CompositionPrincipes actifs
Bimekizumab, produit à partir de cellules CHO (ovaires de hamster chinois) génétiquement modifiées.
Excipients
Glycine, acétate de sodium trihydraté (E 262), acide acétique glacial, polysorbate 80, eau pour préparations injectables nécessaire pour un volume de 1 ml ou 2 ml.
Chaque stylo prérempli (1 ml) contient 0,45 mg de sodium.
Chaque stylo prérempli (2 ml) contient 0,90 mg de sodium.
Chaque seringue préremplie (1 ml) contient 0,45 mg de sodium.
Chaque seringue préremplie (2 ml) contient 0,90 mg de sodium.
Forme pharmaceutique et quantité de principe actif par unitéSolution injectable en stylo prérempli ou en seringue préremplie pour utilisation sous-cutanée.
Chaque stylo prérempli ou chaque seringue préremplie de 1 ml contient 160 mg de bimekizumab.
Chaque stylo prérempli ou chaque seringue préremplie de 2 ml contient 320 mg de bimekizumab.
Aspect
La solution est limpide à légèrement opalescente et incolore à jaune-brun pâle.
Indications/Possibilités d’emploiPsoriasis en plaques
Bimzelx est utilisé dans le traitement du psoriasis en plaques modéré à sévère chez l'adulte qui nécessite un traitement systémique.
Rhumatisme psoriasique
Bimzelx, seul ou en association avec le méthotrexate, est indiqué dans le traitement du rhumatisme psoriasique actif chez l'adulte ayant eu une réponse inadéquate ou ayant été intolérant à un ou plusieurs traitements de fond antirhumatismaux (disease-modifying antirheumatic drugs, DMARDs).
Spondyloarthrite axiale
Spondyloarthrite axiale non radiographique (nr-axSpA)
Bimzelx est indiqué dans le traitement de la spondyloarthrite axiale non radiographique active sévère, associée à des signes objectifs d'inflammation se traduisant par un taux de protéine C réactive (CRP) élevé et des signes visibles à l'imagerie par résonance magnétique (IRM), chez des adultes qui ont obtenu une réponse inadéquate ou sont intolérants aux anti-inflammatoires non stéroïdiens (AINS).
Spondylarthrite ankylosante (SA, spondyloarthrite axiale radiographique)
Bimzelx est indiqué dans le traitement de la spondylarthrite ankylosante active sévère chez des adultes qui ont obtenu une réponse inadéquate ou sont intolérants au traitement conventionnel.
Hidradénite suppurée (HS)
Bimzelx est indiqué pour le traitement de l'hidradénite suppurée active modérée à sévère (acné inversée) chez les adultes présentant une réponse insuffisante à un traitement antibiotique systémique.
Posologie/Mode d’emploiBimzelx est destiné à être utilisé sous la conduite et la surveillance d'un médecin expérimenté dans le diagnostic et le traitement des pathologies pour lesquelles Bimzelx est indiqué.
Afin d'assurer la traçabilité des médicaments biotechnologiques, il convient de documenter pour chaque traitement le nom commercial et le numéro de lot.
Psoriasis en plaques
La dose recommandée de Bimzelx pour les patients adultes atteints de psoriasis en plaques est de 320 mg (administrée sous forme de 2 injections sous-cutanées de 160 mg ou 1 injection sous-cutanée de 320 mg) aux semaines 0, 4, 8, 12, 16 et toutes les 8 semaines par la suite.
Rhumatisme psoriasique
La dose recommandée pour les patients adultes atteints de rhumatisme psoriasique actif est de 160 mg (administrés en 1 injection sous-cutanée de 160 mg) toutes les 4 semaines.
Pour les patients atteints de rhumatisme psoriasique et qui présentent simultanément un psoriasis en plaques modéré à sévère, la dose recommandée est la même que pour le psoriasis en plaques [320 mg (administrés en 2 injections sous-cutanées de 160 mg ou 1 injection sous-cutanée de 320 mg) aux semaines 0, 4, 8, 12, 16, puis toutes les 8 semaines]. Après 16 semaines, une évaluation usuelle de l'efficacité est recommandée et si une réponse clinique suffisante au niveau des articulations ne peut être maintenue, le passage à 160 mg toutes les 4 semaines peut être envisagé.
Spondyloarthrite axiale (nr-axSpA et SA)
La dose recommandée pour les patients adultes atteints de spondylarthrite axiale est de 160 mg (administrée sous forme d'1 injection sous-cutanée de 160 mg) toutes les 4 semaines.
Hidradénite suppurée
La dose recommandée pour les patients adultes atteints d'hidradénite suppurée est de 320 mg (administrée en 2 injections sous-cutanées de 160 mg ou 1 injection sous-cutanée de 320 mg) toutes les 2 semaines jusqu'à la semaine 16 puis toutes les 4 semaines.
Dans les indications mentionnées ci-dessus, l'arrêt du traitement doit être envisagé chez les patients pour lesquels aucune amélioration n'est observée après 16 semaines de traitement.
Instructions posologiques particulières
Patients en surpoids atteints de psoriasis en plaques
Chez certains patients atteints de psoriasis en plaques (incluant le rhumatisme psoriasique avec psoriasis modéré à sévère concomitant), dont le poids corporel est ≥120 kg et dont les symptômes cutanés n'ont pas totalement disparu à la semaine 16, la dose de 320 mg toutes les 4 semaines au-delà de la semaine 16 peut améliorer encore la réponse au traitement (voir Efficacité clinique).
Patients présentant des troubles de la fonction hépatique
Bimzelx n'a pas été étudié chez cette population de patients. D'après la pharmacocinétique, des ajustements posologiques ne sont pas jugés nécessaires (voir Pharmacocinétique).
Patients présentant des troubles de la fonction rénale
Bimzelx n'a pas été étudié chez cette population de patients. D'après la pharmacocinétique, des ajustements posologiques ne sont pas jugés nécessaires (voir Pharmacocinétique).
Patients âgés
Aucun ajustement posologique n'est nécessaire (voir Pharmacocinétique).
Enfants et adolescents
L'utilisation de Bimzelx n'est pas autorisée dans la population pédiatrique.
Mode d'administration
Bimzelx est administré par injection sous-cutanée. Une dose de 320 mg peut être administrée sous forme de 2 injections sous-cutanées de 160 mg ou d'1 injection sous-cutanée de 320 mg.
Les zones d'injection adaptées comprennent la cuisse, l'abdomen et la partie supérieure du bras. Il faut veiller à alterner les sites d'injection. Les injections ne doivent pas être administrées dans les plaques de psoriasis ni dans des zones où la peau est sensible, endommagée, érythémateuse ou indurée. L'administration dans la partie supérieure du bras ne peut être effectuée que par un professionnel de la santé ou un soignant.
Après une formation adaptée à la technique d'injection sous-cutanée, les patients pourront s'auto-injecter Bimzelx si leur médecin estime cela approprié, en association avec un suivi médical si nécessaire. Les patients doivent être informés qu'ils doivent s'injecter la totalité de Bimzelx, conformément aux instructions d'utilisation fournies dans la notice (voir l'Information destinée aux patients).
Contre-indicationsHypersensibilité au principe actif ou à l'un des excipients utilisés dans le produit.
Infections actives cliniquement importantes (par exemple: tuberculose active)
Mises en garde et précautionsInfections
Bimzelx peut augmenter le risque d'infections, telles que les infections des voies respiratoires supérieures et la candidose buccale (voir Effets indésirables).
Des précautions d'emploi doivent être observées lorsque l'utilisation de Bimzelx est envisagée chez les patients présentant une infection chronique ou des antécédents d'infection récidivante. Le traitement par le bimekizumab ne doit pas être instauré chez les patients présentant une infection active cliniquement importante (en particulier une infection par le VIH, le VHB ou le VHC) tant que l'infection n'est pas résolue ou convenablement traitée. Les patients traités par Bimzelx doivent être informés qu'ils doivent consulter un médecin en cas de signes ou symptômes évocateurs d'une infection chronique ou aiguë. En cas d'apparition d'une infection, le patient doit être attentivement surveillé. Si l'infection s'aggrave ou ne répond pas au traitement standard, le traitement doit être interrompu jusqu'à la résolution de l'infection.
Évaluation de la tuberculose (TB) avant le traitement
Au cours des études cliniques, les patients qui présentaient une tuberculose latente et qui ont reçu Bimzelx et un traitement antituberculeux n'ont pas développé de tuberculose active. Un dépistage de la tuberculose doit être effectué avant l'instauration du traitement par Bimzelx. Bimzelx ne doit pas être utilisé chez les patients atteints d'une tuberculose active. Les patients traités par Bimzelx doivent être placés sous surveillance pour déceler des signes et symptômes de tuberculose active. Un traitement antituberculeux doit être envisagé avant d'instaurer le traitement par Bimzelx chez les patients présentant des antécédents de tuberculose latente ou active et chez lesquels l'administration d'un traitement approprié ne peut être confirmée.
Affections malignes
Les études cliniques ayant duré jusqu'à un an n'ont pas démontré de risque accru d'affection maligne avec le traitement par Bimzelx. Les résultats des études de sécurité à long terme ne sont pas encore disponibles.
Étant donné que les patients psoriasiques constituent une population à risque, ces patients doivent être examinés à la recherche de tumeurs cutanées avant et pendant le traitement par Bimzelx.
Maladies inflammatoires de l'intestin
Des cas d'apparition ou d'exacerbation de maladies inflammatoires de l'intestin ont été rapportés avec Bimzelx. Bimzelx n'est pas recommandé chez les patients atteints d'une maladie inflammatoire de l'intestin. Si un patient développe des signes et des symptômes de maladie inflammatoire de l'intestin, ou présente une exacerbation d'une maladie inflammatoire de l'intestin préexistante, Bimzelx doit être arrêté et une prise en charge médicale appropriée doit être instaurée.
Réactions d'hypersensibilité
Des réactions d'hypersensibilité graves, y compris des réactions anaphylactiques, ont été observées avec les inhibiteurs de l'interleukine-17 (IL-17). En cas de survenue d'une réaction d'hypersensibilité grave, l'administration de Bimzelx doit être immédiatement interrompue et un traitement approprié initié.
Vaccinations
Avant l'instauration du traitement par Bimzelx, l'administration de tous les vaccins nécessaires appropriés à l'âge doit être envisagée, conformément aux recommandations en vigueur en matière de vaccination. Les vaccins vivants ne doivent pas être administrés aux patients traités par Bimzelx. Les patients traités par Bimzelx peuvent recevoir des vaccins inactivés ou non vivants. Des personnes en bonne santé ayant reçu une seule dose de 320 mg de Bimzelx deux semaines avant une vaccination par un vaccin contre la grippe saisonnière inactivé ont obtenu des réponses des anticorps similaires à celles de personnes n'ayant pas reçu de Bimzelx avant la vaccination.
Excipients
Ce médicament contient 0,4 mg de polysorbate 80 par ml de solution. Les polysorbates peuvent provoquer des réactions allergiques.
Ce médicament contient moins de 1 mmol de sodium (23 mg) par stylo prérempli (160 mg et 320 mg), c'est-à-dire qu'il est essentiellement "sans sodium" .
Ce médicament contient moins de 1 mmol de sodium (23 mg) par seringue préremplie (160 mg et 320 mg), c'est-à-dire qu'il est essentiellement "sans sodium" .
InteractionsAucune étude d'interaction avec le CYP450 n'a été menée chez l'Homme. Il n'existe aucune preuve directe du rôle de l'IL-17A ou de l'IL-17F dans l'expression des enzymes du CYP450. La formation de certaines enzymes du CYP450 est supprimée par des taux accrus de cytokines pendant une inflammation chronique. Ainsi, les traitements anti-inflammatoires, notamment par le Bimzelx qui est inhibiteur de l'IL-17A et de l'IL-17F, peuvent entraîner une normalisation des taux du CYP450 associée à une diminution de l'exposition des médicaments concomitants métabolisés par le CYP450. Par conséquent, un effet cliniquement pertinent sur les substrats du CYP450 à marge thérapeutique étroite, pour lesquels la dose est ajustée individuellement (par exemple, la warfarine) ne peut être exclu. À l'instauration du traitement par Bimzelx chez les patients traités par ces types de médicaments, une surveillance thérapeutique doit être envisagée.
