 mois. L’exposition totale au lumasiran était de 165,7 patientannées.
Pendant la période contrôlée contre placebo en double aveugle de 6 mois, 26 patients ont reçu le lumasiran et 13 le placebo. L’âge médian des patients à la première dose était de 14,9 ans (6,1 à 61 ans); 66,7% étaient de sexe masculin et 76,9% étaient d’origine caucasienne. L’excrétion urinaire médiane sur 24 heures de l’oxalate corrigée en fonction de la surface corporelle (SC) à l’inclusion était de 1,72 mmol/24 h/1,73 m2, le ratio médian oxalate urinaire/créatinine urinaire à l’inclusion était de 0,21 mmol/mmol et le niveau médian d’oxalate plasmatique à l’inclusion était de 13,1 µmol/l. Dans l’ensemble, 33,3% des patients avaient une fonction rénale normale (DFGe ³ 90 ml/min/1,73 m2), 48,7% présentaient une insuffisance rénale légère (DFGe de 60 à < 90 ml/min/1,73 m2) et 18% présentaient une insuffisance rénale modérée (DFGe de 30 à < 60 ml/min/1,73 m2). Parmi les patients inclus dans l’étude, 84,6% ont rapporté des antécédents de calculs rénaux symptomatiques et 53,8% ont rapporté des antécédents de néphrocalcinose à l’inclusion. Les bras de traitement étaient équilibrés à l’inclusion en termes d’âge, de niveau d’oxalate urinaire et de DFGe.
Le critère d’évaluation principal était le pourcentage de réduction par rapport à l’inclusion de l’excrétion urinaire d’oxalate sur 24 heures corrigée en fonction de la SC et moyennée sur les mois 3 à 6. Le lumasiran était associé à une réduction statistiquement significative de 65,4% de l’oxalate urinaire sur 24 heures corrigé en fonction de la SC, contre 11,8% dans le groupe placebo, ce qui correspond à une différence de 53,5% (IC à 95%: 44,8 – 62,3; p < 0,0001). Conformément au critère d’évaluation principal, une réduction de 60,5% du ratio oxalate urinaire/créatinine urinaire a été observée à 6 mois dans le bras lumasiran, contre une augmentation de 8,5% dans le bras placebo. En outre, les patients traités par lumasiran présentaient une réduction rapide et durable de l’oxalate urinaire sur 24 heures corrigé en fonction de la SC, comme indiqué dans la figure 1.
Figure 1: ILLUMINATE-A: variation relative par rapport à l’inclusion de l’oxalate urinaire sur 24 heures corrigé en fonction de la SC par mois (période en double aveugle contrôlée contre placebo de 6 mois)

Abréviations: BL = inclusion (baseline); M = mois; ESM = erreur standard de la moyenne.
Les résultats sont représentés sous forme de moyenne (± ESM) de la variation relative par rapport à l’inclusion.
À 6 mois, une proportion plus élevée de patients traités par lumasiran présentait des niveaux normaux ou quasi normaux d’oxalate urinaire sur 24 heures corrigés en fonction de la SC (£ 1,5 × LSN) par rapport aux patients sous placebo, comme indiqué dans le tableau 3.
Tableau 3: ILLUMINATE-A: résultats des critères d’évaluation secondaires sur la période contrôlée de 6 mois, contre placebo, menée en double aveugle
Critères d’évaluatio Lumasiran (N = 26) Placebo (N = 13) Différence thérapeut Valeur de p
n ique (IC à 95%)
Proportion de 0,52 (0,31; 0,71)§ 0 (0; 0,25)§ 0,52 (0,23; 0,70)¶ 0,001#
patients avec des
niveaux d’oxalate
urinaire sur 24
heures ≤ LSN‡
Proportion de 0,84 (0,64; 0,95)§ 0 (0; 0,25)§ 0,84 (0,55; 0,94)¶ 0,0001#
patients avec des
niveaux d’oxalate
urinaire sur 24
heures ≤ 1,5 × LSN‡
Pourcentage de 39,8 (2,9)† 0,3 (4,3)† 39,5 (28,9; 50,1) < 0,0001
réduction de l’oxala
te plasmatique par
rapport à l’inclusio
n*Þ
Abréviations: LSN = limite supérieure de la normale (Upper Limit of Normal), ESM = erreur standard de la moyenne
Les résultats se basent sur le dosage par chromatographie liquide couplée à la spectrométrie de masse en tandem (LC-MS/MS).
