CompositionPrincipes actifs
Ravulizumab produit à partir de cellules ovariennes de hamster chinois génétiquement modifiées.
Excipients
Phosphate monosodique monohydraté
Phosphate disodique heptahydraté
Ultomiris 300 mg/3 mL et 1100 mg/11 mL : L-arginine
Ultomiris 300 mg/3 mL et 1100 mg/11 mL : saccharose
Ultomiris 300 mg/30 mL : chlorure de sodium
Ultomiris 300 mg/30 mL : 115 mg de sodium par flacon de 30 mL
Ultomiris 300 mg/3 mL : 4,6 mg de sodium par flacon de 3 mL
Ultomiris 1100 mg/11 mL : 16,8 mg de sodium par flacon de 11 mL
Polysorbate 80
Eau pour préparations injectables
Indications/Possibilités d’emploiHémoglobinurie paroxystique nocturne (HPN)
Ultomiris est utilisé pour le traitement de l’HPN chez les patients adultes et pédiatriques dont le poids corporel est 10 kg ou plus :
chez les patients présentant une hémolyse avec un ou plusieurs symptôme(s) clinique(s) indiquant une forte activité de la maladie,
chez les patients stables sur le plan clinique après un traitement par l’eculizumab pendant au moins les 6 derniers mois.
Syndrome hémolytique et urémique atypique (SHUa)
Ultomiris est utilisé pour le traitement des patients adultes et pédiatriques pesant 10 kg ou plus atteints de SHUa qui n’ont pas été traités auparavant par des inhibiteurs du complément (patients naïfs d’inhibiteurs du complément) ou ayant reçu un traitement par l’eculizumab pendant au moins 3 mois et présentant des signes de réponse à l’eculizumab.
Myasthénie grave généralisée (MGg)
Ultomiris est utilisé comme traitement adjuvant au traitement standard chez les patients adultes atteints de MGg positive aux anticorps anti-récepteurs de l’acétylcholine (AChR).
Maladies du spectre de la neuromyélite optique (NMOSD)
Ultomiris est utilisé pour le traitement de la NMOSD chez les patients adultes présentant des anticorps anti-aquaporine 4 (AQP4) (voir rubrique « Propriétés/Effets »).
Posologie/Mode d’emploiLe ravulizumab doit être administré par un professionnel de santé et sous surveillance d’un médecin ayant l’expérience de la prise en charge des patients atteints de maladies hématologiques, rénales, neuromusculaires ou neuroinflammatoires.
Avant le début du traitement, il faut s’assurer qu’il n’y a pas d’infection/sepsis à méningocoque active et qu’il existe une protection vaccinale suffisante contre les méningocoques conformément aux recommandations de vaccination officielles (voir « Contre-indications », « Avertissements et précautions »).
Afin d’assurer la traçabilité des médicaments biotechnologiques, il convient de documenter pour chaque traitement le nom commercial et le numéro de lot.
Patients adultes atteints d’HPN, SHUa, MGg ou NMOSD
Le schéma posologique recommandé consiste en une dose de charge suivie de doses d’entretien, administrées par perfusion intraveineuse. Les doses à administrer sont basées sur le poids corporel du patient, comme indiqué dans le tableau 1. Chez les patients adultes (≥ 18 ans), les doses d’entretien doivent être administrées une fois toutes les 8 semaines, en commençant 2 semaines après l’administration de la dose de charge. Le schéma d’administration peut occasionnellement varier de ± 7 jours par rapport au jour de perfusion prévu (hormis pour la première dose d’entretien de ravulizumab), mais la dose suivante doit être administrée conformément au schéma initial.
En cas de passage de l’eculizumab au ravulizumab, la dose de charge de ravulizumab doit être administrée 2 semaines après la dernière perfusion d’eculizumab ; les doses d’entretien sont ensuite administrées toutes les 8 semaines, en commençant 2 semaines après l’administration de la dose de charge, comme indiqué dans le tableau 1.
Tableau 1 : Schéma posologique du ravulizumab en fonction du poids corporel chez les patients adultes avec un poids corporel ≥ 40 kg.
|
Poids corporel (kg)
|
Dose de charge (mg)
|
Dose d’entretien (mg)
|
Intervalle posologique
| |
≥ 40 à < 60
|
2400
|
3000
|
Toutes les 8 semaines
| |
≥ 60 à < 100
|
2700
|
3300
|
Toutes les 8 semaines
| |
≥ 100
|
3000
|
3600
|
Toutes les 8 semaines
|
*La première dose d’entretien est administrée 2 semaines après la dose de charge.
Dose complémentaire après échange plasmatique (EP), plasmaphérèse (PP) ou administration d’immunoglobulines intraveineuses (IgIV)
L’échange plasmatique (EP), la plasmaphérèse (PP) et l’administration d’immunoglobulines intraveineuses (IgIV) ont prouvé qu’ils abaissent les taux sériques de ravulizumab. Une dose supplémentaire de ravulizumab est indispensable en cas de traitements tels que EP, PP ou IgIV (Tableau 2).
Tableau 2 : Dose supplémentaire de ravulizumab après PP, EP ou IgIV
|
Poids corporel (kg)
|
Dernière dose supplémentaire de ravulizumab administrée (mg)
|
Dose supplémentaire (mg) après chaque EP ou chaque PP
|
Dose supplémentaire (mg) après la fin d’un cycle de traitement par IgIV
| |
≥ 40 à < 60
|
2400
|
1200
|
600
| |
3000
|
1500
| |
≥ 60 à < 100
|
2700
|
1500
|
600
| |
3300
|
1800
| |
≥ 100
|
3000
|
1500
|
600
| |
3600
|
1800
| |
Moment de la dose supplémentaire de ravulizumab
|
Dans les 4 heures après chaque EP ou PP
|
Dans les 4 heures suivant la fin d’un cycle de traitement IgIV
|
Abréviations : IgIV = immunoglobulines intraveineuses, kg = kilogramme, EP = échange plasmatique, PP = plasmaphérèse
L’HPN est une maladie chronique et il est recommandé de poursuivre le traitement par le ravulizumab durant toute la vie du patient, à moins que l’interruption du traitement par le ravulizumab ne soit cliniquement justifiée (voir rubrique « Mises en garde et précautions »).
Dans le SHUa, un traitement par le ravulizumab visant à faire disparaître les manifestations de microangiopathie thrombotique (MAT) doit se poursuivre pendant une durée minimale de 6 mois. Après, la durée du traitement doit être envisagée individuellement pour chaque patient. Les patients présentant un risque plus élevé de récidive de MAT selon l’avis du médecin traitant consulté (ou si cela s’avère cliniquement justifié) peuvent nécessiter un traitement chronique (voir la rubrique « Mises en garde et précautions »).
Chez les patients atteints de MGg, le traitement par ravulizumab a uniquement été étudié dans le cadre d’une utilisation chronique (voir « Avertissements et précautions »).
Chez les patients atteints de MGg ou de NMOSD, le traitement par le ravulizumab a uniquement été étudié dans le cadre d’une utilisation chronique (voir la rubrique « Avertissements et précautions »).
Le ravulizumab n’a pas été étudié chez les patients MGg avec MGFA de classe V
Patients présentant des troubles de la fonction hépatique
La sécurité et l’efficacité du ravulizumab n’ont pas été étudiées chez les patients présentant une insuffisance hépatique ; toutefois, les données pharmacocinétiques semblent indiquer qu’aucun ajustement de la dose n’est nécessaire chez les patients présentant une insuffisance hépatique.
Patients présentant des troubles de la fonction rénale
Aucun ajustement de la dose n’est nécessaire chez les patients présentant une insuffisance rénale (voir rubrique « Pharmacocinétique »).
Patients âgés
Aucun ajustement de la dose n’est nécessaire chez les patients atteints d’HPN, de SHUa, de MGg ou de NMOSD âgés de 65 ans et plus. Aucun élément n’indique que des précautions particulières soient nécessaires lors de l’administration du traitement à une population gériatrique. L’expérience avec le ravulizumab dans les études cliniques chez les patients âgés atteints d’HPN, de SHUa ou NMOSD est encore limitée.
Enfants et adolescents
Les enfants et les adolescents atteints d’HPN et de SHUa dont le poids corporel est ≥ 40 kg sont traités conformément au schéma posologique recommandé chez l’adulte (Tableau 1). Pour les enfants et les adolescents dont le poids corporel est compris entre ≥ 10 kg et < 40 kg, les posologies en fonction du poids corporel et les intervalles posologiques sont présentés au tableau 3.
Chez les patients qui passent de l’eculizumab au ravulizumab, la dose de charge de ravulizumab doit être administrée 2 semaines après la dernière perfusion d’eculizumab. Les doses d’entretien suivantes doivent être administrées à partir de 2 semaines après la dose de charge, selon un schéma posologique en fonction du poids corporel, comme indiqué dans le tableau 3.
Tableau 3 : Schéma posologique du ravulizumab en fonction du poids corporel pour les enfants et adolescents atteints d’HPN ou de SHUa dont le poids corporel est inférieur à 40 kg
|
Poids corporel (kg)
|
Dose de charge (mg)
|
Dose d’entretien (mg)
|
Intervalle posologique
| |
≥ 10 à < 20
|
600
|
600
|
Toutes les 4 semaines
| |
≥ 20 à < 30
|
900
|
2100
|
Toutes les 8 semaines
| |
≥ 30 à < 40
|
1200
|
2700
|
Toutes les 8 semaines
|
*La première dose d’entretien est administrée 2 semaines après la dose de charge.