Les analyses des données pharmacocinétiques (PK) de population ont indiqué que l'administration concomitante de traitements de fond antirhumatismaux conventionnels (cDMARDs), dont le méthotrexate, ou l'administration antérieure de produits biologiques n'avait aucun effet cliniquement pertinent sur la clairance du bimekizumab.
Grossesse, allaitementGrossesse
À ce jour, les données sur l'utilisation de Bimzelx chez la femme enceinte sont limitées. Les femmes en âge de procréer doivent utiliser une méthode de contraception efficace tout au long du traitement et pendant au moins 17 semaines après l'arrêt du traitement. Les études effectuées chez l'animal n'ont pas mis en évidence d'effets délétères directs ou indirects sur la grossesse, le développement embryonnaire/fœtal, la parturition ou le développement postnatal (voir Données précliniques). Bimzelx ne doit pas être utilisé pendant la grossesse à moins que le bénéfice pour la mère ne soit clairement supérieur au risque éventuel pour le fœtus.
Allaitement
On ne sait pas si Bimzelx est excrété dans le lait maternel ou s'il est absorbé de façon systémique par le nourrisson. La décision d'allaiter ou non doit prendre en compte les avantages de l'allaitement pour le développement et la santé de l'enfant, la nécessité clinique pour la mère d'un traitement par Bimzelx, ainsi que les effets négatifs possibles de Bimzelx ou de la pathologie sous-jacente de la mère sur le nourrisson allaité.
Fertilité
L'effet de Bimzelx sur la fertilité humaine n'a pas été évalué. Les études chez l'animal n'ont pas mis en évidence d'effets délétères directs ou indirects sur la fertilité (voir Données précliniques).
Effet sur l’aptitude à la conduite et l’utilisation de machinesL'influence de Bimzelx sur l'aptitude à la conduite ou l'utilisation de machines n'a pas été spécifiquement étudiée.
Effets indésirablesRésumé du profil de sécurité
Études cliniques
Aperçu
Au total, 5862 patients ont été traités par bimekizumab dans le cadre d'études cliniques en aveugle et en ouvert portant sur le psoriasis en plaques (PSO), le rhumatisme psoriasique (RP), la spondyloarthrite axiale (nr-axSpA et SA) et l'hidradénite suppurée (HS), représentant 11468,6 patients-années d'exposition. Parmi ceux-ci, plus de 4660 patients ont été exposés au bimekizumab pendant au moins un an. Globalement, le profil de sécurité du bimekizumab est cohérent sur l'ensemble des indications.
Les effets indésirables les plus fréquemment signalés étaient les infections des voies respiratoires supérieures (14,5 %, 14,6 %, 16,3 % et 8,8 % respectivement dans le psoriasis en plaques, le rhumatisme psoriasique , la spondyloarthrite axiale (axSpA) et l'hidradénite suppurée) et la candidose buccale (7,3 %, 2,3 %, 3,7 %, 5,6% respectivement dans le PSO, le RP,l'axSpA et l'HS).
Liste des effets indésirables
Les effets indésirables sont rangés par classe de système d'organes de la classification MedDRA et par fréquence selon la convention suivante:
"très fréquents" (≥1/10),
"fréquents" (≥1/100 à <1/10),
"occasionnels" (≥1/1'000 à <1/100),
"rares" (≥1/10'000 à <1/1'000),
"très rares" (<1/10'000).
"fréquence inconnue" (ne peut être estimée sur la base des données disponibles)
Tableau 1: Effets indésirables observés lors des études cliniques
Classe de systèmes Fréquence Effet indésirable
d'organes
Infections et infestations Très fréquent Infections des
voies respiratoires
supérieures
Fréquent Candidose buccale, teigne, infections de
l'oreille, infections à herpès simplex,
candidose oropharyngée, gastro-entérite,
folliculite, mycose vulvovaginale (y compris
candidose vulvovaginale)
Occasionnel Conjonctivite, candidose muqueuse et cutanée (y
compris candidose œsophagienne)
Affections hématologiques Occasionnel Neutropénie
et du système lymphatique
Affections du système Fréquent Céphalées
nerveux
Affections gastro-intestina Occasionnel Maladie inflammatoir
les e de l'intestin
Affections de la peau et Fréquent Dermatite et eczéma,
du tissu sous-cutané acné, éruption
cutanée
Troubles généraux et Fréquent Réactions au site
anomalies au site d'injectiona,
d'administration fatigue
a) Comprend: érythème,
réactions, œdèmes,
douleurs, gonflements et
hématomes au site
d'injection.
Description d'effets indésirables spécifiques et informations complémentaires
Infections
Pendant la période contrôlée par placebo des études cliniques de phase III sur le psoriasis en plaques, des infections ont été signalées chez 36,0 % des patients traités par bimekizumab pendant un maximum de 16 semaines, par rapport à 22,5 % des patients traités par placebo. Les infections comprenaient en majorité des infections transitoires non graves, légères à modérées des voies respiratoires supérieures, comme la rhinopharyngite. Des infections graves sont survenues chez 0,3 % des patients traités par bimekizumab et 0 % des patients traités par placebo. Des taux plus élevés de candidose buccale et oropharyngée ont été observés chez les patients traités par bimekizumab, ce qui est cohérent avec le mécanisme d'action (7,3 % et 1,2 % respectivement, par rapport à 0 % pour les patients traités par placebo). La majorité des cas étaient non graves, de sévérité légère ou modérée, et n'ont pas nécessité l'arrêt du traitement.
Sur toute la période de traitement des études de phase III sur le psoriasis en plaques, des infections ont été signalées chez 63,2 % des patients traités par bimekizumab (120,4 pour 100 patients-années). Des infections graves ont été signalées chez 1,5 % des patients traités par bimekizumab (1,6 pour 100 patients-années) (voir Mises en garde et précautions).
Les taux d'infections observés dans les études cliniques de phase III sur le RP et l'axSpA (nr-axSpA et SA) étaient similaires à ceux observés dans les études portant sur le psoriasis en plaques, en dehors des taux de candidose buccale et oropharyngée chez les patients traités par bimekizumab, qui étaient moins élevés à 2,3 % et 0 % respectivement dans le RP et à 3,7 % et 0,3 % respectivement dans l'axSpA comparativement à 0 % pour le placebo.
Les taux d'infection observés dans les études cliniques de phase III sur l'HS étaient similaires à ceux observés dans les autres indications. Au cours de la période contrôlée contre placebo, les taux de candidose buccale et oropharyngée chez les patients traités par bimekizumab étaient de 7,1 % et 0 %, respectivement, comparés à 0 % avec le placebo.
Neutropénie
Une neutropénie a été observée avec le bimekizumab dans les études cliniques de phase III sur le psoriasis en plaques. Sur la période de 16 semaines contrôlée par placebo, des neutropénies de grade 3/4 ont été observées chez 0,6 % des patients aussi bien sous bimekizumab que sous placebo. Sur toute la période de traitement des études de phase III, des neutropénies de grade 3/4 ont été observées chez 1 % des patients traités par bimekizumab.
La fréquence de neutropénie dans les études cliniques sur le RP, l'axSpA (nr-axSpA et SA) et l'HS était similaire à celle observée dans les études sur le psoriasis en plaques.
La plupart des cas étaient transitoires et n'ont pas nécessité l'arrêt du traitement. Aucune infection grave n'a été associée aux cas de neutropénie.
Élévation des enzymes hépatiques
Au cours de la phase contrôlée par placebo des études HS0003 et HS0004, 1,2 % (10/854) des sujets traités par BIMZELX ont présenté une élévation des transaminases hépatiques sériques (supérieure à 3 fois la limite supérieure de la normale [LSN]), contre 0 % (0/144) des sujets sous placebo. Cette élévation des transaminases hépatiques sériques s'est normalisée pendant la poursuite du traitement ou après l'arrêt de BIMZELX.
Immunogénicité
Comme toutes les protéines thérapeutiques, le bimekizumab a un potentiel immunogène. La mise en évidence de la formation d'anticorps anti-médicament dépend fortement de la sensibilité et de la spécificité du test utilisé. En outre, l'incidence observée de la mise en évidence positive d'anticorps anti-médicament (y compris des anticorps neutralisants) peut éventuellement être influencée par d'autres facteurs tels que la méthode de test, le traitement des échantillons, le moment du prélèvement, les traitements concomitants ou les maladies sous-jacentes. C'est pourquoi une comparaison entre l'incidence des anticorps anti-bimekizumab et l'incidence des anticorps dirigés contre d'autres préparations peut être trompeuse.
Psoriasis en plaques
Environ 45 % des patients atteints de psoriasis en plaques traités par bimekizumab pendant une durée allant jusqu'à 56 semaines au schéma posologique recommandé (320 mg toutes les 4 semaines jusqu'à la semaine 16 et 320 mg toutes les 8 semaines par la suite) ont développé des anticorps anti-médicament. Parmi les patients qui ont développé des anticorps anti-médicament, environ 34 % (16 % de tous les patients traités par bimekizumab) présentaient des anticorps classés comme neutralisants.
Rhumatisme psoriasique
Environ 31 % des patients atteints de rhumatisme psoriasique traités par bimekizumab aux schémas posologiques recommandés (160 mg toutes les 4 semaines) jusqu'à la semaine 16, ont développé des anticorps anti-médicament. Parmi les patients présentant d'anticorps anti-médicament, environ 33 % (10 % de l'ensemble des patients traités par bimekizumab) présentaient des anticorps classés comme neutralisants. À la semaine 52, environ 47 % des patients atteints de rhumatisme psoriasique, naïfs de traitement biologique antirhumatismal modificateur de la maladie (bDMARD) dans l'étude BE OPTIMAL traités par bimekizumab au schéma posologique recommandé (160 mg toutes les 4 semaines) ont développé des anticorps anti-médicament. Parmi les patients qui ont développé des anticorps anti-médicament, environ 38 % (18 % de tous les patients de l'étude BE OPTIMAL traités par bimekizumab) présentaient des anticorps classés comme neutralisants.
Spondyloarthrite axiale (nr-axSpA et SA)
Environ 57 % des patients atteints de nr-axSpA traités par bimekizumab au schéma posologique recommandé (160 mg toutes les 4 semaines jusqu'à 52 semaines ont développé des anticorps anti-médicament. Parmi les patients présentant desanticorps anti-médicament, environ 44 % (25 % de tous les patients traités par bimekizumab) présentaient des anticorps classés comme neutralisants.
Environ 44 % des patients atteints de SA traités par bimekizumab au schéma posologique recommandé (160 mg toutes les 4 semaines) jusqu'à 52 semaines ont développé des anticorps anti-médicament. Parmi les patients présentant des anticorps anti-médicament, environ 44 % (20 % de tous les patients traités par bimekizumab) présentaient des anticorps classés comme neutralisants.
Hidradénite suppurée (HS)
Environ 59 % des patients atteints d'HS traités par bimekizumab pendant une durée allant jusqu'à 48 semaines au schéma posologique recommandé (320 mg toutes les 2 semaines jusqu'à la semaine 16 puis 320 mg toutes les 4 semaines par la suite) ont développé des anticorps anti-médicament. Parmi les patients ayant développé des anticorps anti-médicament, environ 63 % (37 % de tous les patients traités par bimekizumab) présentaient des anticorps classés comme neutralisants.
Dans l'ensemble des indications, aucun impact cliniquement significatif sur la réponse clinique n'a été associé au développement d'anticorps anti-bimekizumab et il n'a pas été clairement établi d'association entre l'immunogénicité et les événements indésirables apparus au cours du traitement.
Réactions d'hypersensibilité:
Des réactions d'hypersensibilité graves, y compris des réactions anaphylactiques, ont été observées avec les inhibiteurs d'IL-17.
Patients âgés (≥65 ans)
Les données concernant cette tranche d'âge sont limitées. Pendant la période contrôlée par placebo des études cliniques de phase III sur le psoriasis en plaques, une candidose buccale a été observée chez 18,2 % des patients âgés de ≥65 ans par rapport à 6,3 % chez les < 65 ans. Parmi les patients âgés de ≥65 ans, 7,3 % étaient concernés par une dermatite et un eczéma, contre 2,8 % des < 65 ans.
L'annonce d'effets secondaires présumés après l'autorisation est d'une grande importance. Elle permet un suivi continu du rapport bénéfice-risque du médicament. Les professionnels de santé sont tenus de déclarer toute suspicion d'effet secondaire nouveau ou grave via le portail d'annonce en ligne ElViS (Electronic Vigilance System). Vous trouverez des informations à ce sujet sur www.swissmedic.ch.