* Estimation basée sur la moyenne de la moyenne des moindres carrés du pourcentage de réduction à 3, 4, 5 et 6 mois à l’aide d’un modèle mixte pour mesures répétées.
† Moyenne des MC (ESM).
‡ LSN = 0,514 mmol/24 h/1,73 m² pour l’oxalate urinaire sur 24 heures corrigé en fonction de la SC.
§ IC à 95 % basé sur l’intervalle de confiance de Clopper Pearson Exact.
¶ Calculé à l’aide de la méthode de Newcombe basée sur le score Wilson.
# La valeur de p repose sur le test de Cochran–Mantel–Haenszel stratifié selon l’oxalate urinaire sur 24 heures corrigé en fonction de la SC (£ 1,70 vs > 1,70 mmol/24 h/1,73 m2).
Þ Analysé chez 23 patients sous lumasiran et 10 patients sous placebo qui présentaient des niveaux initiaux permettant une réduction.
La réduction de l’oxalate urinaire sur 24 heures corrigé en fonction de la SC par rapport à l’inclusion chez les patients atteints de HP1 sous lumasiran et sous placebo était comparable dans tous les sous-groupes pré-spécifiés, notamment pour l’âge, le sexe, la race, l’insuffisance rénale, la prise de pyridoxine (vitamine B6) à l’inclusion et les antécédents de calculs rénaux symptomatiques (figure 2).
Figure 2: ILLUMINATE-A: variation relative par rapport à l’inclusion de l’oxalate urinaire sur 24 heures corrigé en fonction de la SC, analyse de sous-groupe

Les niveaux réduits d’oxalate observés pendant la période en double aveugle ont été maintenues avec la poursuite du traitement par lumasiran pendant une durée allant jusqu’à 60 mois dans la période d’extension de l’étude. Le DFGe, les événements de calculs rénaux (rapportés en événements par personne-année) et la néphrocalcinose médullaire ont été évalués au cours des périodes en double aveugle de 6 mois et d’extension pendant un total allant jusqu’à 60 mois.
Le DFGe est resté stable chez les patients sous lumasiran. La variation annuelle moyenne au cours du traitement par lumasiran pendant une durée allant jusqu’à 60 mois par rapport à la valeur initiale était de 0,63 ml/min/1,73 m² par an.
Les taux d’événements de calculs rénaux par personne-année rapportés chez les patients randomisés pour recevoir le lumasiran ou le placebo dans l’étude ILLUMINATE-A sont présentés dans le Tableau 4.
Tableau 4 : ILLUMINATE-A : taux d’événements de calculs rénaux par personne-année rapportés dans les groupes lumasiran et placebo
Période Lumasiran Taux (IC à 95 %) Placebo Taux (IC à 95 %)
1 Période de 12 mois précédant le consentement 3,19 (2,57 – 3,96) 0,54 (0,26 – 1,13)
Période de 6 mois en double aveugles 1,09 (0,63 – 1,88) 0,66 (0,25 – 1,76)
Pendant le traitement par lumasiran pendant une durée allant jusqu’à 60 mois dans la période d’extension en ouvert, le taux d’événements de calculs rénaux était de 0,49 par personneannée et 53,8 % des patients n’ont pas présenté d’événements de calculs rénaux.
Les résultats de la néphrocalcinose médullaire, évalués par échographie rénale, au mois 6 par rapport à l’inclusion sont présentés dans le Tableau 5.
Tableau 5 : ILLUMINATE-A : patients atteints de néphrocalcinose médullaire au mois 6 de la période en double aveugle contrôlée contre placebo par rapport à l’inclusion*
Échéance Traitement (n) Amélioration Aucun changement Aggravation
Mois 6 Lumasiran (N = 22) 3 19 0
Placebo (N = 12) 0 11 1
* Les patients ayant subi des échographies rénales à l’inclusion et à l’échéance pertinente ont été évalués.