Les données de sécurité et d’efficacité du ravulizumab chez les enfants atteints d’HPN ou de SHUa pesant moins de 10 kg n’ont pas encore étés étudiées. Les données actuellement disponibles sont décrites à la rubrique « Effets indésirables », mais aucune recommandation posologique ne peut être donnée.
Le ravulizumab n’a pas été étudié chez les enfants et les adolescents atteints d’HPN dont le poids corporel est inférieur à 30 kg. Chez ces patients, la posologie du ravulizumab est basée sur la posologie utilisée chez les enfants et les adolescents atteints de SHUa et sur les données pharmacocinétiques/pharmacodynamiques (PK/PD) disponibles pour les patients atteints de SHUa et d’HPN traités par le ravulizumab.
La sécurité et l’efficacité du ravulizumab n’ont pas encore été étudiées chez les enfants atteints de MGg ou de NMOSD. Aucune donnée n’est disponible.
Mode d’administration
Perfusion intraveineuse uniquement.
Le médicament doit être administré à l’aide d’un filtre de 0,2 μm et ne doit pas être administré en injection intraveineuse directe ou en bolus.
Ultomiris 300 mg/30 mL solution à diluer pour perfusion ne doit pas être mélangé avec Ultomiris 300 mg/3 mL ou 1100 mg/11 mL solutions à diluer pour perfusion.
Ultomiris 300 mg/3 mL et 1100 mg/11 mL solutions à diluer pour perfusion
Ultomiris solution à diluer pour perfusion est présenté en flacons de 3 mL et 11 mL (100 mg/mL) et doit être dilué jusqu’à une concentration finale de 50 mg/mL. Après la dilution, Ultomiris doit être administré en perfusion intraveineuse en utilisant une pompe de type pousse-seringue ou pompe à perfusion pendant une durée minimale de 10 à 75 minutes (0,17 à 1,3 heure), en fonction du poids corporel ; voir les tableaux 4 et 5 ci-dessous.
Tableau 4 : Débit d’administration des doses d’Ultomiris 300 mg/3 mL et 1100 mg/11 mL solutions à diluer pour perfusion
|
Poids corporel (kg) a
|
Dose de charge (mg)
|
Durée minimale de perfusion minutes (heures)
|
Dose d’entretien (mg)
|
Durée minimale de perfusion minutes (heures)
| |
≥ 10 à < 20b
|
600
|
45 (0,8)
|
600
|
45 (0,8)
| |
≥ 20 à < 30b
|
900
|
35 (0,6)
|
2100
|
75 (1,3)
| |
≥ 30 à < 40b
|
1200
|
31 (0,5)
|
2700
|
65 (1,1)
| |
≥ 40 à < 60
|
2400
|
45 (0,8)
|
3000
|
55 (0,9)
| |
≥ 60 à < 100
|
2700
|
35 (0,6)
|
3300
|
40 (0,7)
| |
≥ 100
|
3000
|
25 (0,4)
|
3600
|
30 (0,5)
|
a Poids corporel au moment du traitement.
b Uniquement dans l’indication HPN et SHUa
Tableau 5 : Débit d’administration des doses supplémentaires d’Ultomiris 300 mg/3 mL et 1100 mg/11 mL solution à diluer pour perfusion
|
Poids corporel (kg) a
|
Dose supplémentaireb (mg)
|
Durée minimale de perfusion minutes (heures)
| |
≥ 40 à < 60
|
600
|
15 (0,25)
| |
1200
|
25 (0,42)
| |
1500
|
30 (0,5)
| |
≥ 60 à < 100
|
600
|
12 (0,20)
| |
1500
|
22 (0,36)
| |
1800
|
25 (0,42)
| |
≥ 100
|
600
|
10 (0,17)
| |
1500
|
15 (0,25)
| |
1800
|
17 (0,28)
|
a Poids corporel au moment du traitement.
b Voir tableau 2 pour le choix de la dose supplémentaire de ravulizumab
Ultomiris 300 mg/30 mL solution à diluer pour perfusion
Ultomiris solution à diluer pour perfusion est présenté en flacons de 30 mL (10 mg/mL) et doit être dilué jusqu’à une concentration finale de 5 mg/mL. Après la dilution, Ultomiris est administré par perfusion intraveineuse en utilisant une pompe de type pousse-seringue ou une pompe à perfusion pendant une durée minimale de 22 à 194 minutes (0,4 à 3,3 heures), en fonction du poids corporel (voir les tableaux 6 et 7 ci-dessous).
Tableau 6 : Débit d’administration des doses d’Ultomiris 300 mg/30 mL solution à diluer pour perfusion
|
Poids corporel (kg)ª
|
Dose de charge (mg)
|
Durée minimale de perfusion (heures)
|
Dose d’entretien (mg)
|
Durée minimale de perfusion minutes (heures)
| |
≥ 10 à < 20b
|
600
|
113 (1,9)
|
600
|
113 (1,9)
| |
≥ 20 à < 30b
|
900
|
86 (1,5)
|
2100
|
194 (3,3)
| |
≥ 30 à < 40b
|
1200
|
77 (1,3)
|
2700
|
167 (2,8)
| |
≥ 40 à < 60
|
2400
|
114 (1,9)
|
3000
|
140 (2,3)
| |
≥ 60 à < 100
|
2700
|
102 (1,7)
|
3300
|
120 (2,0)
| |
≥ 100
|
3000
|
108 (1,8)
|
3600
|
132 (2,2)
|
a Poids corporel au moment du traitement.
b Uniquement dans l’indication HPN et SHUa
Tableau 7 : Débit d’administration des doses supplémentaires d’Ultomiris 300 mg/30 mL solution à diluer pour perfusion
|
Poids corporel (kg) a
|
Dose supplémentaireb (mg)
|
Durée minimale de perfusion minutes (heures)
| |
≥ 40 à < 60
|
600
|
30 (0,5)
| |
1200
|
60 (1,0)
| |
1500
|
72 (1,2)
| |
≥ 60 à < 100
|
600
|
23 (0,4)
| |
1500
|
60 (1,0)
| |
1800
|
65 (1,1)
| |
≥ 100
|
600
|
22 (0,4)
| |
1500
|
60 (1,0)
| |
1800
|
65 (1,1)
|
a Poids corporel au moment du traitement.
b Voir le tableau 2 pour le choix de la dose supplémentaire de ravulizumab
Pour les instructions concernant la dilution du médicament avant administration, voir la rubrique « Remarques concernant la manipulation ».
Contre-indications- Hypersensibilité à la substance active ou à l’un des excipients mentionnés à la rubrique « Excipients ».
- Patients présentant une infection par Neisseria meningitidis non résolue lors de l’instauration du traitement (voir rubrique « Mises en garde et précautions »).
- Patients sans vaccination à jour contre Neisseria meningitidis, à moins de recevoir une antibioprophylaxie appropriée jusqu’à 2 semaines après la vaccination (voir rubrique « Mises en garde et précautions »).
- Patients présentant des anomalies héréditaires du complément (voir rubrique « Avertissements et précautions »).
Mises en garde et précautionsInfection à méningocoque grave
Du fait de son mécanisme d’action, ravulizumab augmente la prédisposition du patient à une infection/une septicémie à méningocoque (Neisseria meningitidis). Une infection à méningocoque de tout sérogroupe peut survenir (voir rubrique « Effets indésirables ». Pour réduire le risque d’infection, tous les patients doivent être vaccinés contre les infections à méningocoque au moins deux semaines avant l’instauration du traitement par le ravulizumab, à moins que le risque lié au report du traitement par ravulizumab ne l’emporte sur le risque d’apparition d’une infection à méningocoques. Les patients chez lesquels le traitement par le ravulizumab a été initié moins de 2 semaines après la vaccination antiméningococcique doivent recevoir une antibioprophylaxie appropriée jusqu’à 2 semaines après la vaccination. Les vaccins contre les sérogroupes A, C, Y, W135 et B, lorsque disponibles, sont recommandés dans la prévention contre les sérogroupes méningococciques couramment pathogènes. Les patients doivent recevoir la primovaccination ou la vaccination de rappel conformément aux recommandations vaccinales officielles. En cas de relais de l’eculizumab, le médecin doit s’assurer que la vaccination antiméningococcique du patient est à jour conformément aux recommandations vaccinales officielles en vigueur.
La vaccination peut ne pas suffire à éviter une infection à méningocoque. Les recommandations officielles relatives à l’utilisation appropriée des antibiotiques doivent être prises en compte. Des cas d’infections/de septicémie à méningocoque graves ou d’évolution fatale ont été rapportés chez des patients traités par le ravulizumab et chez des patients traités par d’autres inhibiteurs de la voie terminale du complément. Tous les patients doivent être surveillés afin de dépister tout signe précoce d’infection et de septicémie à méningocoque, examinés immédiatement en cas de suspicion d’infection et traités par une antibiothérapie appropriée. Les patients doivent être informés des signes et symptômes, ainsi que de la conduite à tenir pour obtenir une prise en charge médicale immédiate. Les médecins doivent remettre aux patients la brochure d’information patient et la carte de surveillance patient.
Vaccination
Avant l’instauration du traitement par ravulizumab, il est recommandé que les patients soient vaccinés conformément aux recommandations vaccinales en vigueur.