SurdosageDes doses uniques de 640 mg par voie intraveineuse ou de 640 mg par voie sous-cutanée, suivies de doses de 320 mg par voie sous-cutanée toutes les deux semaines pour un total de cinq doses, ont été administrées dans des études cliniques sans observer de toxicité limitant la dose. En cas de surdosage, il est recommandé de surveiller le patient afin de détecter tout signe et symptôme d'effet indésirable et d'instaurer immédiatement un traitement symptomatique approprié.
Propriétés/EffetsCode ATC
L04AC21
Mécanisme d'action
Le bimekizumab est un anticorps monoclonal IgG1/κ humanisé qui se lie de manière sélective aux cytokines IL-17A, IL-17F et IL-17AF avec une affinité élevée, bloquant leur interaction avec le complexe récepteur IL-17RA/IL-17RC. Des concentrations élevées d'IL-17A et d'IL-17F ont été impliquées dans la pathogenèse de plusieurs maladies inflammatoires à médiation immunitaire, dont le psoriasis en plaques, le rhumatisme psoriasique, la spondyloarthrite axiale et l'hidradénite suppurée. L'IL-17A et l'IL-17F coopèrent et/ou agisse en synergie avec d'autres cytokines inflammatoires afin d'induire l'inflammation. L'IL-17F est produit en quantité importante par les cellules de l'immunité innée. Cette production peut être indépendante de l'IL-23. Le bimekizumab inhibe les cytokines pro-inflammatoires, ce qui entraîne la normalisation de l'inflammation cutanée et une diminution importante de l'inflammation locale et systémique, et par conséquent une amélioration des signes et symptômes cliniques associés au psoriasis, au rhumatisme psoriasique, à la spondyloarthrite axiale et à l'hidradénite suppurée. À partir de modèles in vitro, il a été démontré que le bimekizumab inhibe l'expression des gènes liés au psoriasis, la production de cytokines, la migration des cellules inflammatoires et l'ostéogénèse pathologique dans une plus grande mesure que l'inhibition de l'IL 17A seule.
Pharmacodynamique
Aucune étude formelle sur la pharmacodynamique du bimekizumab n'a été menée.
Efficacité clinique
Psoriasis en plaques
La sécurité d'emploi et l'efficacité du bimekizumab ont été évaluées chez 1 480 patients atteints de psoriasis en plaques modéré à sévère dans trois études de phase III multicentriques, randomisées, contrôlées par placebo et/ou par comparateur actif. Les patients étaient âgés d'au moins 18 ans, avaient un score PASI (indice d'étendue et de sévérité du psoriasis [Psoriasis Area and Severity Index]) ≥12 et un score d'évaluation globale des investigateurs (Investigators Global Assessment, IGA) ≥3 sur une échelle de 5 points, une surface corporelle (BSA, Body Surface Area) affectée par le psoriasis (PSO) ≥10 %, et étaient candidats pour un traitement systémique du psoriasis et/ou une photothérapie. L'efficacité et la sécurité d'emploi du bimekizumab ont été évaluées versus placebo et ustékinumab (BE VIVID – PS0009), versus placebo (BE READY – PS0013) et versus adalimumab (BE SURE – PS0008).
L'étude BE VIVID a évalué 567 patients pendant 52 semaines. Les patients y ont été randomisés afin de recevoir du bimekizumab (320 mg toutes les 4 semaines), de l'ustékinumab (en fonction du poids du patient 45 mg ou 90 mg à l'inclusion, à la semaine 4, puis toutes les 12 semaines) ou un placebo pendant une période initiale de 16 semaines, puis du bimekizumab (320 mg toutes les 4 semaines).
L'étude BE READY a évalué 435 patients pendant 56 semaines. Les patients ont été randomisés afin de recevoir du bimekizumab 320 mg toutes les 4 semaines ou un placebo. À la semaine 16, les patients ayant obtenu une réponse PASI 90 sont entrés dans une période randomisée de 40 semaines permettant un retrait. Les patients initialement randomisés pour recevoir du bimekizumab 320 mg toutes les 4 semaines ont été de nouveau randomisés afin de recevoir du bimekizumab 320 mg toutes les 4 semaines, du bimekizumab 320 mg toutes les 8 semaines ou un placebo (c'est-à-dire, retrait du bimekizumab). Les patients initialement randomisés pour recevoir un placebo ont continué à recevoir le placebo s'ils étaient répondeurs PASI 90. Les patients n'ayant pas obtenu une réponse PASI 90 à la semaine 16 sont entrés dans un bras d'échappement en ouvert et ont reçu du bimekizumab 320 mg toutes les 4 semaines pendant 12 semaines. Les patients en rechute (qui n'ont pas obtenu de réponse PASI 75) pendant la période randomisée permettant un retrait sont également entrés dans le bras d'échappement de 12 semaines.
L'étude BE SURE a évalué 478 patients pendant 56 semaines. Les patients ont été randomisés pour recevoir du bimekizumab 320 mg toutes les 4 semaines jusqu'à la semaine 56, du bimekizumab 320 mg toutes les 4 semaines jusqu'à la semaine 16 puis du bimekizumab 320 mg toutes les 8 semaines jusqu'à la semaine 56 ou de l'adalimumab selon la recommandation autorisée jusqu'à la semaine 24 puis du bimekizumab 320 mg toutes les 4 semaines jusqu'à la semaine 56.
Les caractéristiques à l'inclusion étaient homogènes sur l'ensemble des 3 études. La surface corporelle BSA médiane à l'inclusion était de 20 %, le score PASI médian à l'inclusion était de 18 et le score IGA à l'inclusion était sévère chez 33 % des patients. Les scores médians à l'inclusion des éléments douleur, démangeaisons et desquamation du Journal des Symptômes du patient (Patient symtpoms Diary, PSD) étaient compris entre 6 et 7 sur une échelle de 0 à 10 points et le score total médian de l'Indice de qualité de vie en dermatologie (Dermatology Life Quality Index, DLQI) était de 9 à l'inclusion.
Dans les 3 études, 38 % des patients avaient reçu un traitement biologique antérieur; 23 % avaient reçu au moins un agent anti-IL17 et 13 % avaient reçu au moins un anti-TNF. 22 % étaient naïfs de tout traitement systémique (biologique et non biologique) et 39 % des patients avaient précédemment reçu une photothérapie ou une photochimiothérapie.
L'efficacité du bimekizumab a été évaluée en termes d'impact sur la maladie cutanée globale, au niveau de régions corporelles spécifiques (cuir chevelu, ongles, paumes des mains et plantes des pieds), de symptômes rapportés par les patients et d'impact sur la qualité de vie. Les deux co-critères d'évaluation principaux dans les 3 études étaient la proportion de patients ayant obtenu 1) une réponse PASI 90 et 2) une réponse IGA "blanchi ou quasiment blanchi" (IGA 0/1 avec au moins deux points d'amélioration par rapport à l'inclusion) à la semaine 16. La réponse PASI 100, IGA 0 à la semaine 16 ainsi que la réponse PASI 75 à la semaine 4 étaient les critères d'évaluation secondaires les plus importants dans les 3 études.
Maladie cutanée globale
Le traitement par bimekizumab a entraîné une amélioration significative de tous les paramètres d'activité de la maladie par rapport au placebo, à l'ustékinumab ou à l'adalimumab à la semaine 16. Les principaux résultats d'efficacité sont présentés dans le Tableau 2.
Tableau 2: Résumé des réponses cliniques dans les études BE VIVID, BE READY et BE SURE
BE VIVID BE READY BE SURE
Placebo (n = 83) Bimekizumab 320 mg Ustékinumab (n = Placebo (n = 86) Bimekizumab 320 mg Bimekizumab 320 mg Adalimumab (n =
n (%) /4 sem. (n = 321) 163) n (%) n (%) /4 sem. (n = 349) /4 sem. (n = 319) 159) n (%)
n(%) n (%) n (%)
PASI 100 Semaine 16 0 (0,0) 188 (58,6)a 34 (20,9) 1 (1,2) 238 (68,2)a 194 (60,8)a 38 (23,9)
PASI 90 Semaine 16 4 (4,8) 273 (85,0)a, b 81 (49,7) 1 (1,2) 317 (90,8)a 275 (86,2)a 75 (47,2)
PASI 75 Semaine 4 2 (2,4) 6 (7,2) 247 (76,9)a, b 296 25 (15,3) 119 (73,0) 1 (1,2) 2 (2,3) 265 (75,9)a 333 244 (76,5)a 295 50 (31,4) 110 (69,2)
Semaine 16 (92,2) (95,4) (92,5)
IGA 0 Semaine 16 0 (0,0) 188 (58,6)a 36 (22,1) 1 (1,2) 243 (69,6)a - -
IGA 0/1 Semaine 16 4 (4,8) 270 (84,1)a, b 87 (53,4) 1 (1,2) 323 (92,6)a 272 (85,3)a 91 (57,2)
PASI absolu ≤2 3 (3,6) 273 (85,0) 84 (51,5) 1 (1,2) 315 (90,3) 280 (87,8) 86 (54,1)
Semaine 16
Douleurs JSP (n) (n = 54) 9 (16,7) (n = 229) 177 (n = 107) 73 (68,2) (n = 67) 6 (9,0) (n = 255) 201 - -
Semaine 16 (77,3)a (78,8)a
Démangeaisons JSP (n = 61) 8 (13,1) (n = 244) 187 (n = 117) 77 (65,8) (n = 72) 4 (5,6) (n = 278) 210 - -
(n) Semaine 16 (76,6)a (75,5)a
Desquamation JSP (n = 63) 8 (12,7) (n = 246) 193 (n = 116) 69 (59,5) (n = 70) 4 (5,7) (n = 286) 223 - -
(n) Semaine 16 (78,5)a (78,0)a
Bimekizumab 320 mg /4 sem. = bimekizumab toutes les 4 semaines. L'imputation des non-répondeurs (NRI) a été utilisée.La réponse IGA 0/1 était définie comme Blanchi (0) ou Quasiment blanchi (1) avec une amélioration d'au moins 2 catégories entre l'inclusion et la semaine 16. La réponse IGA 0 était définie comme Blanchi (0) avec une amélioration d'au moins 2 catégories entre l'inclusion et la semaine 16.PSD est un Journal des symptômes du patient (Patient Symptoms Diary). La réponse PSD est définie comme une évolution de l'inclusion à la semaine 16 ≥ un seuil défini (1,98, 2,39 et 2,86 respectivement pour les douleurs, les démangeaisons et la desquamation). a) p < 0,001 versus placebo (BE VIVID et BE READY), versus adalimumab (BE SURE), ajusté pour la multiplicité. b) p < 0,001 versus ustékinumab (BE VIVID), ajusté pour la multiplicité.
Le traitement par bimekizumab a été associé à une apparition rapide de l'efficacité. Dans l'étude BE VIVID, aux semaines 2 et 4, les taux de réponse PASI 90 étaient significativement plus élevés chez les patients traités par bimekizumab (12,1 % et 43,6 % respectivement) par rapport à ceux traités par placebo (1,2 % et 2,4 % respectivement) et par ustékinumab (1,2 % et 3,1 % respectivement).
Figure 1: Taux de répondeurs PASI 90 au fil du temps dans l'étude BE VIVID

BKZ = Bimekizumab, Usté = Ustékinumab; la NRI est utilisée.
Remarque: Les patients du groupe placebo/BKZ sont passés du placebo au BKZ lors de la période d'entretien à partir de la semaine 16.
Dans l'étude BE VIVID, à la semaine 52, les patients traités par bimekizumab ont obtenu des taux de réponse significativement plus élevés que ceux traités par ustékinumab pour les critères d'évaluation PASI 90 (81,6 % sous bimekizumab vs 55,8 % sous ustékinumab, p < 0,001), de l'IGA 0/1 (77,9 % sous bimekizumab vs 60,7 % sous ustékinumab, p < 0,001) et du PASI 100 (64,2 % sous bimekizumab vs 38,0 % sous ustékinumab).