La néphrocalcinose médullaire n’a été évaluée que chez une partie de la population de l’étude (évaluée chez 17 des 26 patients sous lumasiran/lumasiran et 6 des 13 patients sous placebo/lumasiran à l’inclusion et à la fin de la période d’extension de 54 mois). Dans ce sousgroupe, une tendance générale à une amélioration au cours du temps a été démontrée.
ILLUMINATE-B
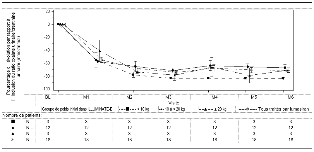
En tout, 18 patients ont été inclus et traités avec du lumasiran dans une étude multicentrique en cours à bras unique menée chez des patients atteints de HP1 (ILLUMINATE-B). L’étude incluait des patients de moins de 6 ans avec un DFGe > 45 ml/min/1,73 m2 pour les patients de 12 mois et plus, et une créatininémie normale chez les patients de moins de 12 mois. Dans l’analyse primaire sur 6 mois, à la première dose, 3 patients pesaient moins de 10 kg, 12 pesaient entre 10 kg et moins de 20 kg et 3 pesaient 20 kg ou plus. L’âge médian des patients à la première dose était de 51,4 mois (4 à 74 mois); 55,6% étaient de sexe féminin et 88,9% étaient d’origine caucasienne. Le ratio oxalate urinaire/créatinine urinaire à l’inclusion était de 0,47 mmol/mmol. Après la période d’analyse primaire de 6 mois, les patients sont entrés dans une période d’extension avec administration du lumasiran pendant une durée allant jusqu’à 60 mois. L’exposition totale au lumasiran était de 83,2 patient-années.
À 6 mois, les patients traités par lumasiran avaient obtenu une réduction de 72% (IC à 95%: 66,4 – 77,5) du ratio oxalate urinaire/créatinine urinaire par rapport à l’inclusion (pondéré de 3 mois à 6 mois), le critère d’évaluation principal de l’étude. Le lumasiran était associé à des réductions rapides et durables du ratio oxalate urinaire/créatinine urinaire (figure 3), qui étaient similaires dans tous les groupes de poids. La réduction relative de l’excrétion urinaire d’oxalate s’est maintenue avec la poursuite du lumasiran jusqu’au mois 30, avec une éduction relative moyenne de 74,5% (ESM : 4,25) du ratio oxalate urinaire/créatinine urinaire par rapport à l’inclusion, et cet effet du traitement était cohérent avec les données d’ILLUMINATE-A.
Figure 3: ILLUMINATE-B: variation relative par rapport à l’inclusion du ratio oxalate/créatinine urinaire par mois

À 6 mois, neuf patients sur 18 ont obtenu une quasi normalisation (≤ 1,5 × LSN), dont 1 patient ayant obtenu une normalisation (≤ LSN) du ratio oxalate urinaire/créatinine urinaire. À 12 mois, dix patients sur 18 ont obtenu une quasi-normalisation (≤ 1,5 × LSN), dont 2 patients ayant obtenu une normalisation (≤ LSN) du ratio oxalate urinaire/créatinine urinaire.
En outre, entre l’inclusion et le mois 6 (moyenne de 3 mois à 6 mois), une réduction moyenne de l’oxalate plasmatique de 31,7% (IC à 95% : 23,9 – 39,5) a été observée. Les niveaux réduits d’oxalate plasmatique observés au cours de la période d’analyse primaire ont été maintenus avec la poursuite du traitement par lumasiran jusqu’au mois 60, avec une réduction moyenne de 24,8% (IC à 95% : 15,7 – 59,5) au mois 60.
Le DFGe est resté stable chez tous les patients poursuivant le traitement. La variation annuelle par rapport à l’inclusion du DFGe au cours du traitement par lumasiran d’une durée allant jusqu’à 60 mois était de 0,26 ml/min/1,73 m2 par an.