La vaccination peut suractiver le complément. Par conséquent, les patients atteints de maladies médiées par le complément peuvent présenter une augmentation des signes et des symptômes de leur pathologie sous-jacente. Les patients doivent donc être étroitement suivis, après avoir reçu la vaccination recommandée, pour surveiller les symptômes de leur maladie.
Les patients âgés de moins de 18 ans doivent être vaccinés contre Haemophilus influenzae et les infections à pneumocoque, en respectant scrupuleusement les recommandations vaccinales nationales en vigueur pour chaque tranche d’âge.
Autres infections systémiques
Le traitement par le ravulizumab doit être administré avec précaution chez les patients présentant des infections systémiques actives. Le ravulizumab inhibe l’activation de la voie terminale du complément ; par conséquent, les patients peuvent présenter une prédisposition accrue aux infections causées par Neisseria sp. et par des bactéries encapsulées. Des cas d’infections graves à Neisseria sp. (autres que Neisseria meningitidis), notamment des infections gonococciques disséminées, ont été rapportés.
Les patients doivent être informés de la possibilité d’infections potentiellement graves ainsi que de leurs signes et symptômes. Les médecins doivent informer les patients des mesures de prévention de la gonorrhée.
Réactions liées à la perfusion
L’administration de ravulizumab peut entraîner des réactions systémiques liées à la perfusion ainsi que des réactions allergiques ou d’hypersensibilité y compris l’anaphylaxie (voir la rubrique « Effets indésirables »).
Les réactions liées à la perfusion étaient fréquentes (1 %) dans les études cliniques. Ces réactions étaient légères à modérées et transitoires (y compris douleurs lombaires, douleurs abdominales, crampes musculaires, baisse de la pression artérielle, augmentation de la pression artérielle, rigidité musculaire, douleurs dans les extrémités, hypersensibilité médicamenteuse [réaction allergique], dysgeusie [trouble du goût] et somnolence. En cas de réaction systémique liée à la perfusion, lorsque des signes d’instabilité cardiovasculaire ou de détresse respiratoire apparaissent, l’administration de ravulizumab doit être arrêtée et des mesures de soutien appropriées doivent être mises en place.
Interruption du traitement chez les patients atteints d’HPN
Si les patients atteints d’HPN interrompent le traitement par le ravulizumab, ils doivent être étroitement suivis afin de dépister tout signe ou symptôme d’hémolyse intravasculaire grave. Celle-ci est mise en évidence par une élévation du taux sérique des LDH (lactate déshydrogénases) associée à une diminution soudaine de la taille du clone HPN ou du taux d’hémoglobine ou par la réapparition de symptômes tels que : lassitude/fatigue, hémoglobinurie, douleur abdominale, difficultés respiratoires (dyspnée), évènement indésirable vasculaire majeur (incluant thromboses), dysphagie, ou troubles de l’érection. La surveillance de tout patient interrompant le traitement par le ravulizumab doit se poursuivre pendant au moins 16 semaines pour détecter toute hémolyse et toute autre réaction. La reprise du traitement par le ravulizumab doit être envisagée en cas d’apparition de signes et de symptômes d’hémolyse après l’interruption, y compris une élévation du taux des LDH.
Interruption du traitement chez les patients atteints de SHUa
Il n’existe aucune donnée spécifique concernant l’interruption du traitement par le ravulizumab. Dans une étude observationnelle prospective à long terme, l’interruption du traitement par inhibiteur de la protéine C5 du complément (eculizumab) a entraîné un taux 13,5 fois supérieur de récidive de la MAT et montré une tendance à la baisse de la fonction rénale par rapport aux patients qui ont poursuivi le traitement.
Si les patients doivent interrompre le traitement par le ravulizumab, ils doivent être étroitement suivis afin de dépister tout signe ou symptôme de MAT et ce, de manière continue. Cependant, le suivi peut s’avérer insuffisant pour prédire ou prévenir les complications de MAT sévères.
Après l’interruption du traitement, les complications de MAT peuvent être identifiées si l’un des critères suivants est observé :
(i) Au moins deux des résultats d’analyses biologiques suivants observés simultanément : diminution du nombre de plaquettes de 25 % ou plus par rapport à la valeur avant traitement ou par rapport au nombre de plaquettes le plus élevé durant le traitement par le ravulizumab ; augmentation du taux de créatinine sérique de 25 % ou plus par rapport à la valeur de référence ou au nadir durant le traitement par le ravulizumab ; ou augmentation du taux de LDH sérique de 25 % ou plus par rapport à la valeur avant traitement ou au nadir durant le traitement par le ravulizumab (les résultats doivent être confirmés par une deuxième mesure) ; ou
(ii) un des symptômes de MAT suivants : modifications de l’état mental ou convulsions ou autres manifestations extrarénales de MAT, y compris anomalies cardiovasculaires, péricardite, symptômes gastro-intestinaux/diarrhée ou thrombose.
En cas de survenue de complications de MAT après l’interruption du traitement par le ravulizumab, il convient d’envisager la reprise du traitement par le ravulizumab, en commençant par la dose de charge et la dose d’entretien (voir rubrique « Posologie/Mode d’emploi »).
Interruption du traitement en cas de MGg
Étant donné que la MGg est une maladie chronique, les symptômes de la maladie sous-jacente doivent être surveillés chez les patients qui bénéficient d’un traitement par le ravulizumab et qui abandonnent le traitement. Si des symptômes de MGg apparaissent après le sevrage, envisager de reprendre le traitement par le ravulizumab.
Passage de l’eculizumab au ravulizumab.
Un traitement par le ravulizumab n’est pas recommandé chez les patients atteints de MGg qui ne répondent pas au schéma posologique approuvé pour l’eculizumab.
Interruption du traitement en cas de NMOSD
L’utilisation du ravulizumab dans le traitement du NMOSD a uniquement été étudiée dans le cadre d’une utilisation permanente et l’effet du retrait du ravulizumab n’a pas été décrit. Les patients chez lesquels le traitement par Ultomiris est arrêté doivent être soigneusement surveillés sur tout signe de poussée de NMOSD.
Patients atteints du syndrome hémolytique et urémique à E. coli producteur de toxines Shiga (SHU à STEC)
Aucune donnée n’est disponible sur l’utilisation d’Ultomiris chez les patients atteints de SHU à STEC.
Teneur en sodium
Ultomiris 300 mg/30 mL solution à diluer pour perfusion
Après dilution avec une solution injectable de chlorure de sodium à 0,9 % (9 mg/mL), la dose maximale de ce médicament contient 2,65 g de sodium par volume de 720 mL, ce qui équivaut à 133 % de l’apport quotidien maximal recommandé par l’OMS de 2 g de sodium pour un adulte.
Ultomiris 300 mg/3 mL et 1100 mg/11 mL solutions à diluer pour perfusion
Après dilution avec une solution injectable de chlorure de sodium à 0,9 % (9 mg/mL), la dose maximale de ce médicament contient 0,18 g de sodium par volume de 72 mL, ce qui équivaut à 9,1 % de l’apport quotidien maximal recommandé par l’OMS de 2 g de sodium pour un adulte.
InteractionsAucune étude d’interaction n’a été réalisée.
Étant donné l’effet inhibiteur potentiel du ravulizumab sur la cytotoxicité dépendante du complément induite par le rituximab, le ravulizumab peut diminuer les effets pharmacodynamiques attendus du rituximab.
Voir la rubrique « Posologie/Mode d’emploi » pour les indications en cas de traitement concomitant par EP, PP ou IgIV.
Un traitement chronique par immunoglobulines humaines intraveineuses (IgIV) peut interférer avec le mécanisme de recyclage des anticorps monoclonaux, tels que le ravulizumab, induit par le récepteur FcRn endosomal et donc diminuer les concentrations sériques du ravulizumab.
Grossesse, AllaitementGrossesse
Femmes en âge de procréer
Les femmes en âge de procréer doivent utiliser une contraception efficace pendant le traitement et jusqu’à 8 mois après la fin du traitement.
Grossesse
Il n’existe pas encore de données cliniques sur l’utilisation du ravulizumab chez la femme enceinte.
Il n’a pas été réalisé d’études précliniques de toxicité sur la reproduction avec le ravulizumab (voir la rubrique « Données précliniques »). Des études de toxicité sur la reproduction ont été réalisées chez la souris à l’aide de la molécule murine analogue BB5.1 afin d’évaluer les effets de l’inhibition de la protéine C5 sur le système reproducteur. Il n’a pas été identifié de toxicités spécifiques du produit sur la reproduction dans ces études. Dans la mesure où les IgG humaines traversent la barrière placentaire humaine, le ravulizumab est susceptible de provoquer une inhibition de la voie terminale du complément au niveau de la circulation fœtale. Les études effectuées chez l’animal sont insuffisantes pour permettre de conclure sur la toxicité de la reproduction (voir rubrique « Données précliniques »).
Chez les femmes enceintes, l’utilisation du ravulizumab peut être envisagée après une évaluation du rapport bénéfice-risque.
Allaitement
On ne sait pas si le ravulizumab est excrété dans le lait maternel. Lors des études précliniques de toxicité sur la reproduction réalisées chez la souris à l’aide de la molécule murine analogue BB5.1, il n’a pas été identifié d’effets indésirables chez les petits suite à la consommation du lait de mères traitées.
Un risque pour les nourrissons ne peut être exclu.