Dans l'étude BE SURE à la semaine 24, un pourcentage plus élevé de patients traités par bimekizumab ont obtenu des réponses PASI 90 et IGA 0/1 par rapport à l'adalimumab (85,6 % et 86,5 % respectivement vs 51,6 % et 57,9 % respectivement, p < 0,001). Parmi les 65 non-répondeurs à l'adalimumab à la semaine 24 (PASI < 90), 78,5 % ont obtenu une réponse PASI 90 après 16 semaines de traitement par bimekizumab. Chez les patients qui sont passés de l'adalimumab au bimekizumab, le profil de sécurité d'emploi est resté semblable. À la semaine 56, 70,2 % des patients traités par bimekizumab ont obtenu une réponse PASI 100.
Figure 2: Taux de répondeurs PASI 90 au fil du temps dans l'étude BE SURE

BKZ 320 mg /4 sem. = bimekizumab toutes les 4 semaines; BKZ 320 mg /8 sem. = bimekizumab toutes les 8 semaines; ADA = adalimumab.
Remarque: Ce graphique ne contient que les patients ayant reçu du bimekizumab à la semaine 24 ou ultérieurement. Les patients du groupe BKZ /4 sem./8 sem. sont passés d'une administration /4 sem. à /8 sem. à la semaine 16. Les patients du groupe ADA/BKZ 320 mg /4 sem. sont passés de l'ADA au BKZ /4 sem. à la semaine 24. La NRI est utilisée.
L'efficacité du bimekizumab a été démontrée indépendamment de l'âge, du sexe, de l'origine ethnique, de la durée de la maladie, du poids corporel, de la sévérité PASI à l'inclusion et d'un traitement antérieur par un agent biologique. Le bimekizumab a été efficace chez les patients exposés à un agent biologique antérieur, notamment un anti-TNF/anti-IL-17 ainsi que chez les patients naïfs de traitement systémique. Compte-tenu des analyses PK/PD de population étayées par les données cliniques, les patients avec un poids corporel élevé (≥120 kg) qui n'avaient pas obtenu un blanchiment cutané complet à la semaine 16 ont bénéficié de la poursuite du bimekizumab 320 mg toutes les quatre semaines (/4 sem.) après les 16 premières semaines de traitement.
Dans l'étude BE SURE, les patients ont reçu du bimekizumab 320 mg /4 sem. jusqu'à la semaine 16, puis une administration /4 sem. ou toutes les huit semaines (/8 sem.) jusqu'à la semaine 56, indépendamment du statut de répondeur à la semaine 16. Les patients du groupe ≥120 kg (N = 37) traités par le schéma d'entretien /4 sem. ont présenté une amélioration plus importante du PASI 100 entre la semaine 16 (23,5 %) et la semaine 56 (70,6 %) par rapport à ceux traités par le schéma d'entretien 8 sem. (semaine 16: 45,0 % vs semaine 56: 60,0 %).
Maintien de la réponse
Tableau 3: Maintien des réponses à la semaine 52 chez les répondeurs à la semaine 16*
PASI 100 PASI 90 IGA 0/1 PASI absolu ≤2
BKZ 320 mg /4 BKZ 320 mg /4 BKZ 320 mg /4 BKZ 320 mg /4 BKZ 320 mg /4 BKZ 320 mg /4 BKZ 320 mg /4 sem. BKZ 320 mg /4
sem./4 sem.(N = sem./8 sem.(N = sem./4 sem.(N = sem./8 sem.(N = sem./4 sem.(N = sem./8 sem.(N = /4 sem. (N = 511) n sem./8 sem.(N =
355) n (%) 182) n (%) 516) n (%) 237) n (%) 511) n (%) 234) n (%) (%) 238) n (%)
295 (83,1) 161 (88,5) 464 (89,9) 214 (90,3) 447 (87,5) 214 (91,5) 460 (90,0) 215 (90,3)
* Analyse intégrée des études BE VIVID, BE READY et BE SURE. La NRI est utilisée.BKZ 320 mg /4 sem.: bimekizumab 320 mg toutes les 4 semaines, puis bimekizumab 320 mg toutes les 4 semaines à partir de la semaine 16. BKZ 320 mg /8 sem.: bimekizumab 320 mg toutes les 4 semaines, puis bimekizumab 320 mg toutes les 8 semaines à partir de la semaine 16.
Durabilité de la réponse PASI 90 (après l'arrêt du bimekizumab)
Figure 3: Taux de répondeurs PASI 90 au fil du temps – Période randomisée permettant un retrait de l'étude BE READY

La NRI est utilisée.
Dans l'étude BE READY, pour les répondeurs PASI 90 à la semaine 16 qui ont été à nouveau randomisés afin de recevoir le placebo et de retirer le bimekizumab, le délai médian jusqu'à la rechute, définie comme une perte de réponse PASI 75, était d'environ 28 semaines (32 semaines après la dernière dose de bimekizumab). Parmi ces patients, 88,1 % ont de nouveau obtenu une réponse PASI 90 dans les 12 semaines suivant la reprise du traitement par bimekizumab 320 mg toutes les 4 semaines.
Régions corporelles spécifiques
Au cours des études BE VIVID et BE READY, des améliorations significatives du psoriasis du cuir chevelu, des ongles, de la paume des mains et de la plante des pieds ont été observées chez les patients traités par bimekizumab vs placebo à la semaine 16 (voir Tableau 4).
Tableau 4: Réponses des régions corporelles spécifiques dans les études BE VIVID et BE READY à la semaine 16
BE VIVID BE READY
Placebo BKZ 320 mg /4 sem. Ustékinumab Placebo BKZ 320 mg /4 sem.
IGA cuir chevelu (72) 11 (15,3) (285) 240 (84,2)b (146) 103 (70,5) (74) 5 (6,8) (310) 286 (92,3)b
(n)a IGA cuir
chevelu 0/ 1, n(%)
IGA-pp (n)a IGA-pp (29) 7 (24,1) (105) 85 (81,0) (47) 39 (83,0) (31) 10 (32,3) (97) 91 (93,8)
0/1, n (%)
mNAPSI 100 (n)a (51) 4 (7,8) (194) 57 (29,4) (109) 15 (13,8) (50) 3 (6,0) (210) 73 (34,8)
mNAPSI 100, n(%)
La NRI est utilisée.a) Comprend uniquement les patients avec une évaluation globale de l'investigateur (IGA) du cuir chevelu de 2 ou plus, une IGA palmo-plantaire de 2 ou plus et un score de l'Indice modifié de gravité du psoriasis unguéal (modified Nail Psoriasis Severity Index, mNAPSI) > 0 à l'inclusion. Les réponses IGA 0/1 pour le cuir chevelu et palmo-plantaire (IGA-pp 0/1) ont été définies comme Blanchi (0) ou Quasiment blanchi (1) avec une amélioration d'au moins 2 catégories par rapport à l'inclusion.b) p < 0,001 versus placebo, ajusté pour la multiplicité.
Les réponses IGA du cuir chevelu et palmo-plantaire se sont maintenues jusqu'à la semaine 52/56. Le psoriasis unguéal a continué à s'améliorer au-delà de la semaine 16. Dans l'étude BE VIVID, à la semaine 52, une plus grande proportion de patients traités par bimekizumab a obtenu une disparition complète du psoriasis unguéal (mNAPSI 100) que chez les patients traités par ustékinumab (60,3 % contre 40,4 %). Dans l'étude BE READY, à la semaine 56, 67,7 % et 69,8 % des répondeurs PASI 90 à la semaine 16 ont obtenu une disparition complète du psoriasis unguéal sous respectivement bimekizumab 320 mg toutes les 8 semaines et bimekizumab 320 mg toutes les 4 semaines.
Qualité de vie / Résultats rapportés par le patient
Dans les 3 études, à la semaine 16, le psoriasis ne présentait plus aucun impact sur la qualité de vie, mesurée par l'Indice de la qualité de vie en dermatologie (Dermatology Life Quality Index, DLQI) chez une plus grande proportion de patients traités par bimekizumab.
Dans l'étude BE READY, le taux de réponse DLQI 0/1 (pas d'impact du psoriasis sur la qualité de vie) à la semaine 16 était de 75,6 % dans le groupe bimekizumab contre 5,8 % dans le groupe placebo.
Dans l'étude BE VIVID, les taux de réponse DLQI 0/1 à la semaine 16 étaient de 67,3 %, 42,3 % et 12,0 % respectivement dans les groupes bimekizumab, ustékinumab- et placebo. Les réponses DLQI 0/1 ont continué à augmenter au-delà de la semaine 16, puis se sont maintenues jusqu'à la semaine 52 (74,8 % chez les patients traités par bimekizumab 320 mg toutes les 4 semaines).
Dans l'étude BE SURE, les taux de réponse DLQI 0/1 à la semaine 16 étaient de 63,0 % et 46,5 % respectivement dans les groupes bimekizumab et adalimumab. Le taux de réponse DLQI 0/1 à la semaine 56 était de 78,9 % et de 74,1 % chez les patients traités par bimekizumab 320 mg toutes les 8 semaines et par bimekizumab 320 mg toutes les 4 semaines, respectivement.
Étude d'extension de phase III en ouvert
Les patients ayant terminé l'une des études pivots de phase III ( "études mères" ) pouvaient participer à une étude d'extension en ouvert de 144 semaines (PS0014) visant à évaluer la sécurité d'emploi et l'efficacité à long terme du bimekizumab.
344 patients traités par 320 mg de bimekizumab toutes les 8 semaines (BKZ 320 mg 1x/8 sem.) ou toutes les 4 semaines (BKZ 320 mg 1x/4 sem.) au cours de l'étude mère et ayant obtenu un score PASI 90 à la fin de celle-ci, ont reçu le bimekizumab 320 mg 1x/8 sem. pendant toute la durée de l'étude PS0014. Sur le total de ces patients, 293 (85,2 %) ont terminé les 144 semaines de traitement par bimekizumab 320 mg 1x/8 sem. 48 patients (14,0 %) ont arrêté l'étude pendant la période de traitement, dont 21 (6,1 %) en raison d'un événement indésirable et 4 (1,2 %) en raison d'un manque d'efficacité.
Parmi les patients restés dans l'étude, les améliorations obtenues avec le bimekizumab sur les critères d'évaluation de l'efficacité PASI 90 et IGA 0/1 dans les études mères ont été maintenues pendant les 144 semaines supplémentaires du traitement en ouvert.
Période d'extension de la phase IIIb en ouvert
L'efficacité et la sécurité d'emploi du bimekizumab ont également été évaluées dans une étude en double aveugle comparée au sécukinumab, un inhibiteur d'IL-17A (BE RADIANT – PS0015).
À la semaine 48, les patients pouvaient participer à une période d'extension en ouvert (open label extension, OLE) de 96 semaines et commencer ou continuer le traitement par bimekizumab 320 mg 1x/4 semaines ou 320 mg 1x/8 semaines en fonction de leur statut de répondeur PASI 90 à la semaine 48. Les participants à l'étude qui avaient initialement reçu le bimekizumab 320 mg 1x/4 semaines au cours de la phase OLE étaient passés sous bimekizumab 320 mg 1x/8 semaines à la semaine 72 ou plus tard.
231 patients qui avaient été traités par bimekizumab 320 mg 1x/8 semaines ou bimekizumab 320 mg 1x/4 semaines et qui avaient obtenu un score PASI 90 à la semaine 48 ont reçu du bimekizumab 320 mg 1x/8 semaines pendant toute la période OLE. Parmi ces patients, 31 (13,4 %) ont arrêté l'étude pendant la période OLE, dont 10 (4,3 %) ont arrêté à cause d'un événement indésirable et 1 (0,4 %) en raison d'un manque d'efficacité.
116 patients qui avaient été traités par le sécukinumab et qui avaient obtenu un score PASI 90 à la semaine 48 ont reçu du bimekizumab 320 mg 1x/8 semaines pendant toute la période OLE. Parmi ces patients, 16 (13,8 %) ont arrêté l'étude pendant la période OLE, dont 6 (5,2 %) ont arrêté à cause d'un événement indésirable et 1 (0,9 %) en raison d'un manque d'efficacité.
Chez les patients restant dans l'étude, les améliorations obtenues à la semaine 48 avec le bimekizumab ou le sécukinumab pour les critères d'évaluation de l'efficacité suivants, les scores PASI 100, PASI 90, PASI 75 et la réponse PASI ≤2, ont été maintenues sous traitement par bimekizumab 320 mg 1x/8 semaines pendant 96 semaines supplémentaires de traitement en ouvert.