Le taux d’événements de calculs rénaux par personne-année rapporté au cours de la période de 12 mois précédant le consentement et au cours de la période d’analyse primaire de 6 mois était respectivement de 0,24 (IC à 95 % : 0,09 – 0,63) et 0,24 (IC à 95 % : 0,06 – 0,96). Le taux total d’événements de calculs rénaux par personne-année au mois 60 de l’étude était de 0,11 (IC à 95% : 0,06 – 0,21) et 77,8% des patients n’ont pas présenté d’événements de calculs rénaux pendant l’étude.Pendant l’évaluation de la néphrocalcinose médullaire, une tendance à une amélioration sur une période de 60 mois a été démontrée. Parmi les 18 patients traités pendant 60 mois, une néphrocalcinose médullaire était présente chez 14 patients à l’inclusion. Sur les 14 patients, 12 ont présenté une amélioration, avec une disparition de la néphrocalcinose (définie comme un grade 0 dans les deux reins) chez 10 patients, aucun changement chez 1 patient et un résultat indéterminé chez 1 patient (amélioration dans un rein et aggravation dans l’autre). Les 4 patients chez lesquels une néphrocalcinose n’était pas présente à l’inclusion ne présentaient aucun changement au mois 60.
ILLUMINATE-C
Au total, 21 patients ont été recrutés et traités par lumasiran dans le cadre d’une étude multicentrique à un seul bras en cours chez des patients atteints de HP1 et d’une maladie rénale de stade avancé (DFGe ≤ 45 ml/min/1,73 m2 chez les patients âgés de 12 mois et plus et créatinine sérique élevée chez les patients âgés de moins de 12 mois), y compris des patients sous hémodialyse. ILLUMINATE-C comprend 2 cohortes : la cohorte A est constituée de 6 patients qui ne nécessitaient pas de dialyse au moment de l’inclusion dans l’étude et la cohorte B est constituée de 15 patients qui étaient sous schéma d’hémodialyse stable. Les patients ont reçu le schéma posologique recommandé de lumasiran en fonction du poids corporel (voir rubrique 4.2).
L’âge médian des patients à la première dose était de 8,9 ans (intervalle de 0 à 59 ans), 57,1 % étaient de sexe masculin et 76,2 % étaient d’origine caucasienne. Pour les patients de la Ccohorte A, le taux médian d’oxalate plasmatique était de 57,94 µmol/L. Pour les patients de la cohorte B, le taux médian d’oxalate plasmatique était de 103,65 µmol/L.
Le critère d’évaluation principal de l’étude était le pourcentage d’évolution du taux d’oxalate plasmatique entre l’inclusion et le mois 6 (moyenne du mois 3 au mois 6) pour la cohorte A (N = 6) et le pourcentage d’évolution du taux d’oxalate plasmatique avant dialyse entre l’inclusion et le mois 6 (moyenne du mois 3 au mois 6) pour la cohorte B (N = 15).
Au cours de la période d’analyse primaire de 6 mois, les patients des deux cohortes ont vu leur taux d’oxalate plasmatique diminuer dès le premier mois. Le pourcentage d’évolution du taux d’oxalate plasmatique entre l’inclusion et le mois 6 (moyenne du mois 3 au mois 6) pour la cohorte A était une différence moyenne des moindres carrés de -33,3 % (IC à 95 % : -81,82 – 15,16) et pour la cohorte B, la différence moyenne des moindres carrés était de -42,4 % (IC à 95 % : -50,71 – -34,15).
Figure 4 : ILLUMINATE-C : variation relative par rapport à l’inclusion de l’oxalate plasmatique (µmol/L) lors de chaque visite pendant la période d’analyse principale

Les résultats sont représentés sous forme de moyenne (± ESM) de la variation relative par rapport à l’inclusion.
Abréviations : BL = inclusion ; M = mois ; ESM = erreur standard de la moyenne.