Dans la mesure où de nombreux médicaments et immunoglobulines passent dans le lait maternel humain et en raison du risque d’effets indésirables graves chez les nourrissons allaités, l’allaitement doit être interrompu pendant le traitement par le ravulizumab et jusqu’à 8 mois après la fin du traitement.
Fertilité
Aucune étude préclinique spécifique des effets du ravulizumab sur la fertilité n’a été réalisée.
Dans les études précliniques de toxicité sur la reproduction réalisées chez la souris à l’aide de la molécule murine analogue BB5.1, il n’a pas été identifié d’effets indésirables sur la fertilité des femelles ou des mâles traités.
Effet sur l’aptitude à la conduite et l’utilisation de machinesUltomiris n’a aucune influence ou une influence négligeable sur l’aptitude à conduire des véhicules et à utiliser des machines.
Effets indésirablesRésumé du profil de sécurité
Le profil de sécurité d’Ultomiris repose sur des études cliniques en cours et achevées portant sur un total de 804 patients traités par Ultomiris. Les effets indésirables les plus fréquents associés au ravulizumab sont les suivants : céphalées (28,2 %), infection des voies respiratoires supérieures (19,9 %), rhinopharyngite (19,5 %), diarrhée (16,9 %), pyrexie (16,4 %), nausées (13,7 %), arthralgie (13,2 %), lassitude/fatigue (13,1 %), douleurs dorsales (12,6 %), douleurs abdominales (11,8 %) et vertiges (10,1 %). Les effets indésirables les plus graves sont l’infection à méningocoque (0,7 %), y compris la septicémie à méningocoque, l’encéphalite à méningocoque et l’infection à méningocoque (voir rubrique « Mises en garde et précautions ») et l’infection gonococcique disséminée (0,1 %).
Tableau des effets indésirables
Le tableau 8 présente les effets indésirables rapportés dans les études cliniques et observés après la commercialisation.
Les effets indésirables sont présentés par classes de systèmes d’organes selon la base de données MedDRA et fréquence selon la convention MedDRA : très fréquents (≥ 1/10) ; fréquents (≥ 1/100, < 1/10) ; occasionnels (≥ 1/1000, < 1/100) ; rares (≥ 1/10 000, < 1/1 000) ; très rares (< 1/10 000) et fréquence indéterminée (ne peut être estimée à partir des données disponibles).
Au sein de chaque groupe de fréquence, les effets indésirables sont présentés suivant un degré de sévérité décroissant.
Tableau 8 : Effets indésirables rapportés dans les études cliniques et après la commercialisation
|
Classe de systèmes d’organes MedDRA
|
Très fréquents (≥ 1/10)
|
Fréquents (≥ 1/100, < 1/10)
|
Occasionnels (≥ 1/1000, < 1/100)
| |
Infections et infestations
|
Infection des voies aériennes supérieures, rhinopharyngite
|
Infection du tractus urinaire
|
Infection à méningocoquea, infection à gonococcique disséminéeb
| |
Affections du système immunitaire
|
|
Hypersensibilitéd
|
Réaction anaphylactiquea
| |
Affections du système nerveux
|
Céphalées, vertiges
|
|
| |
Affections gastro-intestinales
|
Diarrhée, nausée, douleurs abdominales
|
Vomissements, dyspepsie
|
| |
Affections de la peau et du tissu sous-cutané
|
|
Urticaire, prurit, rash
|
| |
Affections musculosquelettiques et du tissu conjonctif
|
Dorsalgie, arthralgie
|
Myalgie, contractures musculaires
|
| |
Troubles généraux et anomalies au site d’administration
|
Pyrexie, lassitude/fatigue
|
Syndrome pseudo-grippal, frissons, abattement
|
| |
Lésions, intoxications et complications liées aux procédures
|
|
Réaction liée à la perfusion
|
|
a L’infection méningococcique comprend les termes préférentiels suivants [Preferred Terms (PT)] : infection méningococcique, septicémie méningococcique et encéphalite méningococcique
b L’infection gonococcique comprend l’infection gonococcique disséminée
c Estimations basées sur les expériences acquises après la commercialisation
d L’hypersensibilité est un terme générique pour le terme préférentiel hypersensibilité médicamenteuse avec causalité associée et pour le terme préférentiel hypersensibilité
Description de certains effets indésirables
Infection/septicémie à méningocoque/encéphalite
La vaccination réduit effectivement, mais n’élimine pas totalement, le risque d’infections à méningocoque. Dans les études cliniques, < 1 % des patients ont développé une infection/septicémie à méningocoque grave pendant le traitement par le ravulizumab ; tous les trois étaient vaccinés. Voir la rubrique « Mises en garde et précautions » pour des informations sur la prévention et le traitement d’une infection à méningocoque suspectée. Chez les patients traités par le ravulizumab, les infections à méningocoque se présentaient sous forme de septicémie à méningocoque et d’encéphalite. Les patients doivent être informés des signes et symptômes de septicémie à méningocoque et avertis de la nécessité de consulter immédiatement un médecin.
Immunogénicité
Tout traitement par une protéine thérapeutique peut induire une réponse immunitaire. Dans des études portant sur des patients adultes atteints d’HPN (N = 475), une étude portant sur des enfants et des adolescents atteints d’HPN (N = 13), des études portant sur le SHUa (N = 89), une étude portant sur la MGg (N = 86) et une étude portant sur les NMOSD (N = 58), deux cas (0,3 %) seulement ont été rapportés comme associés au ravulizumab avec formation d’anticorps antiprincipe actif liée au traitement (1 patient adulte atteint d’HPN et 1 patient adulte atteint de SHUa). Ces anticorps antiprincipe actif étaient de nature transitoire, de faible titre et n’étaient pas corrélés à la réponse clinique ou aux événements indésirables.
Enfants et adolescents
Hémoglobinurie paroxystique nocturne (HPN)
Chez les enfants et les adolescents atteints d’HPN (N = 13, âgés de 9 à 17 ans) inclus dans l’étude pédiatrique sur l’HPN (ALXN1210-PNH-304), le profil de sécurité s’est révélé similaire à celui observé chez les patients adultes atteints d’HPN. Les effets indésirables les plus fréquemment signalés chez les enfants et les adolescents atteints d’HPN étaient des douleurs abdominales, nausée, rhinopharyngite et céphalées, survenues chez 3 patients (23,1 %).
Syndrome hémolytique et urémique atypique (SHUa)
Chez les enfants et les adolescents présentant des signes de SHUa (N = 34) (âgés de 10 mois à moins de 18 ans) ayant participé à l’étude ALXN1210-aHUS-312, le profil de sécurité du ravulizumab semble similaire à celui observé chez les patients adultes présentant des signes de SHUa. Les profils de sécurité dans les différentes tranches d’âge de la population pédiatrique semblent similaires. Les données de sécurité chez les patients âgés de moins de 2 ans sont limitées à quatre patients. L’effet indésirable le plus fréquemment rapporté chez les patients pédiatriques était la fièvre (32,3 %).
Myasthénie grave généralisée (MGg)
Le ravulizumab n’a pas été étudié chez les enfants et les adolescents atteints de MGg.
Maladies du spectre de la neuromyélite optique (NMOSD)
Le ravulizumab n’a pas été étudié chez les enfants et les adolescents atteints de NMOSD.
Description de certains effets indésirables
L’annonce d’effets secondaires présumés après l’autorisation est d’une grande importance. Elle permet un suivi continu du rapport bénéfice-risque du médicament. Les professionnels de santé sont tenus de déclarer toute suspicion d’effet secondaire nouveau ou grave via le portail d’annonce en ligne ElViS (Electronic Vigilance System). Vous trouverez des informations à ce sujet sur www.swissmedic.ch.
SurdosageAucun cas de surdosage n’a été rapporté à ce jour. En cas de surdosage, la perfusion doit être arrêtée immédiatement et le patient doit être étroitement surveillé.
Propriétés/EffetsCode ATC
Classe pharmacothérapeutique : immunosuppresseurs, immunosuppresseurs sélectifs
Code ATC : L04AA43
Mécanisme d’action
Le ravulizumab est un anticorps monoclonal de type IgG2/4k qui se lie sélectivement à la protéine C5 du complément, ce qui inhibe son clivage en C5a (l’anaphylatoxine pro-inflammatoire) et C5b (la sous-unité d’initiation du complexe d’attaque membranaire [MAC ou C5b-9]) et empêche la génération du complexe C5b-9. Le ravulizumab préserve les composants précoces de l’activation du complément qui sont essentiels à l’opsonisation des microorganismes et à l’élimination (clairance) des complexes immuns.
Pharmacodynamique
Après l’administration de ravulizumab chez des patients adultes et pédiatriques atteints d’HPN naïfs d’inhibiteur du complément ou préalablement traités par l’eculizumab dans les études de phase III, une inhibition immédiate, complète et durable de la protéine C5 libre sérique (concentration < 0,5 μg/mL) a été observée à la fin de la première perfusion et s’est prolongée pendant toute la période de traitement de 26 semaines chez tous les patients. Une inhibition immédiate et complète de la protéine C5 sérique libre a également été observée chez les patients adultes et pédiatriques atteints de SHUa, les patients adultes atteints de MGg et les patients adultes atteints de NMOSD à la fin de la première perfusion et s’est prolongée pendant toute la période de traitement de 26 semaines.