Le profil de sécurité du bimekizumab jusqu'à la semaine 144 était cohérent avec le profil de sécurité observé pendant 48 semaines.
Rhumatisme psoriasique (RP)
La sécurité et l'efficacité du bimekizumab ont été évaluées chez 1112 patients adultes (âgés d'au moins 18 ans) atteints de rhumatisme psoriasique (RP) actif dans deux études multicentriques, randomisées, en double aveugle, contrôlées contre placebo (PA0010 – BE OPTIMAL et PA0011 – BE COMPLETE). L'étude BE OPTIMAL comprenait un bras de traitement référence actif (adalimumab) (N = 140).
Pour les deux études, les patients avaient reçu un diagnostic de rhumatisme psoriasique actif depuis au moins 6 mois, basé sur les Critères de classification du rhumatisme psoriasique (Classification Criteria for Psoriatic Arthritis, CASPAR) et présentaient une maladie active avec un nombre d'articulations douloureuses (tender joint count, TJC) ≥3 et un nombre d'articulations gonflées (swollen joint count, SJC) ≥3. Les patients avaient reçu un diagnostic de RP depuis, 3,6 ans en médiane dans BE OPTIMAL et 6,8 ans dans BE COMPLETE. Des patients présentant plusieurs sous-types de RP ont été inclus dans ces études, dont l'arthrite symétrique polyarticulaire, l'arthrite asymétrique oligoarticulaire, une atteinte prédominante des articulations interphalangiennes distales, une atteinte prédominante axiale et l'arthrite mutilante. À l'inclusion, 55,9 % des patients présentaient ≥3 % de la surface corporelle (Body Surface Area, BSA) atteinte par un psoriasis en plaques actif. 10,4 % des patients étaient atteints d'un psoriasis en plaque modéré à sévère et 31,9 % et 12,3 % étaient atteints d'enthésite et de dactylite à l'inclusion, respectivement. Le critère d'évaluation principal dans les deux études était la réponse ACR 50 (American College of Rheumatology) à la semaine 16.
Les principaux critères d'évaluation secondaires à la semaine 16 dans les deux études étaient les suivants: variation par rapport à l'inclusion du Health Assessment Questionnaire - Disability Index (cfB HAQ-DI), réduction du Psoriasis Area and Severity Index de 90 % par rapport à l'inclusion (PASI90), variation par rapport à l'inclusion du score du questionnaire Short Form-36 (Short Form 36-item Health Survey (SF-36) Physical Component Summary [PCS]), réponse à l'activité minimale de la maladie (Minimal Disease Activity [MDA]), ainsi qu'état exempt d'enthésite et de dactylite basé sur les données poolées des deux études. Dans l'étude BE OPTIMAL, la variation par rapport à l'inclusion du score total de Sharp modifié par Van der Heijde (Van der Heijde modified Total Sharp Score, vdHmTSS) était également un critère secondaire important.
L'étude BE OPTIMAL a évalué 852 patients naïfs de toute exposition à un traitement biologique (bDMARDs) pour le traitement du rhumatisme psoriasique ou du psoriasis. Les patients ont été randomisés (selon un rapport de 3:2:1) afin de recevoir bimekizumab 160 mg toutes les 4 semaines jusqu'à la semaine 52 ou le placebo jusqu'à la semaine 16, suivi par bimekizumab 160 mg toutes les 4 semaines jusqu'à la semaine 52 ou ont été affectés à un bras de traitement de référence actif (adalimumab 40 mg toutes les 2 semaines) jusqu'à la semaine 52. Dans cette étude, 78,3 % des patients avaient reçu un traitement antérieur par ≥1 cDMARDs et 21,7 % des patients étaient naïfs de traitement antérieur par cDMARDs. À l'inclusion, 58,2 % des patients recevaient un traitement concomitant par méthotrexate (MTX), 11,3 % recevaient un traitement concomitant par d'autres cDMARDs que le MTX, et 30,5 % ne recevaient aucun cDMARDs.
L'étude BE COMPLETE a évalué 400 patients présentant une réponse inadéquate (manque d'efficacité) ou une intolérance au traitement par 1 ou 2 inhibiteurs du facteur de nécrose tumorale alpha (patients anti-TNFα-IR) pour le rhumatisme psoriasique ou le psoriasis. Les patients ont été randomisés (selon un rapport de 2:1) pour recevoir bimekizumab 160 mg toutes les 4 semaines ou le placebo jusqu'à la semaine 16. À l'inclusion, 42,5 % des patients recevaient un traitement concomitant par MTX, 8,0 % recevaient un traitement concomitant par d'autres cDMARDs que le MTX, et 49,5 % ne recevaient aucun cDMARDs. Dans cette étude, 76,5 % des participants ont présenté une réponse inadéquate à un inhibiteur du TNFα, 11,3% ont présenté une réponse inadéquate à 2 inhibiteurs du TNFα et 12,3 % étaient intolérants aux inhibiteurs du TNFα.
Signes et symptômes
Chez les patients naïfs de bDMARD (BE OPTIMAL) et les patients anti-TNFα-IR (BE COMPLETE), le traitement par bimekizumab s'est traduit par une amélioration significative des signes et symptômes et des mesures de l'activité de la maladie comparativement au placebo à la semaine 16, avec des taux de réponse similaires observés dans les deux populations de patients (voir Tableau 5). Dans l'évaluation selon ACR 50, MDA, PASI 90, la réponse clinique s'est maintenue jusqu'à la semaine 52 dans l'étude BE OPTIMAL.
Tableau 5: Réponse clinique dans les études BE OPTIMAL et BE COMPLETE
BE OPTIMAL (patients BE COMPLETE (anti-TN
naïfs de bDMARD) Fα-IR)
Placebo (N = 281) n BKZ 160 mg toutes Différence par Traitement de Placebo (N = 133) n BKZ 160 mg toutes Différence par
(%) les 4 semaines (N = rapport au placebo référence (e) (%) les 4 semaines (N = rapport au placebo
431) n (%) (IC à 95 %)(d) (Adalimumab) (N = 267) n (%) (IC à 95 %)(d)
140) n (%)
ACR 50 Semaine 16 28 (10,0) - 189 (43,9)* 196 33,9 (27,4; 40,4) 64 (45,7) 66 (47,1) 9 (6,8) 116 (43,4)* 36,7 (27,7; 45,7)
Semaine 24 Semaine (45,5) 235 (54,5) 70 (50,0)
52
MDA(a) Semaine 16 37 (13,2) - 194 (45,0)* 209 31,8 (25,2; 38,5) 63 (45,0) 67 (47,9) 8 (6,0) 118 (44,2)* 38,2 (29,2; 47,2)
Semaine 24 Semaine (48,5) 237 (55,0) 74 (52,9)
52
Patients avec BSA (N = 140) (N = 217) (N = 68) (N = 88) (N = 176)
≥3 %
PASI 90 Semaine 16 4 (2,9) - 133 (61,3)* 158 58,4 (49,9; 66,9) 28 (41,2) 32 (47,1) 6 (6,8) 121 (68,8)* 61,9 (51,5; 72,4)
Semaine 24 Semaine (72,8) 155 (71,4) 41 (60,3)
52
Patients avec LDI > (N = 47) (N = 90)
0 (b)
Résolution totale 24 (51,1) 68 (75,6)*** 24,5 (8,4; 40,6)
de dactylite (b)
Semaine 16
Patients avec LEI > (N = 106) (N = 249)
0 (c)
Résolution totale 37 (34,9) 124 (49,8)** 14,9 (3,7; 26,1)
d'enthésite (c)
Semaine 16
BKZ 160 mg toutes les 4 semaines = bimekizumab 160 mg toutes les 4 semaines. IC = intervalle de confiance, NC = ne peut être déterminé (not calculable).
(a) Un patient était classé comme atteignant l'activité minimale de la maladie (Minimal Disease Activity, MDA) lorsqu'il répondait à 5 des 7 critères suivants: nombre d'articulations douloureuses ⩽1; nombre d'articulations gonflées ⩽1; Indice d'activité et de sévérité du psoriasis ⩽1 ou surface corporelle ⩽3; échelle analogique visuelle (Visual Analogic scale, VSA) de la douleur du patient ⩽15; VSA de l'activité globale de la maladie du patient ⩽20; Questionnaire d'évaluation de la santé- Indice d'invalidité(Health Assessment Questionnaire Disability Index, HAQ-DI) ⩽0,5; points d'enthèse douloureux ⩽1
(b) Basé sur les données regroupées des études BE OPTIMAL et BE COMPLETE pour les patients présentant un Indice de dactylite de Leeds (LDI) à l'inclusion > 0. La résolution totale de la dactylite correspond à un LDI = 0
(c) Basé sur les données regroupées des études BE OPTIMAL et BE COMPLETE pour les patients présentant un Indice d'enthésite de Leeds (LEI) à l'inclusion > 0. La résolution totale de l'enthésite correspond à un LEI = 0
(d) Les différences non ajustées sont présentées
(e) Aucune comparaison statistique avec le bimekizumab ou le placebo n'a été effectuée
* p < 0,001 versus placebo ajusté pour la multiplicité.
** p = 0,008 versus placebo ajusté pour la multiplicité.
*** p = 0,002 versus placebo ajusté pour la multiplicité. La NRI est utilisée. Les autres critères d'évaluation à la semaine 16 et tous les critères d'évaluation aux semaines 24 et 52 ne faisaient pas partie de la hiérarchie des tests séquentiels et toutes les comparaisons sont nominales
Les résultats de l'étude BE OPTIMAL ont été similaires pour les patients précédemment traités par cDMARD (ACR50 semaine 16: bimekizumab 160 mg toutes les 4 semaines: 43,5 %, placebo: 9,5 %).
Pour les patients de BE OPTIMAL sous bimekizumab, des améliorations par rapport à l'inclusion ont été constatées à la semaine 16 pour chacun des composants ACR, qui se sont poursuivies jusqu'à la semaine 52.
La réponse au traitement par bimekizumab était significativement plus élevée à la semaine 4 pour l'ACR 50 (BE OPTIMAL 17,6 % versus 3,2 %, p nominal < 0,001 et BE COMPLETE 16,1 % versus 1,5 %, p nominal < 0,001) que sous placebo.
Pour les patients traités par bimekizumab ayant obtenu une réponse ACR50 à la semaine 16 dans l'étude BE OPTIMAL, 87,2 % maintenaient cette réponse à la semaine 52.
L'efficacité et la sécurité d'emploi du bimekizumab ont été démontrées indépendamment de l'âge, du sexe, de l'origine ethnique, du poids corporel à l'inclusion, de l'atteinte psoriasique à l'inclusion, de la CRP à l'inclusion, de la durée de la maladie et de l'utilisation antérieure de cDMARD. Dans les deux études, des réponses similaires ont été observées avec bimekizumab que les patients soient sous traitement concomitant par cDMARDs, comprenant du MTX, ou non.
Réponse radiographique
Dans l'étude BE OPTIMAL, l'inhibition de la progression des lésions structurales a été évaluée radiographiquement et exprimée en variation par rapport à l'inclusion, du score total de Sharp modifié par Van der Heijde (Van der Heijde Modified Total Sharp Scores, vdHmTSS) et ses composants, le score d'érosion (Erosion Score, ES) et le score de pincement articulaire (Joint Space Narrowing, JSN) à la semaine 16 (voir Tableau 6).
Tableau 6: Variation du vdHmTSS dans l'étude BE OPTIMAL à la semaine 16
Placebo BKZ 160 mg toutes Différence par
les 4 semaines rapport au placebo
(IC à 95 %) a)
Population présentant une (N = 227) (N = 361)
augmentation de la hs-CRP et/ou
au moins 1 érosion osseuse par
rapport à l'inclusion
Variation moyenne par rapport à 0,36 (0,10) 0,04 (0,05)* -0,32 (-0,35; -0,30)
l'inclusion (SE)
Population globale (N = 269) (N = 420)
Variation moyenne par rapport à 0,32 (0,09) 0,04 (0,04)* -0,26 (-0,29; -0,23)
l'inclusion (SE)
*p = 0,001 par rapport au placebo. Les valeurs p reposent sur une imputation basée sur les références utilisant la différence de moyenne des moindres carrés à l'aide d'un modèle ANCOVA avec le traitement, l'érosion osseuse à l'inclusion et la région comme effets fixes et le score à l'inclusion comme covariables.