Pour la cohorte A, l’inclusion est définie comme la moyenne de tous les échantillons d’oxalate plasmatique prélevés avant la première dose de lumasiran ; pour la cohorte B, l’inclusion est définie comme les quatre derniers échantillons d’oxalate plasmatique prédialyse prélevés avant la première dose de lumasiran. Dans la cohorte B, seuls les échantillons prédialyse sont utilisés.
Dans la cohorte A, le DFGe moyen (ET) était de 19,85 (9,6) mL/min/1,73 m2 à l’inclusion et de 16,43 (9,8) mL/min/1,73 m2 au mois 6.
Le taux d’événements de calculs rénaux par personne-année rapporté pendant la période de 12 mois précédant le consentement pour la cohorte A et pendant la période d’analyse primaire de 6 mois était respectivement de 3,20 (IC à 95 % : 1,96 – 5,22) et 1,48 (IC à 95 % : 0,55 – 3,92).
Pédiatrie
Swissmedic a accordé une exemption pour ce médicament de l’obligation de présenter les résultats d’études dans toutes les tranches d’âge pédiatriques pour le traitement de la PHA.
PharmacocinétiqueAbsorption
Après administration sous-cutanée, le lumasiran est rapidement absorbé. Le délai médian (intervalle) pour atteindre des concentrations plasmatiques maximales (tmax) de 4 (0,5 à 12) heures. Chez les enfants et les adultes atteints de HP1 pesant ³ 20 kg, le pic plasmatique de lumasiran (Cmax) et l’aire sous la courbe de concentration entre zéro et la dernière concentration mesurable après l’administration (ASC0–last) suite à la dose recommandée de lumasiran de 3 mg/kg étaient de 529 (205 à 1 130) ng/ml et 7 400 (2 890 à 10 700) ng·h/ml, respectivement. Chez les enfants de moins de 20 kg, la Cmax et l’ASC0–last de lumasiran après la dose recommandée de 6 mg/kg étaient de 912 (523 à 1 760) et 7 960 (5 920 à 13 300), respectivement. Les concentrations de lumasiran étaient mesurables jusqu’à 24 à 48 heures après l’administration de la dose.
Distribution
Dans les échantillons de plasma d’adultes en bonne santé, la liaison aux protéines du lumasiran est modérée à forte (77 à 85%) aux concentrations cliniquement pertinentes. Chez un patient adulte atteint de HP1, l’estimation de population du volume de distribution central apparent (Vd/F) pour le lumasiran est de 4,9 l. Le lumasiran est essentiellement distribué dans le foie après l’administration par voie sous-cutanée.
Métabolisme
Le lumasiran est métabolisé par des endo- et exonucléases en oligonucléotides de plus courtes longueurs. Des études in vitro indiquent que le lumasiran ne subit pas de métabolisme par les enzymes du CYP450.
Élimination
Le lumasiran est principalement éliminé du plasma par capture hépatique, avec seulement 7 à 26% de la dose administrée récupérés sous forme de lumasiran dans les urines d’après les données regroupées issues de sujets adultes en bonne santé et de patients atteints de HP1 âgés de plus de 6 ans. La demi-vie plasmatique terminale moyenne (%CV) du lumasiran est de 5,2 (47%) heures. L’estimation de population pour la clairance plasmatique apparente a été de 26,5 l/h chez un adulte type de 70 kg. La clairance rénale moyenne du lumasiran était insignifiante et était comprise entre 2 et 3,4 l/h chez les patients pédiatriques et adultes atteints de HP1.
Linéarité/non-linéarité
Le lumasiran présentait une pharmacocinétique linéaire à légèrement non linéaire, indépendante du temps, dans le plasma après l’administration de doses sous-cutanées uniques allant de 0,3 à 6 mg/kg et de doses multiples de 1 et 3 mg/kg une fois par mois ou de 3 mg/kg par trimestre. Aucune accumulation du lumasiran dans le plasma n’a été observée après plusieurs doses administrées une fois par mois ou par trimestre.
Relations pharmacocinétiques/pharmacodynamiques
Les concentrations plasmatiques de lumasiran ne reflètent pas la portée ou la durée de l’activité pharmacodynamique du lumasiran. La capture rapide et ciblée du lumasiran par le foie donne lieu à un déclin rapide des concentrations plasmatiques. Dans le foie, le lumasiran affiche une demi-vie longue qui fait perdurer l’effet pharmacodynamique dans l’intervalle d’administration mensuel ou trimestriel.