L’ampleur et la durée de la réponse pharmacodynamique chez les patients atteints d’HPN, de SHUa de MGg ou de NMOSD dépendaient de l’exposition au ravulizumab. Des taux de protéine C5 libre inférieurs à 0,5 μg/mL étaient corrélés à un contrôle maximal de l’hémolyse intravasculaire et à une inhibition complète du complexe terminal du complément. Dans la MGg, l’activation de la voie terminale du complément entraîne des dépôts de MAC aux jonctions neuromusculaires et une altération de la transmission neuromusculaire. Dans les NMOSD, l’activation incontrôlée du complément terminal par des auto-anticorps contre l’AQP4 entraîne le développement d’une inflammation dépendante de MAC et de C5a, la nécrose des astrocytes et une perméabilité accrue de la barrière hémato-encéphalique ainsi que des lésions des cellules gliales et des neurones environnants.
Efficacité clinique
Hémoglobinurie paroxystique nocturne (HPN)
La sécurité et l’efficacité du ravulizumab chez les patients adultes atteints d’HPN ont été évaluées au cours de deux études de phase III randomisées en ouvert, contrôlées contre comparateur actif :
une étude menée chez des patients adultes atteints d’HPN naïfs d’inhibiteur du complément,
une étude menée chez des patients adultes atteints d’HPN préalablement traités par l’eculizumab qui étaient stables sur le plan clinique après traitement par l’eculizumab depuis au moins 6 mois.
Le ravulizumab était administré conformément au schéma posologique recommandé à la rubrique « Posologie/Mode d’emploi » (4 perfusions de ravulizumab sur 26 semaines), alors que l’eculizumab était administré selon le schéma posologique autorisé de 600 mg par semaine pendant les 4 premières semaines et de 900 mg toutes les 2 semaines (15 perfusions sur 26 semaines).
Les patients avaient reçu une vaccination antiméningococcique avant ou lors de l’instauration du traitement par le ravulizumab ou l’eculizumab ou une antibioprophylaxie appropriée jusqu’à 2 semaines après la vaccination.
Dans les deux études de phase III, il n’y avait aucune différence notable en termes de caractéristiques démographiques ou initiales entre les groupes de traitement par le ravulizumab et l’eculizumab. Les antécédents transfusionnels sur 12 mois étaient similaires entre les groupes de traitement par le ravulizumab et l’eculizumab dans chacune des études de phase III.
Étude chez des patients adultes atteints d’HPN naïfs d’inhibiteur du complément (ALXN1210-PNH-301)
L’étude chez des patients naïfs d’inhibiteur du complément était une étude de phase III multicentrique, randomisée en ouvert, contrôlée contre comparateur actif d’une durée de 26 semaines menée chez 246 patients naïfs de traitement par inhibiteur du complément avant l’inclusion dans l’étude, suivie d’une phase d’extension à long terme au cours de laquelle tous les patients ont reçu du ravulizumab. Les patients admissibles à cette étude devaient présenter un niveau élevé d’activité de la maladie, défini par un taux de LDH ≥ 1,5 × la limite supérieure de la normale (LSN) lors de la sélection, associé à la présence dans les 3 mois précédant la sélection d’un ou plusieurs des signes ou symptômes de l’HPN suivants : lassitude/fatigue, hémoglobinurie, douleurs abdominales, difficultés respiratoires (dyspnée), anémie (hémoglobine < 10 g/dL), antécédents d’événement indésirable vasculaire majeur (incluant thrombose), dysphagie ou troubles de l’érection ou antécédents de transfusion de concentré érythrocytaire en raison de l’HPN.
Plus de 80 % des patients des deux groupes de traitements avaient des antécédents de transfusion au cours des 12 mois précédant l’inclusion dans l’étude. La majorité de la population de patients naïfs d’inhibiteur du complément de l’étude présentait une hémolyse élevée lors de l’inclusion ; 86,2 % des patients inclus avaient un taux de LDH élevé ≥ 3 × LSN, ce qui est une mesure directe de l’hémolyse intravasculaire dans le cadre de l’HPN.
Le tableau 9 présente les caractéristiques initiales des patients atteints d’HPN inclus dans l’étude menée chez des patients naïfs d’inhibiteur du complément, sans différence cliniquement significative notable observée entre les groupes de traitement.
Tableau 9 : Caractéristiques initiales dans l’étude menée chez des patients naïfs d’inhibiteur du complément
|
Paramètre
|
Statistiques
|
Ravulizumab (N = 125)
|
Eculizumab (N = 121)
| |
Âge (ans) lors du diagnostic d’HPN
|
Moyenne (ET) Médiane min, max
|
37,9 (14,90) 34,0 15, 81
|
39,6 (16,65) 36,5 13, 82
| |
Âge (ans) lors de la première perfusion dans l’étude
|
Moyenne (ET) Médiane min, max
|
44,8 (15,16) 43,0 18, 83
|
46,2 (16,24) 45,0 18, 86
| |
Sexe (n, %)
|
Masculin Féminin
|
65 (52,0) 60 (48,0)
|
69 (57,0) 52 (43,0)
| |
Taux de LDH avant traitement
|
Moyenne (ET)
|
1633,5 (778,75)
|
1578,3 (727,06)
| |
Médiane
|
1513,5
|
1445,0
| |
Nombre de patients ayant reçu des transfusions de concentré érythrocytaire au cours des 12 mois précédant la première dose
|
n (%)
|
103 (82,4)
|
100 (82,6)
| |
Unités de concentré érythrocytaire transfusées au cours des 12 mois précédant la première dose
|
Total
|
925
|
861
| |
Moyenne (ET)
|
9,0 (7,74)
|
8,6 (7,90)
| |
Médiane
|
6,0
|
6,0
| |
Taille totale du clone HPN érythrocytaire
|
Médiane
|
33,6
|
34,2
| |
Taille totale du clone HPN granulocytaire
|
Médiane
|
93,8
|
92,4
| |
Patients présentant des symptômes et pathologies liés à l’HPNa avant le début de l’étude
|
n (%)
|
121 (96,8)
|
120 (99,2)
| |
Anémie
|
|
103 (82,4)
|
105 (86,8)
| |
Hématurie ou hémoglobinurie
|
|
81 (64,8)
|
75 (62,0)
| |
Anémie aplasique
|
|
41 (32,8)
|
38 (31,4)
| |
Insuffisance rénale
|
|
19 (15,2)
|
11 (9,1)
| |
Syndrome myélodysplasique
|
|
7 (5,6)
|
6 (5,0)
| |
Complications liées à la grossesse
|
|
3 (2,4)
|
4 (3,3)
| |
Autreb
|
|
27 (21,6)
|
13 (10,7)
|
a D’après les antécédents médicaux.
b La catégorie « autre » indiquée sur le cahier d’observation incluait : thrombopénie, insuffisance rénale chronique, pancytopénie, ainsi qu’un certain nombre d’autres symptômes et pathologies.
Les co-critères principaux d’évaluation étaient l’absence de recours à la transfusion et l’hémolyse mesurée directement par la normalisation du taux de LDH (taux de LDH ≤ 1 × LSN ; la LSN du taux de LDH est de 246 U/L). Les principaux critères d’évaluation secondaires étaient la variation relative du taux de LDH par rapport à l’inclusion, la modification de la qualité de vie (questionnaire FACIT-Fatigue), le pourcentage de patients présentant un épisode hémolytique et le pourcentage de patients présentant une stabilisation de l’hémoglobine.
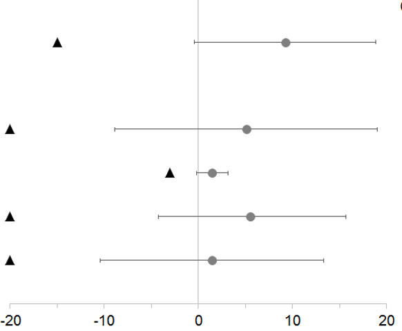
Le ravulizumab s’est avéré non inférieur à l’eculizumab pour les deux co-critères principaux d’évaluation, à savoir l’absence de recours à la transfusion de concentré érythrocytaire conformément aux recommandations du protocole et la normalisation du taux de LDH entre le jour 29 et le jour 183 et pour tous les quatre principaux critères d’évaluation secondaires (figure 1).
Figure 1 : Analyse des co-critères principaux d’évaluation et des critères d’évaluation secondaires – Population complète d’analyse (étude chez des patients naïfs d’inhibiteur du complément)
|
|
|
Ravulizumab (N = 125)
|
Eculizumab (N = 121)
|
Différence (IC à 95 %)
| |
Absence de recours à la transfusion (%)
|
|

|
73,6
|
66,1
|
6,8 (-4,7 ; 18,1)
| |
|
|
|
| |
Normalisation du taux de LDH
|
|
|
Odds ratio (IC à 95 %)
| |
(odds ratio)
|
53,6
|
49,4
|
1,19 (0,80 ; 1,77)
| |
|
|
|
| |
|
|
|
Différence (IC à 95 %)
| |
Variation du taux de LDH par rapport à l’inclusion
|
-76,8
|
-76,0
|
0,8 (-3,6 ; 5,2)
| |
Variation du score FACIT-Fatigue
|
7,1
|
6,4
|
0,7 (-1,2 ; 2,6)
| |
Épisode hémolytique (%)
|
4,0
|
10,7
|
6,7 (-0,2 ; 14,2)
| |
Stabilisation de l’hémoglobine (%)
|
68,0
|
64,5
|
2,9 (-8,8 ; 14,6)
| |
|
|
|
| |
|
En faveur de l’eculizumab
|
En faveur du ravulizumab
|
|
|
|
Note : les triangles noirs indiquent les marges de non-infériorité et les points gris indiquent les estimations ponctuelles.