Les données récapitulatives de la semaine 16 sont basées sur le premier ensemble de valeurs pour l'analyse primaire.
a)Les différences non ajustées sont affichées
Le bimekizumab a significativement inhibé la progression des dommages articulaires jusqu'à la semaine 16, à la fois dans la population présentant une hs-CRP élevée et/ou au moins une érosion osseuse par rapport à l'inclusion et dans la population globale par rapport au placebo. Bien que l'imputation basée sur les références ait été définie comme une méthode permettant de traiter les données manquantes dans la procédure de test statistique pour comparer le bimekizumab et le placebo, les variations par rapport à l'inclusion ont été observés à la fois dans la population présentant une hs-CRP élevée et/ou au moins une érosion osseuse et dans la population totale à la semaine 16 dans le bras bimekizumab (variation moyenne par rapport à l'inclusion de 0,01 et 0,01, respectivement) et dans le bras adalimumab (variation moyenne par rapport à l'inclusion de -0,05 et 0,03, respectivement) également calculée par imputation multiple standard. L'inhibition de la progression des dommages articulaires a été maintenue à la fois dans la population présentant une hs-CRP élevée et/ou au moins une érosion osseuse par rapport à l'inclusion et dans la population globale jusqu'à la semaine 52 dans le bras bimekizumab (variation moyenne par rapport à l'inclusion 0,10 et 0,10 respectivement) et dans le bras adalimumab (variation moyenne par rapport à l'inclusion -0,17 et 0,12 respectivement).
Le pourcentage observé de patients ne présentant pas de progression radiographique des dommages articulaires (définie comme une variation du mTSS ≤0,5 par rapport à l'inclusion) depuis la randomisation jusqu'à la semaine 52 était de 87,9 % (N = 276/314) pour bimekizumab, de 84,8 % (N = 168/198) pour les participants à l'étude sous placebo et passés au bimekizumab et de 94,1 % (N = 96/102) pour l'adalimumab dans la population présentant une CRP-hs élevée et/ou au moins 1 érosion osseuse. Des taux similaires ont été observés dans la population globale (89,3 % (N = 326/365) pour bimekizumab, 87.3 % (N = 207/237) pour les participants à l'étude sous placebo et passé au bimekizumab, et 94,1% (N = 111/118) pour l'adalimumab).
Fonction physique et autres résultats liés à la santé
A la fois les patients naïfs de bDMARDs (BE OPTIMAL) et ceux antiTNFα-IR (BE COMPLETE) recevant bimekizumab ont montré par rapport à l'inclusion une amélioration significative de la fonction physique comparativement aux patients sous placebo à la semaine 16 (p < 0,001) selon l'évaluation HAQ-DI (variation de la moyenne des moindres carrés par rapport à l'inclusion: - 0,3 versus – 0,1 dans l'étude BE OPTIMAL et – 0,3 versus 0 dans l'étude BE COMPLETE, respectivement). Dans les deux études, une plus grande proportion de patients a obtenu une réduction cliniquement significative par rapport à l'inclusion, d'au moins 0,35 du score HAQ-DI dans le groupe bimekizumab comparé au groupe placebo à la semaine 16.
Les patients traités par bimekizumab ont rapporté une amélioration significative par rapport à l'inclusion de la composante physique du score SF-36 PCS (Short-Form 36 item - Health Survey Physical Component Summary) à la semaine 16 comparativement au placebo (variation de la moyenne des moindres carrés par rapport à l'inclusion: 6,3 versus 1,9, p < 0,001 dans l'étude BE OPTIMAL et 6,2 versus 0,1, p < 0,001 dans l'étude BE COMPLETE).
Dans les deux études, les patients traités par bimekizumab ont rapporté une réduction significative par rapport à l'inclusion de la fatigue, mesurée par le score FACIT-F (Functional Assessment of Chronic llness Therapy -Fatigue) à la semaine 16 comparativement au placebo. Une amélioration significative par rapport à l'inclusion a également été observée pour le score PsAID-12 (Psoriatic Arthritis Impact of Disease-12) dans le groupe traité par bimekizumab comparativement au groupe placebo à la semaine 16.
Les patients présentant une atteinte axiale à l'inclusion, environ 74 % des patients, (définie comme un score BASDAI ≥4 [Bath Ankylosing Spondylitis Disease Activity Index]) ont montré une amélioration plus élevée du score BASDAI par rapport à l'inclusion comparativement au placebo à la semaine 16.
Les améliorations obtenues à la semaine 16 dans toutes les mesures de la fonction physique et autres résultats de santé mentionnées ci-dessus (scores HAQ-DI, SF-36 PCS, FACIT-Fatigue, PsAID-12 et BASDAI) ont été maintenues jusqu'à la semaine 52 dans l'étude BE OPTIMAL.
Dans l'étude BE OPTIMAL, à la semaine 52, 65,5 % des patients traités par bimekizumab ont obtenu une résolution unguéale complète (mNAPSI=0 [Indice de sévérité du psoriasis unguéal modifié] chez les patients présentant un mNAPSI supérieur à 0 à l'inclusion).
Spondyloarthrite axiale (nr-axSpA-nr et SA)
La sécurité et l'efficacité du bimekizumab ont été évaluées chez 586 patients adultes (âgés d'au moins 18 ans) atteints de spondyloarthrite axiale (axSpA) active, dans deux études multicentriques, randomisées, en double aveugle, contrôlées contre placebo, l'une menée sur la spondyloarthrite axiale non radiographique (nr-axSpA) et l'autre menée sur la spondylarthrite ankylosante (SA), également appelée axSpA radiographique. Le critère d'évaluation principal dans les deux études était le pourcentage de patients ayant obtenu une réponse à l'Assessment of SpondyloArthritis International Society (ASAS) 40 à la semaine 16. Des résultats cohérents ont été observés dans les deux populations de patients.
L'étude BE MOBILE 1 (AS0010) a évalué 254 patients atteints de nr-axSpA active. Les patients avaient une axSpA (âge d'apparition des symptômes < 45 ans) répondant aux critères de classification de l'ASAS et avaient une maladie active, telle que définie par un indice BASDAI (Bath Ankylosing Spondylitis Disease Activity Index) ≥4 et une douleur rachidienne ≥4 sur une échelle de notation numérique (ENN) de 0 à 10 (d'après le 2ème Item du BASDAI 2) et aucune preuve d'évolution radiographique au niveau des articulations sacro-iliaques susceptible de répondre aux critères de New York modifiés pour la SA. Les patients présentaient également des signes objectifs d'inflammation, se traduisant par des concentrations élevées de protéine C réactive (CRP) et/ou des signes de sacro-iliite à l'imagerie par résonance magnétique (IRM), ainsi que des antécédents de réponse inadéquate à 2 antiinflammatoires non stéroïdiens (AINS) différents ou une intolérance ou une contre-indication aux AINS. Les patients ont été randomisés (selon un rapport de 1:1) pour recevoir bimekizumab 160 mg toutes les 4 semaines jusqu'à la semaine 52 ou du placebo jusqu'à la semaine 16, suivi par bimekizumab 160 mg toutes les 4 semaines jusqu'à la semaine 52. Lors de la visite d'inclusion, les patients présentaient des symptômes de nr-axSpA en moyenne depuis 9 ans (médiane de 5,5 ans). 10,6 % des patients avaient reçu un traitement antérieur par anti-TNFα.
L'étude BE MOBILE 2 (AS0011) a évalué 332 patients atteints de SA active, documentée par des preuves radiologiques (radiographie) répondant aux critères de New York modifiés pour la SA. Les patients étaient atteints d'une maladie active, telle que définie par un BASDAI ≥4 et une douleur rachidienne ≥4 sur une échelle de notation numérique (ENN) de 0 à 10 (d'après le 2ème Item du BASDAI). Les patients devaient avoir des antécédents de réponse inadéquate à 2 AINS différents, ou une intolérance ou une contre-indication aux AINS. Les patients ont été randomisés (selon un rapport de 2:1) pour recevoir bimekizumab 160 mg toutes les 4 semaines jusqu'à la semaine 52 ou du placebo jusqu'à la semaine 16 suivi par bimekizumab 160 mg toutes les 4 semaines jusqu'à la semaine 52. Lors de la visite d'inclusion, les patients présentaient des symptômes de SA en moyenne depuis 13,5 ans (médiane de 11 ans). 16,3 % des patients avaient reçu un traitement antérieur par anti-TNFα.
Réponse clinique
Le traitement par bimekizumab s'est traduit par une amélioration significative des signes et des symptômes et des mesures de l'activité de la maladie par rapport au placebo à la semaine 16 dans les populations de patients nr-axSpA et SA (voir Tableau 7). Les réponses cliniques ont été maintenues jusqu'à la semaine 52 dans les deux populations de patients, comme montré par tous les critères mesurés présentés dans le Tableau 7.
Tableau 7: Réponse clinique dans les études BE MOBILE 1 et BE MOBILE 2
BE MOBILE 1 (nr-ax-S BE MOBILE 2 (SA)
pAax)
Placebo (N = 126) n BKZ 160 mg Q4W (N = Différence par Placebo (N = 111) n BKZ 160 mg toutes Différence par
(%) 128) n (%) rapport au placebo (%) les 4 semaines (N = rapport au placebo
(IC à 95 %)a) 221) n (%) (IC à 95 %)a)
ASAS 40 Semaine 16 27 (21,4) 61 (47,7)* 78 (60,9) 26,2 (14,9; 37,5) 25 (22,5) 99 (44,8)* 129 22,3 (11,5; 33,0)
Semaine 52 (58,4)
ASAS 40 sans prétrai (N = 109) 25 (22,9) (N = 118) 55 (46,6) 24,8 (12,4; 37,1) (N = 94) 22 (23,4) (N = 184) 84 (45,7)* 22,3 (10,5; 34,0)
tement anti-TNFα 73 (61,9) 108 (58,7)
Semaine 16 Semaine
52
ASAS 20 Semaine 16 48 (38,1) 88 (68,8)* 94 (73,4) 30,7 (19,0; 42,3) 48 (43,2) 146 (66,1)* 158 22,8 (11,8; 33,8)
Semaine 52 (71,5)
ASDAS – amélioration 9 (7,1) 35 (27,3)* 47 (36,7) 20,2 (11,2; 29,3) 6 (5,4) 57 (25,8)* 71 (32,1) 20,4 (11,7; 29,1)
significative
Semaine 16 Semaine
52
BASDAI 50 Semaine 27 (21,4) 60 (46,9) 69 (53,9) 25,3 (14,0; 36,6) 29 (26,1) 103 (46,6) 119 20,5 (9,6; 31,4)
16 Semaine 52 (53,8)
BKZ 160 mg Q4W = bimekizumab 160 mg toutes les 4 semaines. ASDAS = Ankylosing Spondylitis Disease Activity Score.
La NRI est utilisée.
a) Les différences non ajustées sont présentées.
* p < 0,001 vs placebo, corrigé pour la multiplicité.
La proportion de patients dans l'étude BE MOBILE 1 atteignant un score ASDAS < 2,1 (combinant ASDAS-inactive disease [maladie inactive; ID] et ASDAS-low disease [faible activité de la maladie; LD] à la semaine 16 était de 46,1 % dans le groupe bimekizumab contre 21,1 % dans le groupe placebo (imputation multiple). A la semaine 52, 61,6 % des patients du groupe bimekizumab ont obtenu un score ASDAS < 2,1, dont 25,2 % étaient en état de maladie inactive (score ASDAS < 1,3).
La proportion de patients dans l'étude BE MOBILE 2 atteignant un score ASDAS < 2,1 (combinant ASDAS-ID et ASDAS-LD) à la semaine 16 était de 44,8 % dans le groupe bimekizumab contre 17,4 % dans le groupe placebo (imputation multiple). A la semaine 52, 57,1 % des patients dans le groupe bimekizumab ont obtenu un score ASDAS < 2,1, dont 23,4 % étaient en état de maladie inactive (score ASDAS < 1,3).
Les quatre composantes de l'ASAS 40 (douleur rachidienne totale, raideur matinale, indice BASFI [Bath Ankylosing Spondylitis Functional Index] et PGADA [Patient's Global Assessment of Disease Activity, évaluation globale de l'activité de la maladie par le patient]) ont été améliorées avec le traitement par bimekizumab et ont contribué à la réponse ASAS 40 globale à la semaine 16; ces améliorations ont été maintenues jusqu'à la semaine 52 dans les deux populations de patients.