Cinétique pour certains groupes de patients
Troubles de la fonction hépatique
Aucune étude n’a été menée chez les patients présentant une insuffisance hépatique (voir "Posologie/Mode d’emploi" ). Les données pharmacocinétiques limitées chez les patients présentant des hausses légères et passagères de la bilirubine totale (bilirubine totale > 1 à 1,5 × LSN) montraient une exposition plasmatique comparable au lumasiran et une pharmacodynamique similaire à celles des patients ayant une fonction hépatique normale. La littérature publiée montre une expression plus faible des récepteurs des asialoglycoprotéines dans le foie, c’est-à-dire les récepteurs responsables de l’absorption du lumasiran, chez les patients présentant une insuffisance hépatique. Des données non cliniques suggèrent que cela peut ne pas influencer l’absorption hépatique ou la pharmacodynamie aux doses thérapeutiques. La pertinence clinique de ces données est inconnue.
Troubles de la fonction rénale
Les patients atteints d’une insuffisance rénale légère (DFGe de 60 à < 90 ml/min/1,73 m2) présentaient une exposition plasmatique comparable de lumasiran à celle des patients ayant une fonction rénale normale (DFGe ³ 90 ml/min/1,73 m2). Chez les patients présentant une insuffisance rénale modérée (DFGe de 30 à < 60 ml/min/1,73 m2), la Cmax était similaire à celle des patients ayant une fonction rénale normale; l’ASC était 25% plus élevée selon des données limitées. Chez les patients présentant une insuffisance rénale sévère (DFGe de 15 à < 30 ml/min/1,73 m2), une IRT (DFGe < 15 ml/min/1,73 m2), ou étant sous dialyse (voir "Pharmacocinétique" ), appartenant à la même catégorie de poids corporel, une hausse passagère 1,8 à 3,6 fois plus élevée de la Cmax et 1,6 à 3,1 fois plus élevée de l’ASC0–last a été observée (voir "Pharmacocinétique" , "Relations pharmacocinétiques/pharmacodynamiques" ). Ces augmentations étaient passagères dans la mesure où, les concentrations plasmatiques diminuent sous le seuil de détection sous 24 à 48 heures, comme chez les patients qui ne présentent pas d’insuffisance rénale (voir "Pharmacocinétique" , "Relations pharmacocinétiques/pharmacodynamiques" ). La pharmacodynamique chez les patients atteints d’une insuffisance rénale (DFGe < 90 mL/min/1,73 m2), y compris une IRT (DFGe < 15 mL/min/1,73 m2) ou étant sous dialyse, était comparable à celle observée chez les patients ayant une fonction rénale normale (DFGe ≥ 90 mL/min/1,73 m2) (voir "Posologie/Mode d’emploi" ).
Patients âgés
Aucune étude n’a été menée chez les patients âgés de ³ 65 ans. L’âge n’était pas une co-variable significative dans la pharmacocinétique du lumasiran.
Enfants et adolescents
Les données chez les enfants âgés de moins d’un an sont limitées. Chez les enfants pesant < 20 kg, la Cmax du lumasiran était 2 fois plus élevée en raison de la dose nominalement supérieure de 6 mg/kg et de la vitesse d’absorption plus rapide. La pharmacodynamique du lumasiran était comparable chez les patients pédiatriques (âgés de 4 mois à 17 ans) et chez les adultes, malgré les concentrations plasmatiques momentanément supérieures chez les enfants pesant < 20 kg, en raison de la distribution rapide et prédominante du lumasiran vers le foie.
Poids corporel
Le schéma posologique recommandé produisait une Cmax jusqu’à 2 fois plus élevée chez les enfants pesant < 20 kg, tandis que l’ASC était similaire pour les poids corporels étudiés (6,2 à 110 kg).