Note : LDH = lactate déshydrogénase ; IC = intervalle de confiance ; FACIT = Functional Assessment of Chronic Illness Therapy.
L’analyse finale de l’efficacité de l’étude a inclus tous les patients ayant déjà été traités par le ravulizumab (n = 244) et la durée médiane du traitement était de 1423 jours. L’analyse finale a confirmé que la réponse au traitement par le ravulizumab observée pendant la période d’évaluation principale s’est maintenue pendant toute la durée de l’étude.
Étude chez des patients adultes atteints d’HPN préalablement traités par l’eculizumab (ALXN1210-PNH-302)
L’étude chez des patients préalablement traités par l’eculizumab était une étude de phase III multicentrique, randomisée en ouvert, contrôlée contre comparateur actif d’une durée de 26 semaines menée chez 195 patients atteints d’HPN qui étaient stables sur le plan clinique (LDH ≤ 1,5 × LSN) après avoir été traités par l’eculizumab pendant au moins les 6 mois précédents, suivie d’une phase d’extension à long terme au cours de laquelle tous les patients ont reçu du ravulizumab.
Les antécédents médicaux d’HPN étaient similaires entre les groupes de traitement par le ravulizumab et par l’eculizumab. Les antécédents transfusionnels sur 12 mois étaient similaires entre les groupes de traitement par le ravulizumab et par l’eculizumab et plus de 87 % des patients des deux groupes de traitement n’avaient pas reçu de transfusion dans les 12 mois précédant l’inclusion dans l’étude. La taille totale moyenne du clone HPN érythrocytaire était de 60,05 %, celle du clone HPN granulocytaire était de 83,30 % et celle du clone HPN monocytaire était de 85,86 %.
Le tableau 10 présente les caractéristiques initiales des patients atteints d’HPN inclus dans l’étude menée chez des patients préalablement traités par l’eculizumab, sans différence cliniquement significative notable observée entre les groupes de traitement.
Tableau 10 : Caractéristiques initiales dans l’étude chez des patients préalablement traités par l’eculizumab
|
Paramètre
|
Statistiques
|
Ravulizumab (N = 97)
|
Eculizumab (N = 98)
| |
Âge (ans) lors du diagnostic d’HPN
|
Moyenne (ET) Médiane min, max
|
34,1 (14,41) 32,0 6, 73
|
36,8 (14,14) 35,0 11, 74
| |
Âge (ans) lors de la première perfusion dans l’étude
|
Moyenne (ET) Médiane Min., max.
|
46,6 (14,41) 45,0 18, 79
|
48,8 (13,97) 49,0 23, 77
| |
Sexe (n, %)
|
Masculin Féminin
|
50 (51,5) 47 (48,5)
|
48 (49,0) 50 (51,0)
| |
Taux de LDH avant le traitement
|
Moyenne (ET)
|
228,0 (48,71)
|
235,2 (49,71)
| |
Médiane
|
224,0
|
234,0
| |
Nombre de patients ayant reçu des transfusions de concentré érythrocytaire/sang total au cours des 12 mois précédant la première dose
|
n (%)
|
13 (13,4)
|
12 (12,2)
| |
Unités de concentré érythrocytaire/sang total transfusées au cours des 12 mois précédant la première dose
|
Total
|
103
|
50
| |
Moyenne (ET)
|
7,9 (8,78)
|
4,2 (3,83)
| |
Médiane
|
4,0
|
2,5
| |
Patients présentant des symptômes et pathologies liés à l’HPNa avant le début de l’étude
|
n (%)
|
90 (92,8)
|
96 (98,0)
| |
Anémie
|
|
64 (66,0)
|
67 (68,4)
| |
ou hémoglobinurie
|
|
47 (48,5)
|
48 (49,0)
| |
Anémie aplasique
|
|
34 (35,1)
|
39 (39,8)
| |
Insuffisance rénale
|
|
11 (11,3)
|
7 (7,1)
| |
Syndrome myélodysplasique
|
|
3 (3,1)
|
6 (6,1)
| |
Complications liées à la grossesse
|
|
4 (4,1)
|
9 (9,2)
| |
Autreb
|
|
14 (14,4)
|
14 (14,3)
|
a D’après les antécédents médicaux.
b La catégorie « autre » incluait neutropénie, insuffisance rénale et thrombopénie, ainsi qu’un certain nombre d’autres symptômes et pathologies.
Le critère d’évaluation principal était l’hémolyse, mesurée par la variation relative du taux de LDH par rapport à l’inclusion. Les critères d’évaluation secondaires étaient le pourcentage de patients présentant un épisode hémolytique, la qualité de vie (questionnaire FACIT-Fatigue), l’absence de recours à la transfusion et le pourcentage de patients présentant une stabilisation de l’hémoglobine.
Le ravulizumab s’est avéré non inférieur à l’eculizumab pour le critère d’évaluation principal, à savoir la variation relative du taux de LDH entre l’inclusion et le jour 183, et pour tous les quatre principaux critères d’évaluation secondaires (figure 2).
Figure 2 : Analyse du critère d’évaluation principal et des critères d’évaluation secondaires – Population complète d’analyse (étude chez des patients préalablement traités par l’eculizumab)
|
|
|
Ravulizumab (N = 97)
|
Eculizumab (N = 98)
|
Différence (IC à 95 %)
| |
|
|

|
|
|
| |
Variation du taux de LDH par rapport à l’inclusion
|
-0,8
|
8,4
|
9,2 (-0,4 ; 18,8)
| |
|
|
|
| |
Épisodes hémolytiques (%)
|
0
|
5,1
|
5,1 (-8,9 ; 19,0)
| |
Variation du score FACIT-Fatigue
|
2,0
|
0,5
|
1,5 (-0,2 ; 3,2)
| |
|
|
|
| |
Absence de recours à la transfusion (%)
|
87,6
|
82,7
|
5,5 (-4,3 ; 15,7)
| |
Stabilisation de l’hémoglobine (%)
|
76,3
|
75,5
|
1,4 (-10,4 ; 13,3)
| |
|
|
|
| |
|
|
|
| |
|
En faveur de l’eculizumab
|
En faveur du ravulizumab
|
|
|
|
Note : les triangles noirs indiquent les marges de non-infériorité et les points gris indiquent les estimations ponctuelles.
Note : LDH = lactate déshydrogénase ; IC = intervalle de confiance.
L’analyse finale de l’efficacité de l’étude a inclus tous les patients ayant déjà été traités par le ravulizumab (n = 192) et ayant reçu un traitement pendant une durée moyenne de 968 jours. L’analyse finale a confirmé que la réponse au traitement par le ravulizumab observée pendant la période d’évaluation principale s’est maintenue pendant toute la durée de l’étude.
Syndrome hémolytique et urémique atypique (SHUa)
Étude chez les patients adultes atteints de SHUa (ALXN1210-aHUS-311)
L’étude chez l’adulte était une étude clinique de phase III multicentrique, à bras unique chez des patients atteints d’un SHUa documenté, naïfs de traitement par inhibiteur du complément avant leur inclusion dans cette étude et présentant des signes de microangiopathie thrombotique (MAT). L’étude comprenait une période d’évaluation initiale de 26 semaines et les patients pouvaient être inclus dans une phase d’extension d’une durée maximale de 4,5 ans.
Au total, 58 patients atteints de SHUa documenté ont été inclus. Selon les critères d’inclusion, les patients présentant une MAT due à un purpura thrombocytopénique thrombotique (PTT), ou à un syndrome hémolytique et urémique à Escherichia coli producteur de toxines Shiga (SHU à STEC) étaient exclus. Deux patients ont été exclus de la population complète d’analyse en raison d’un diagnostic confirmé de SHU à STEC. À l’inclusion, 93 % des patients présentaient des signes ou symptômes extrarénaux (aux niveaux cardiovasculaire, pulmonaire, du système nerveux central, gastro-intestinal, cutané ou musculo-squelettique) d’un SHUa.
Le tableau 11 présente les caractéristiques démographiques et initiales des 56 patients adultes inclus dans l’étude ALXN1210-aHUS-311 qui ont constitué la population complète d’analyse.
Tableau 11 : Caractéristiques initiales dans l’étude menée chez des patients adultes
|
Paramètres
|
Statistiques
|
Ravulizumab (n = 56)
| |
Âge (ans) lors de la première perfusion
|
Moyenne (ET) min., max.
|
42,2 (14,98) 19,5 ; 76,6
| |
Sexe masculin
|
n (%)
|
19 (33,9)
| |
Origine ethnique a asiatique caucasienne autre
|
n (%)
|
15 (26,8) 29 (51,8) 12 (21,4)
| |
Antécédents de greffe
|
n (%)
|
8 (14,3)
| |
Plaquettes (109/L), sang
|
n Médiane (min., max.)
|
56 95,25 (18 ; 473)
| |
Hémoglobine (g/L), sang
|
n Médiane (min., max.)
|
56 85,00 (60,5 ; 140)
| |
LDH (U/L), sérum
|
n Médiane (min., max.)
|
56 508,00 (229,5 ; 3249)
| |
DFGe (mL/min/1,73 m2)
|
n (%) Médiane (min., max.)
|
55 10,00 (4 ; 80)
| |
Patients sous dialyse
|
n (%)
|
29 (51,8)
| |
Patientes en postpartum
|
n (%)
|
8 (14,3)
|
Note : Les pourcentages sont basés sur le nombre total de patients.