Les améliorations d'autre critères d'efficacité sont présentées dans le Tableau 8.
Tableau 8: Autres critères d'efficacité dans les études BE MOBILE 1 et BE MOBILE 2
BE MOBILE 1 (SpAax-n BE MOBILE 2 (SA)
r)
Placebo (N = 126) BKZ 160 mg toutes Placebo (N = 111) BKZ 160 mg toutes
les 4 semaines (N = les 4 semaines (N =
128) 221)
Douleurs rachidienne 6,7 -1,7 6,9 -3,6* -4,3 6,8 -1,9 6,6 -3,3* -4,1
s nocturnes Inclusio
n Variation moyenne
entre l'inclusion
et la semaine 16
Variation moyenne
entre l'inclusion
et la semaine 52
BASDAI Inclusion 6,7 -1,5 6,9 -3,1* -3,9 6,5 -1,9 6,5 -2,9* -3,6
Variation moyenne
entre l'inclusion
et la semaine 16
Variation moyenne
entre l'inclusion
et la semaine 52
BASMI Inclusion 3,0 -0,1 2,9 -0,4 -0,6 3,8 -0,2 3,9 -0,5** -0,7
Variation moyenne
entre l'inclusion
et la semaine 16
Variation moyenne
entre l'inclusion
et la semaine 52
hs-CRP (mg/l) 5,0 0,8 4,6 0,4 0,4 6,7 0,9 6,5 0,4 0,3
Inclusion (moyenne
géométrique) Ratio
entre l'inclusion
et la Semaine 16
Ratio entre l'inclus
ion et la Semaine 52
BASMI = Bath Ankylosing Spondylitis Metrology Index. Hs-CRP = protéine C-réactive à haute sensibilité
L'IM est utilisée.
*p < = 0,001 imputation basée sur les références, versus placebo, corrigée pour la multiplicité. **p < 0,01 imputation basée sur les références, versus placebo, corrigée pour la multiplicité.
Le bimekizumab était associé à une apparition rapide de l'efficacité dans les populations de patients atteints de nr-axSpA et de SA.
Figure 4: Réponse ASAS 40 au fil du temps jusqu'à la semaine 52 dans l'étude BE MOBILE 1 (NRI)

Les patients sous placebo sont passés à 160 mg de bimekizumab toutes les 4 semaines à la semaine 16.
Figure 5: Réponse ASAS 40 au fil du temps jusqu'à la semaine 52 dans l'étude BE MOBILE 2 (NRI)

Les patients sous placebo sont passés à 160 mg de bimekizumab toutes les 4 semaines à la semaine 16.
Dans une analyse groupée des études BE MOBILE 1 et BE MOBILE 2, parmi les patients traités par bimekizumab qui ont obtenu une réponse ASAS 40 à la semaine 16, 82,1 % ont maintenu cette réponse à la semaine 52.
L'efficacité du bimekizumab a été démontrée quels que soient l'âge, le sexe, l'origine ethnique, la durée de la maladie, le statut inflammatoire à l'inclusion, le score ASDAS à l'inclusion, et les traitements concomitants par cDMARDs.
A la semaine 16, parmi les patients atteints d'enthésite à l'inclusion, la proportion de patients (NRI) présentant une résolution enthésitique évaluée selon l'indice MASES (Maastricht Ankylosing Spondylitis Enthesitis) était supérieure avec bimekizumab par rapport au placebo (BE MOBILE 1: 51,1 % versus 23,9 % et BE MOBILE 2: 51,5 % versus 32,8 %). La résolution enthésitique avec bimekizumab s'est maintenue jusqu'à la semaine 52 dans les deux études (BE MOBILE 1: 54,3 % et BE MOBILE 2: 50,8 %).
Réduction de l'inflammation
Bimekizumab a réduit l'inflammation évaluée par la CRP-us (voir Tableau 9) et par IRM dans une sous-étude d'imagerie. Les signes d'inflammation ont été évalués par IRM à l'inclusion et à la semaine 16 et exprimés en variation par rapport à l'inclusion du score SPARCC (Spondyloarthritis Research Consortium of Canada) pour les articulations sacro-iliaques et du score ASspiMRI-a (Ankylosing Spondylitis spine Magnetic Resonance Imagine-activity, score modifié de Berlin) pour le rachis. Une réduction des signes d'inflammation a été observée à la fois dans les articulations sacro-iliaques et le rachis chez les patients traités par bimekizumab comparativement au placebo (voir Tableau 9). La réduction de l'inflammation mesurée par la CRP-us et par IRM a été maintenue jusqu'à la semaine 52.
Tableau 9: Réduction de l'inflammation selon l'IRM dans les études BE MOBILE 1 et BE MOBILE 2
BE MOBILE 1 ((nr-axS BE MOBILE 2 (SA)
pA)
Placebo BKZ 160 mg toutes Placebo BKZ 160 mg toutes
les 4 semaines les 4 semaines
Score SPARCC Variati -1,56 (N = 62) -6,15 (N = 78) 0,59 (N = 46) -4,51 (N = 81)
on moyenne entre -7,57 (N = 67) -4,67 (N = 78)
l'inclusion a) et
la semaine 16
Variation moyenne
entre l'inclusion
a) et la semaine 52
Score ASspiMRI 0,03 (N = 60) -0,36 (N = 74) -0,34 (N = 46) -2,23 (N = 81)
(dans la modificatio -0,70 (N = 65) -2,38 (N = 77)
n de Berlin) Variati
on moyenne entre
l'inclusion a) et
la semaine 16
Variation moyenne
entre l'inclusion
a) et la semaine 52
a)Les valeurs de la variation par rapport à l'inclusion sont basées sur les cas observés et ont été déterminées par l'évaluation centrale de l'ensemble de données de la semaine 52.
Fonction physique et autres résultats de santé
Les patients traités par bimekizumab ont montré une amélioration significative par rapport à l'inclusion de la fonction physique évaluée par l'indice BASFI par rapport au placebo (Variation de la moyenne des moindres carrés entre l'inclusion et la semaine 16 dans BE MOBILE 1: -2,4 versus -0,9, p < 0,001 et dans BE MOBILE 2: -2,0 versus -1,0, p < 0,001). Les patients traités par bimekizumab ont rapporté une amélioration significative par rapport à l'inclusion du score SF-36 PCS par rapport aux patients traités par placebo (Variation de la moyenne des moindres carrés entre l'inclusion et la semaine 16 dans BE MOBILE 1: 9,3 versus 5,4, p < 0,001 et dans BE MOBILE 2: 8,5 versus 5,2, p < 0.001).
Les patients traités par bimekizumab ont rapporté une amélioration significative par rapport à l'inclusion en termes de qualité de vie liée à la santé mesurée par le questionnaire ASQoL (AS Quality of Life Questionnaire) par rapport aux patients sous placebo (variation de la moyenne des moindres carrés entre l'inclusion et la semaine 16 dans BE MOBILE 1: -4,9 versus -2,3, p < 0,001 et dans BE MOBILE 2: -4,6 versus -3,0, p < 0,001) ainsi qu'une réduction significative de la fatigue, évaluée par le score FACIT-Fatigue (variation moyenne entre l'inclusion et la semaine 16 dans BE MOBILE 1: 8,5 pour bimekizumab versus 3,9 pour le placebo et dans BE MOBILE 2: 8,4 pour bimekizumab versus 5,0 pour le placebo).
Les améliorations obtenues à la semaine 16 dans toutes les mesures de la fonction physique et autres résultats de santé mentionnées ci-dessus (BASFI, SF-36 PCS, ASQoL et FACIT-Fatigue) ont été maintenues jusqu'à la semaine 52 dans les deux études.
Manifestation extra-articulaire
Dans les données groupées de BE MOBILE 1 (nr-axSpA) et BE MOBILE 2 (SA), à la semaine 16, la proportion de patients développant un événement d'uvéite était inférieure avec bimekizumab (0,6 %) par rapport au placebo (4,6 %). L'incidence d'uvéite est restée faible avec le traitement à long-terme par bimekizumab (1,2/100 patient-années dans les études groupées de phase II/III).
Hidradénite suppurée
La sécurité et l'efficacité du bimekizumab ont été évaluées chez 1 014 patients adultes (âgés d'au moins 18 ans) atteints d'hidradénite suppurée (HS) modérée à sévère dans deux études de phase III, multicentriques, randomisées, en double aveugle, contrôlées contre placebo (HS0003 – BE HEARD I et HS0004 – BE HEARD II). Les patients avaient reçu un diagnostic de HS depuis au moins 6 mois avec une maladie de stade II ou III selon la classification de Hurley, présentaient ≥5 lésions inflammatoires (c-à-d., nombre d'abcès plus nombre de nodules inflammatoires) et avaient des antécédents de réponse insuffisante à une cure d'antibiotiques systémiques pour le traitement de l'HS.
Dans les deux études, les patients ont été randomisés (2:2:2:1) pour recevoir le bimekizumab 320 mg toutes les 2 semaines pendant 48 semaines (320 mg 1x/2 sem. puis 1x/2 sem.) ou le bimekizumab 320 mg toutes les 4 semaines pendant 48 semaines (320 mg 1x/4 sem. puis 1x/4 sem.) ou le bimekizumab 320 mg toutes les 2 semaines jusqu'à la semaine 16 suivi par 320 mg toutes les 4 semaines jusqu'à la semaine 48 (320 mg 1x/2 sem. puis 1x/4 sem.) ou le placebo jusqu'à la semaine 16 suivi par le bimekizumab 320 mg toutes les 2 semaines jusqu'à la semaine 48. Le recours à un antibiotique oral concomitant était autorisé si le patient était traité selon un schéma posologique stable de doxycycline, minocycline, ou une tétracycline systémique équivalente pendant 28 jours avant l'inclusion.
Le critère d'évaluation principal de l'efficacité dans les deux études était la Réponse clinique de 50 % de l'hidradénite suppurée (Hidradenitis Suppurativa Clinical Response 50, HiSCR50) à la semaine 16, c-à-d., une réduction d'au moins 50 % du nombre total d'abcès et de nodules inflammatoires sans augmentation du nombre d'abcès ou de fistules drainantes par rapport à l'inclusion. Les critères d'évaluation secondaires comprenaient la proportion de sujets atteignant une réponse HiSCR75.
Les caractéristiques à l'inclusion étaient cohérentes entre les deux études, et reflétaient une population avec une HS modérée à sévère. Les patients présentaient une durée médiane de la maladie de 5,3 ans (moyenne de 8,0 ans). Les proportions de patients au stade II et III de la classification de Hurley étaient de 55,7 % (50,3 % dans l'étude HS0003 et 61,1 % dans l'étude HS0004) et de 44,3 % (49,7 % dans l'étude HS0003 et 38,9 % dans l'étude HS0004) respectivement, et 8,5 % recevaient un traitement antibiotique concomitant pour l'HS. Le score total moyen de l'indice de qualité de vie en dermatologie (Dermatology Life Quality Index, DLQI) à l'inclusion était de 11,4.
56,8 % des patients étaient des femmes et l'âge moyen de tous les patients était de 36,6 ans. 79,7 % des patients étaient blancs, et 10,8 % étaient noirs ou afro-américains. 45,6 % des patients étaient fumeurs actifs.
Réponse clinique
Le traitement par bimekizumab a donné lieu, à la semaine 16, à une amélioration cliniquement significative de l'activité de la maladie comparé au placebo. Les principaux résultats d'efficacité sont présentés dans le tableau 10. Les résultats du tableau 10 tiennent compte de l'analyse principale prédéfinie dans laquelle l'utilisation de toute administration d'antibiotique systémique avant la semaine 16 a entraîné une imputation d'une non-réponse.