Sexe et origine ethnique
Au cours des études cliniques, aucune différence n’a été observée en termes d’exposition plasmatique ou de pharmacodynamique du lumasiran en fonction du sexe ou de l’origine ethnique.
Données précliniquesPharmacologie de sécurité
Les données précliniques issues des études conventionnelles sur la pharmacologie de sécurité, la génotoxicité et cancérogenèse n’ont pas révélé de risque particulier pour l’homme.
Chez les rats, mais pas chez les singes, des changements microscopiques dans le foie (par exemple vacuolisation hépatocellulaire, mitose et caryomégalie) ont été observés, accompagnés d’une baisse des taux de fibrinogène plasmatique et d’autres modifications des valeurs de laboratoire. La raison de cette spécificité apparente aux rongeurs n’est pas comprise et la pertinence chez l’homme n’est pas claire.
Toxicité sur la reproduction
Le lumasiran n’a produit aucun effet indésirable sur la fertilité des mâles et des femelles et sur le développement pré-natal et post-natal des rats. Des anomalies squelettiques ont été observées lors d’études sur le développement embryo-fœtal chez le rat et le lapin, mais à des multiples d’exposition élevés par rapport aux expositions thérapeutiques chez l’homme. Les doses sans effet nocif observé (NOAEL) étaient environ 20 à 70 fois plus élevés (sur la base des expositions mensuelles).
Analyses de toxicité chez des animaux juvéniles
Une étude de toxicité de détermination de dose réalisée sur des rats nouveau-nés n’a pas montré de sensibilité accrue chez le rat en développement du fait de la toxicologie ou de la pharmacologie du lumasiran à des multiples d’exposition de 2 par rapport aux expositions thérapeutiques humaines (d’après des expositions mensuelles).
Remarques particulièresIncompatibilités
En l’absence d’études de compatibilité, ce médicament ne doit pas être mélangé à d’autres médicaments.
Stabilité
Le médicament ne doit pas être utilisé au-delà de la date figurant après la mention "EXP" sur l’emballage.
Stabilité après ouverture
Une fois le flacon ouvert, le médicament doit être utilisé immédiatement.
Remarques particulières concernant le stockage
Ne pas conserver au-dessus de 30 °C.
Conserver le flacon dans son carton pour le protéger de la lumière.
Conserver hors de portée des enfants.
Remarques concernant la manipulation
Ce médicament est prêt à l’emploi et à usage unique exclusivement.
Voie sous-cutanée uniquement.
Préparation pour l’administration
-Avant l’administration, le matériel, non inclus dans la boîte, nécessaire à l’administration et qui comprend une seringue stérile (0,3 ml, 1 ml ou 3 ml), une aiguille de calibre 18 (G) et une aiguille de calibre 25 G à 31 G, doit être rassemblé.
-Le volume requis d’Oxlumo doit être calculé d’après la dose recommandée en fonction du poids (voir "Posologie/Mode d’emploi" ).
-Une aiguille de calibre 18 G doit être utilisée pour prélever Oxlumo dans le flacon. Le flacon doit être tenu à la verticale ou légèrement incliné et le bord plat de l’aiguille doit être dirigé vers le bas.
-Pour les volumes inférieurs à 0,3 ml, une seringue stérile de 0,3 ml est recommandée.
-Le médicament doit être administré avec une aiguille stérile de calibre 25 G à 31 G et de longueur 13 mm ou 16 mm pour injection sous-cutanée.
-Remarque: ce médicament ne doit pas être poussé dans l’aiguille de calibre 25 G à 31 G.
-Les seringues, aiguilles de transfert et aiguilles d’injection ne doivent être utilisées qu’une seule fois.
Tout médicament non utilisé ou déchet doit être éliminé conformément à la réglementation en vigueur.
Numéro d’autorisation68239 (Swissmedic).
PrésentationChaque emballage comporte un flacon en verre avec bouchon en caoutchouc recouvert de fluoropolymère et bague en aluminium avec capsule amovible. Chaque flacon contient 0,5 ml de solution injectable. [B]
Titulaire de l’autorisationAlnylam Switzerland GmbH, Zoug.
Mise à jour de l’informationDécembre 2025
|