Abréviations : DFGe = débit de filtration glomérulaire estimé ; LDH = lactate déshydrogénase ; max = maximum ; min = minimum.
Le critère d’évaluation principal était une réponse complète de la MAT pendant la période d’évaluation initiale de 26 semaines, attestée par une normalisation des paramètres hématologiques (plaquettes ≥ 150 × 109/L et LDH ≤ 246 U/L) et une amélioration de ≥ 25 % de la créatinine sérique par rapport à l’inclusion. Les patients devaient satisfaire à chaque critère de réponse complète de la MAT lors de 2 évaluations distinctes réalisées à intervalle d’au moins 4 semaines (28 jours) et lors de chaque mesure intermédiaire.
Une réponse complète de la MAT a été observée chez 30 des 56 patients (53,6 %) pendant la période d’évaluation initiale de 26 semaines, comme indiqué dans le tableau 12.
Tableau 12 : Analyse de la réponse complète de la MAT et des critères de la réponse complète de la MAT pendant la période d’évaluation initiale de 26 semaines (ALXN1210-aHUS-311).
|
|
Total
|
Répondeur
| |
n
|
Proportion (IC à 95 %) a
| |
Réponse complète de la MAT
|
56
|
30
|
0,536 (0,396 ; 0,675)
| |
Critères de la réponse complète de la MAT
|
|
|
| |
Normalisation des plaquettes
|
56
|
47
|
0,839 (0,734 ; 0,944)
| |
Normalisation de la LDH
|
56
|
43
|
0,768 (0,648 ; 0,887)
| |
Amélioration ≥ 25 % de la créatinine sérique par rapport à l’inclusion
|
56
|
33
|
0,589 (0,452 ; 0,727)
| |
Normalisation des paramètres hématologiques
|
56
|
41
|
0,732 (0,607 ; 0,857)
|
a Les IC à 95 % de la proportion étaient basés sur la méthode d’approximation asymptotique gaussienne avec une correction de continuité.
Abréviations : IC = intervalle de confiance ; LDH = lactate déshydrogénase ; MAT = microangiopathie thrombotique.
Quatre autres patients ont présenté une réponse complète de la MAT, qui a été confirmée après la période d’évaluation initiale de 26 semaines (avec une réponse complète de la MAT observée aux jours 169, 302, 401 et 407). Ainsi, 34 des 56 patients ont présenté une réponse complète de la MAT (60,7 % ; IC à 95 % : 47,0 %, 74,4 %). La réponse des critères individuels a augmenté à 48 patients (85,7 % ; IC à 95 % : 75,7 %, 95,8 %) pour la normalisation des plaquettes, 47 patients (83,9 % ; IC à 95 % : 73,4 %, 94,4 %) pour la normalisation de la LDH et 35 patients (62,5 % ; IC à 95 % : 48,9 %, 76,1 %) pour l’amélioration de la fonction rénale.
Une réponse complète de la MAT a été atteinte après une période médiane de 86 jours (7 à 169 jours). Une augmentation du nombre de plaquettes moyen a été observée peu après le début du traitement par le ravulizumab, ce nombre passant de 118,52 × 109/L lors de l’inclusion à 240,34 × 109/L au jour 8 et restant au-dessus de 227 × 109/L lors de toutes les visites ultérieures de la période d’évaluation initiale (26 semaines). De même, le taux moyen de LDH a diminué par rapport à la valeur à l’inclusion au cours des 2 premiers mois de traitement et s’est maintenu pendant toute la période d’évaluation initiale (26 semaines).
Chez les patients présentant une insuffisance rénale chronique de stade 5, 67,6 % (23/34) ont présenté une amélioration de la maladie rénale chronique d’au moins un stade. Le stade de l’insuffisance rénale chronique a continué à s’améliorer chez de nombreux patients (19/30) après qu’ils aient obtenu une réponse complète de la MAT pendant la période d’évaluation initiale de 26 semaines. Dix-sept des 29 patients nécessitant des séances de dialyse à l’inclusion étaient en mesure d’arrêter les séances au terme du suivi disponible, tandis que 6 des 27 patients qui n’avaient pas besoin de séances de dialyse à l’inclusion étaient sous dialyse lors du dernier suivi disponible. Le tableau 13 résume les critères d’efficacité secondaires de l’étude ALXN1210-aHUS-311.
Tableau 13 : Critères d’efficacité secondaires de l’étude ALXN1210-aHUS-311.
|
Paramètres
|
Étude ALXN1210aHUS-311 (n = 56)
| |
Paramètres hématologiques relatifs à la MAT, jour 183 Plaquettes (109/L), sang Moyenne (ET) Médiane LDH (U/L), sérum Moyenne (ET) Médiane
|
Valeur observée (n = 48) 237,96 (73,528) 232,00 194,46 (58,099) 176,50
|
Variation par rapport à l’inclusion (n = 48) 114,79 (105,568) 125,00 -519,83 (572,467) -310,75
| |
Augmentation de l’hémoglobine ≥ 20 g/L par rapport à l’inclusion avec une confirmation du résultat avant la fin de la période d’évaluation initiale m/n Proportion (IC à 95 %)**
|
40/56 0,714 (0,587 ; 0,842)
| |
Modification du stade de l’IRC par rapport à l’inclusion, jour 183 Améliorationa m/n Proportion (IC à 95 %)* Détériorationb m/n Proportion (IC à 95 %)*
|
32/47 0,681 (0,529 ; 0,809) 2/13 0,154 (0,019 ; 0,454)
| |
DFGe (mL/min/1,73 m2), jour 183 Moyenne (ET) Médiane
|
Valeur observée (n = 48) 51,83 (39,162) 40,00
|
Variation par rapport à l’inclusion (n = 47) 34,80 (35,454) 29,00
|
Note : n : nombre de patients avec des données disponibles pour une évaluation donnée lors de la visite du jour 183 ; m : nombre de patients répondant à un critère donné. Le stade de l’insuffisance rénale chronique (IRC) est déterminé d’après la classification en stades de l’insuffisance rénale chronique (Chronic Kidney Disease Stage) proposée par la National Kidney Foundation. Le stade 5 correspond au stade terminal et le stade 1 à la forme la moins avancée de la maladie. Le stade à l’inclusion est déterminé à partir du dernier DFGe disponible avant le début du traitement. Amélioration/détérioration : par rapport au stade de l’IRC à l’inclusion.* Les intervalles de confiance à 95 % (IC à 95 %) sont basés sur les limites de confiance exactes déterminées à l’aide de la méthode de Clopper-Pearson. a Exclut les patients présentant une IRC de stade 1 à l’inclusion, car aucune amélioration n’est possible. b Exclut les patients présentant une IRC de stade 5 à l’inclusion, car aucune détérioration n’est possible.
Abréviations : DFGe = débit de filtration glomérulaire estimé ; LDH = lactate déshydrogénase ; MAT = microangiopathie thrombotique.
Myasthénie grave généralisée (MGg)
Étude portant sur des patients adultes atteints de MGg
L’efficacité et la sécurité du ravulizumab chez les patients adultes atteints de MGg ont été évaluées dans une étude de phase III, multicentrique randomisée, en double aveugle, contrôlée par placebo (ALXN1210-MG-306). Les patients participant à cette étude ont ensuite pu passer à une phase d’extension en ouvert au cours de laquelle tous les patients ont reçu le ravulizumab.
Les patients présentant une MGg (diagnostic depuis au moins 6 mois) et un test sérique positif pour les anticorps anti-récepteurs d’acétylcholine (AchR), classe de classification clinique II à IV selon MGFA (Myasthenia Gravis Foundation of America) et symptômes résiduels prouvés par un score total de 6 pour la Myasthenia Gravis Activities of Daily Living (MG-ADL), ont été randomisés sur un traitement par le ravulizumab (N = 86) ou un placebo (N = 89). Les patients sous thérapies immunosuppressives (corticostéroïdes, azathioprine, cyclophosphamide, cyclosporine, méthotrexate, mycophénolate mofétil ou tacrolimus) pouvaient poursuivre cette thérapie préexistante pendant toute la durée de l’étude. En outre, un traitement d’urgence (y compris des corticostéroïdes à haute dose, EP/PP ou IgIV) était autorisé si un patient présentait une détérioration clinique telle que définie dans le protocole de l’étude.
Au total, 162 patients (92,6 %) ont terminé la période contrôlée randomisée de 26 semaines de l’étude ALXN1210-MG-306. Les caractéristiques des patients au début de l’étude sont présentées dans le tableau 14. La majorité des patients admis dans l’étude (97 %) avaient été traités avec au moins un traitement immunomodulateur, y compris des immunosuppresseurs, un EP/PP ou des IgIV, au cours des deux dernières années précédant l’étude.