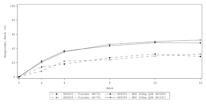
Tableau 10: Réponse dans les études BE HEARD I et BE HEARD II à la semaine 16 – analyse principalea
BE HEARD I BE HEARD II
Placebo (N = 72) BKZ 320 mg 1x/2 Placebo (N = 74) BKZ 320 mg 1x/2
sem. (N = 289) sem. (N = 291)
HiSCR50, % (IC à 28,7 (18,1, 39,3) 47,8* (41,8, 53,7) 32,2 (21,4, 42,9) 52,0* (46,1, 57,8)
95%)
HiSCR75, % (IC à 18,4 (9,3, 27,5) 33,4* (27,8, 39,1) 15,6 (7,2, 24,0) 35,7* (30,1, 41,3)
95%)
a) Les patients qui, pour une raison quelconque, ont pris des antibiotiques systémiques jusqu'à la semaine 16 (nouvel antibiotique ou modification de la dose/du type d'antibiotique actuel) ou qui ont arrêté le traitement en raison d'effets indésirables ou d'un manque d'efficacité ont été considérés comme non répondeurs lors de toutes les visites suivantes. Les autres données manquantes ont été remplacées par des imputations multiples.
*p < 0,025 versus placebo, ajusté pour la multiplicité par le test hiérarchique.
Dans les deux études, les patients traités par bimekizumab ont présenté une diminution numérique plus importante des douleurs cutanées les plus intenses (douleurs liées aux lésions) à la semaine 16, mesurées sur une échelle NRS comprise entre 0 et 10, par rapport au placebo.
Dans les deux études, le bimekizumab a commencé à agir dès la semaine 2 et son efficacité s'est accrue jusqu'à la semaine 16.
La figure 6 montre la proportion de patients ayant atteint une réponse HiSCR50 dans BE HEARD I et BE HEARD II jusqu'à la semaine 16.
Figure 6: Proportion de patients ayant atteint la réponse HiSCR50 dans BE HEARD I et BE HEARD II jusqu'à la semaine 16.

BKZ=bimekizumab; HiSCR= réponse clinique à l'hidradénite suppurative; HS=hidradenitis suppurativa; Q2W= toutes les deux semaines
Les patients qui, pour une raison quelconque, ont pris des antibiotiques systémiques jusqu'à la semaine 16 (nouvel antibiotique ou modification de la dose/du type d'antibiotique actuel) ou qui ont arrêté le traitement en raison d'effets indésirables ou d'un manque d'efficacité ont été considérés comme non répondeurs lors de toutes les visites suivantes. Les autres données manquantes ont été remplacées par des imputations multiples.
L'efficacité du bimekizumab a été démontrée à la semaine 16, indépendamment de l'âge, du sexe, de l'origine ethnique, de la durée de la maladie, du poids, des antécédents de traitement biologique, de la prise d'antibiotiques systémiques, du stade de Hurley et du tabagisme.
La réponse clinique (réponse HiSCR50) s'est maintenue jusqu'à la semaine 48 chez les patients traités par 320 mg toutes les 2 ou 4 semaines dans les deux études avec un taux de réponse de 61,4% en BE HEARD I et 63,8% en BE HEARD II.
Qualité de vie liée à la santé
Dans les deux études, les patients traités par bimekizumab ont présenté à la semaine 16 une amélioration numérique supérieure de leur qualité de vie liée à la santé, telle que mesurée par le DLQI dermatologique standard, par rapport au placebo.
PharmacocinétiqueLes propriétés pharmacocinétiques (PK) du bimekizumab étaient comparables chez les patients atteints de psoriasis en plaques, de rhumatisme psoriasique et de spondyloarthrite axiale (nr-axSpA et SA).
D'après les analyses PK de population et en utilisant un poids corporel de référence de 90 kg, la clairance apparente et le volume de distribution du bimekizumab chez les patients atteints d'hidradénite suppurée étaient respectivement estimés à environ 31 et 18 % plus élevée que pour les indications mentionnées ci-dessus, avec une demi-vie estimée de 20 jours pour l'HS. Par conséquent, la concentration résiduelle médiane à l'état d'équilibre après l'administration d'une dose de 320 mg toutes les 4 semaines était inférieure d'environ 40 % dans l'HS comparativement aux autres indications.
Absorption
D'après l'analyse pharmacocinétique de population, suite à une seule dose sous-cutanée de 320 mg administrée à des patients atteints de psoriasis en plaques, le bimekizumab a atteint une concentration plasmatique maximale médiane (2,5ème - 97,5ème percentiles) de 25 (12 - 50) μg/mL, entre 3 et 4 jours après l'administration de la dose.
L'analyse pharmacocinétique de population a montré que le bimekizumab était absorbé avec une biodisponibilité absolue moyenne de 70,1 % chez des volontaires sains.
Distribution
D'après les analyses de pharmacocinétique de population, le volume de distribution (V/F) médian (coefficient de variation en %) à l'état d'équilibre était de 11,2 litres (30,5 %) chez les patients atteints de psoriasis en plaques.
Métabolisme
Le bimekizumab est un anticorps monoclonal qui devrait être dégradé en petits peptides et acides aminés par des voies cataboliques de la même manière que les immunoglobulines endogènes.
Élimination
D'après les analyses de pharmacocinétique de population, la clairance apparente (CL/F) médiane (coefficient de variation en %) du bimekizumab était de 0,337 litre/jour (32,7 %) et la demi-vie d'élimination terminale moyenne du bimekizumab était de 23 jours dans les études cliniques menées sur des patients atteints de psoriasis en plaques.
D'après des données simulées, les concentrations maximale et résiduelle médianes (2,5ème - 97,5ème percentiles) à l'état d'équilibre après l'administration sous-cutanée de 320 mg toutes les 4 semaines s'élèvent à 43 (20 - 91) µg/ml et 20 (7 - 50) µg/ml, respectivement, et l'état d'équilibre est atteint après environ 16 semaines avec un schéma posologique toutes les 4 semaines. Par rapport à l'exposition après une dose unique, l'analyse de pharmacocinétique de population a montré que les concentrations plasmatiques maximales et l'aire sous la courbe (Area Under the Curve, AUC) étaient multipliées par 1,74 chez les patients après une administration répétée toutes les quatre semaines.
Après le passage du schéma posologique de 320 mg toutes les 4 semaines au schéma posologique de 320 mg toutes les 8 semaines à la semaine 16, l'état d'équilibre est atteint environ 16 semaines après le changement. Les concentrations plasmatiques maximale et résiduelle médianes (2,5ème - 97,5ème percentiles) sont de 30 (14 - 60) μg/mL et 5 (1 - 16) μg/mL, respectivement.
Linéarité/non-linéarité
Le bimekizumab présentait chez les patients atteints de psoriasis en plaques une pharmacocinétique proportionnelle à la dose sur un intervalle de dose de 64 mg à 480 mg après plusieurs administrations sous-cutanées, la clairance apparente (CL/F) étant indépendante de la dose.
Relations pharmacocinétiques/pharmacodynamiques
Un modèle pharmacocinétique/pharmacodynamique de population a été développé à l'aide de toutes les données disponibles concernant des patients atteints de psoriasis en plaques modéré à sévère. L'analyse a montré que des concentrations supérieures de bimekizumab sont liées à un meilleur indice d'étendue et de gravité du psoriasis (Psoriasis Area and Severity Index, PASI) et à une meilleure évaluation globale des investigateurs (Investigators Global Assessment, IGA). Il a été montré qu'une dose de 320 mg aux semaines 0, 4, 8, 12, 16 et toutes les 8 semaines par la suite présente une efficacité maximale chez la majeure partie des patients atteints de psoriasis en plaques modéré à sévère (voir Cinétique pour certains groupes de patients, Poids corporel).
Cinétique pour certains groupes de patients
Troubles de la fonction hépatique et rénale
Aucune étude spécifique n'a été menée pour déterminer l'effet de l'insuffisance rénale ou hépatique sur la pharmacocinétique du bimekizumab. L'élimination rénale du bimekizumab intact, un anticorps monoclonal de type IgG, devrait être faible et d'importance mineure. De même, les IgG humaines sont principalement éliminées par catabolisme intracellulaire et une insuffisance hépatique ne devrait pas influencer la clairance du bimekizumab. D'après les analyses de pharmacocinétique de population, les marqueurs de la fonction hépatique (ALAT/bilirubine) n'avaient pas d'impact sur la clairance du bimekizumab chez les patients atteints de psoriasis en plaques.
Patients âgés
D'après l'analyse de pharmacocinétique de population avec un nombre limité de patients âgés (N = 355 pour un âge ≥65 ans et N = 47 pour un âge ≥75 ans), la clairance apparente (CL/F) chez les patients âgés et les patients de moins de 65 ans était similaire. Aucun ajustement posologique n'est nécessaire.
Poids corporel
Une modélisation de pharmacocinétique de population a montré que l'exposition diminuait à mesure que le poids corporel augmentait. D'après cette modélisation, la concentration plasmatique moyenne chez des patients adultes pesant ≥120 kg après une injection sous-cutanée de 320 mg devrait être au moins 30 % plus faible que chez des patients adultes pesant 90 kg. Un ajustement posologique peut être approprié chez certains patients (voir Posologie/Mode d'emploi).
Groupe ethnique / sexe
Lors d'une étude de pharmacocinétique clinique, aucune différence cliniquement significative d'exposition au bimekizumab n'a été observée chez des patients japonais ou chinois par rapport à des patients de type caucasien. Aucun ajustement posologique n'est nécessaire. Une modélisation de pharmacocinétique de population a montré que la clairance apparente (CL/F) des femmes peut être 10 % plus rapide que celle des hommes, et cette différence n'est pas cliniquement significative. Aucun ajustement posologique n'est nécessaire.
Données précliniquesLes données précliniques issues des études sur la réactivité croisée tissulaire, la toxicité en administration répétée (comprenant des critères d'évaluation pharmacologique de la sécurité et l'analyse des critères d'évaluation liés à la fertilité), et l'évaluation du développement pré- et postnatal, n'ont pas révélé de risque particulier pour l'homme.
Génotoxicité / Carcinogénicité
Aucune étude de mutagénicité ni de carcinogénicité n'a été menée avec le bimekizumab. Cependant, les anticorps monoclonaux ne devraient pas endommager l'ADN ni les chromosomes. Dans une étude de toxicologie chronique de 26 semaines chez le singe cynomolgus, aucune lésion pré-néoplasique ou néoplasique n'a été observée à une dose correspondant à 109 fois l'exposition thérapeutique humaine à 320 mg toutes les 4 semaines.
Toxicité sur la reproduction
Dans une étude élargie sur le développement pré- et postnatal chez le singe cynomolgus, le bimekizumab n'a montré aucun effet sur la gestation, la parturition, la survie du nourrisson, le développement fœtal et postnatal lorsqu'il est administré tout au long de l'organogenèse jusqu'à la parturition, à une dose correspondant à 27 fois l'exposition humaine à 320 mg toutes les 4 semaines en prenant en compte l'aire sous la courbe (Area Under the Curve, AUC). À la naissance, les concentrations sériques de bimekizumab chez les singes nouveau-nés étaient comparables à celles mesurées chez les mères.
Remarques particulièresIncompatibilités
En l'absence d'études de compatibilité, ce médicament ne doit pas être mélangé à d'autres médicaments.
Stabilité
Le médicament ne doit pas être utilisé au-delà de la date figurant après la mention "EXP" sur l'emballage.
Remarques particulières concernant le stockage
Conserver au réfrigérateur (2-8°C).
Ne pas congeler.
Conserver le stylo prérempli dans son carton pour protéger son contenu de la lumière.
Conserver la seringue préremplie dans son carton pour protéger son contenu de la lumière.
Le stylo prérempli et la seringue préremplie de Bimzelx peuvent être conservés à température ambiante (en dessous de 25 °C) à l'abri de la lumière pendant une période unique maximale de 25 jours. Une fois le médicament sorti du réfrigérateur et conservé à température ambiante, le jeter après 25 jours ou à la date de péremption imprimée sur le carton, selon la première éventualité. Un champ est fourni sur le carton afin de consigner la date de retrait du réfrigérateur.
Conserver hors de portée des enfants.
Numéro d’autorisation68548, 68612 (Swissmedic)
PrésentationBimzelx 160 mg, solution injectable en stylo prérempli
1 stylo prérempli (B).
2 stylos préremplis (B).
Bimzelx 320 mg, solution injectable en stylo prérempli
1 stylo prérempli (B).
Bimzelx 160 mg, solution injectable en seringue préremplie
1 seringue préremplie (B).
2 seringues préremplies (B).
Bimzelx 320 mg, solution injectable en seringue préremplie
1 seringue préremplie (B).
Titulaire de l’autorisationUCB-Pharma AG, Bulle
Mise à jour de l’informationDécembre 2025
|