Tableau 14 : Caractéristiques au début de l’étude ALXN1210-MG-306
|
Paramètre
|
Statistiques
|
Placebo (N = 89)
|
Ravulizumab (N = 86)
| |
Sexe Masculin Féminin
|
n (%)
|
44 (49,4) 45 (50,6)
|
42 (48,8) 44 (51,2)
| |
Âge à la première perfusion du médicament expérimental (années)
|
Moyenne (ET) (min., max.)
|
53,3 (16,05) (20, 82)
|
58,0 (13,82) (19, 79)
| |
Patients âgés (≥ 65 ans) à l’entrée dans l’étude
|
n (%)
|
24 (27,0)
|
30 (34,9)
| |
Durée de la MG depuis le diagnostic (années)
|
Moyenne (ET) (min., max.) Médiane
|
10,0 (8,90) (0,5 ; 36,1) 7,6
|
9,8 (9,68) (0,5 ; 39,5) 5,7
| |
Score MG-ADL initial
|
Moyenne (ET) (min., max.) Médiane
|
8,9 (2,30) (6,0 ; 15,0) 9,0
|
9,1 (2,62) (6,0 ; 24,0) 9,0
| |
Score QMG initial
|
Moyenne (ET) (min., max.) Médiane
|
14,5 (5,26) (2,0 ; 27,0) 14,0
|
14,8 (5,21) (6,0 ; 39,0) 15,0
| |
Classification MGFA au début de l’étude Classe II (faiblesse légère) Classe III (faiblesse modérée) Classe IV (faiblesse importante)
|
n (%)
|
39 (44) 45 (51) 5 (6)
|
39 (45) 41 (48) 6 (7)
| |
Intubations antérieures éventuelles depuis le diagnostic (classe V MGFA)
|
n (%)
|
9 (10,1)
|
8 (9,3)
| |
Nombre de patients avec crise antérieure de MG depuis le diagnostica
|
n (%)
|
17 (19,1)
|
21 (24,4)
| |
Nombre de thérapies immunosuppressives stablesb à l’entrée dans l’étude 0 1 ≥ 2
|
n (%)
|
8 (9,0) 34 (38,2) 47 (52,8)
|
10 (11,6) 40 (46,5) 36 (41,9)
|
a Les données relatives aux crises de MG précédentes ont été enregistrées au moment de l’anamnèse et n’ont pas été évaluées conformément à la définition du protocole d’investigation clinique.
b Les thérapies immunosuppressives comprenaient des corticostéroïdes, l’azathioprine, le cyclophosphamide, la cyclosporine, le méthotrexate, le mycophénolate mofétil ou le tacrolimus.
Abréviations : max. = maximum ; min. = minimum ; MG = Myasthénie grave ; MG-ADL = Myasthenia Gravis Activities of Daily Living ; MGFA = Myasthenia Gravis Foundation of America ; QMG = Quantitative Myasthenia Gravis ; ET = écart-type
Le critère d’évaluation principal était la variation du score total MG-ADL par rapport au début de l’étude à la semaine 26.
Les critères secondaires, qui ont également évalué les variations par rapport au début de l’étude jusqu’à la semaine 26, comprenaient la modification du score quantitatif total de la myasthénie grave (QMG), la proportion de patients avec améliorations de 5 ou 3 points du score total QMG et MG-ADL ainsi que des variations dans les évaluations de la qualité de vie.
Le ravulizumab a montré une différence statistiquement significative du score total MG ADL par rapport au placebo. Les critères primaires et secondaires sont présentés dans le tableau 15.
Tableau 15 : Analyse des critères d’efficacité principal et secondaires
|
Critère d’évaluation de l’efficacité à la semaine 26
|
Placebo (N = 89) moyenne LS (SEM)
|
Ravulizumab (N = 86) moyenne LS (SEM)
|
Statistiques pour la comparaison
|
Effet du traitement (IC à 95 %)
|
Valeur p (avec mesures répétées à modèles mixtes)
| |
MG-ADL
|
-1,4 (0,37)
|
-3,1 (0,38)
|
Différence de variation par rapport à l’inclusion
|
-1,6 (-2,6 ; -0,7)
|
0,000 9
| |
QMG
|
-0,8 (0,45)
|
-2,8 (0,46)
|
Différence de variation par rapport à l’inclusion
|
-2,0 (-3,2 ; -0,8)
|
0,000 9
| |
MG-QoL15r
|
-1,6 (0,70)
|
-3,3 (0,71)
|
Différence de variation par rapport à l’inclusion
|
-1,7 (-3,4 ; 0,1)
|
0,063 6
| |
Neuro-QoL-Fatigue
|
-4,8 (1,87)
|
-7,0 (1,92)
|
Différence de variation par rapport à l’inclusion
|
-2,2 (-6,9 ; 2,6)
|
0,3734a
|
a La signification statistique du critère d’évaluation n’a pas été testée formellement ; une valeur de p nominale a été déterminée.
Abréviations : IC = intervalle de confiance ; LS = moindres carrés ; MG-ADL = Myasthenia Gravis Activities of Daily Living ; MG-QoL15r = échelle de qualité de vie révisée pour la myasthénie grave à 15 items ; Neuro-QoL-fatigue = qualité de vie neurologique, fatigue ; QMG = Quantitative Myasthenia Gravis ; SEM = erreur standard de la moyenne.
Dans l’étude ALXN1210-MG-306, un répondeur clinique selon le score global MG-ADL était défini comme un patient avec une amélioration de 3 points au moins. La proportion de répondeurs cliniques à la semaine 26 était de 56,7 % sous ravulizumab contre 34,1 % sous placebo (nominal p=0,004 9). Selon le score global de QMG, un répondeur clinique était défini comme un patient avec une amélioration de 5 points au moins. La proportion de répondeurs cliniques à la semaine 26 était de 30,0 % sous ravulizumab contre 11,3 % sous placebo (p=0,005 2).
Le tableau 16 présente une vue d’ensemble des patients avec détérioration clinique et des patients nécessitant un traitement d’urgence au cours de la période contrôlée randomisée de 26 semaines.
Tableau 16 : Détérioration clinique et traitement d’urgence
|
Paramètre
|
Statistiques
|
Placebo (N = 89)
|
Ravulizumab (N = 86)
| |
Nombre total de patients présentant une détérioration clinique
|
n (%)
|
15 (16,9)
|
8 (9,3)
| |
Nombre total de patients nécessitant un traitement d’urgencea
|
n (%)
|
14 (15,7)
|
8 (9,3)
|
a Le traitement d’urgence comprenait un corticostéroïde à haute dose, un échange plasmatique/une plasmaphérèse ou l’administration d’immunoglobulines intraveineuses.
Au moment de l’analyse, 150 des 158 patients admis dans la phase d’extension en ouvert étaient encore inclus dans l’étude.
L’effet du traitement a été maintenu chez les patients ayant initialement reçu ULTOMIRIS pendant la période de traitement contrôlée randomisée et ayant continué à recevoir ULTOMIRIS pendant les 34 premières semaines de la période d’extension en ouvert (figure 3). Une réponse rapide et durable au traitement a été observée chez les patients ayant initialement reçu un placebo pendant la période de traitement randomisée contrôlée de 26 semaines et ayant commencé un traitement avec ULTOMIRIS pendant la période d’extension ouverte (figure 3).
Figure 3 : Variation du score total MG-ADL (A) et du score total QMG (B) par rapport à l’inclusion pendant la période de traitement contrôlée randomisée jusqu’à la semaine 60 incluse (moyenne et IC à 95 %)
Abréviations : IC = intervalle de confiance ; MG-ADL = Myasthenia Gravis Activities of Daily Living; QMG = Quantitative Myasthenia Gravis
Dans la phase d’extension en ouvert de l’étude, les médecins traitants ont eu la possibilité d’ajuster les thérapies immunosuppressives. Parmi les patients observés pendant la période d’extension en ouvert pendant 34 semaines, 28,0 % des patients avaient réduit leur dose quotidienne de corticostéroïdes et 6,2 % des patients avaient arrêté le traitement par corticostéroïdes. La raison la plus fréquente de l’ajustement de la corticothérapie était une amélioration des symptômes de la MG pendant le traitement par le ravulizumab.
Maladies du spectre de la neuromyélite optique (NMOSD)
Étude sur des patients adultes atteints de NMOSD
L’efficacité du ravulizumab chez les patients adultes atteints de NMOSD avec des anticorps anti-AQP4 positifs a été étudiée dans l’étude mondiale en ouvert ALXN1210-NMO-307.
L’étude ALXN1210-NMO-307 incluait 58 patients adultes atteints de NMOSD avec un test sérique positif pour les anticorps anti-AQP4, au moins 1 poussée au cours des 12 derniers mois avant la période de sélection, ainsi qu’un score ≤ 7 sur l’échelle de handicap étendue (EDSS). Un traitement antérieur avec des thérapies immunosuppressives (TIS) n’était pas nécessaire pour être inclus dans l’étude et 51,7 % des patients ont reçu une monothérapie avec le ravulizumab. Les patients recevant une TIS établie (corticostéroïdes, azathioprine, mycophénolate mofétil, tacrolimus) ont pu poursuivre le traitement en association au ravulizumab avec obligation de maintien d’une dose constante jusqu’à la semaine 106 de l’étude. En outre, une thérapie d’urgence pour le traitement des rechutes (y compris des corticostéroïdes à haute dose, EP/PP et IVIg) était autorisée si un patient présentait une poussée au cours de l’étude. Les patients inclus avaient un âge médian de 47,4 ans (18-74 ans) et étaient principalement des femmes (90 %). L’âge médian à la première manifestation clinique de NMOSD était de 42,5 ans, entre 16 et 73 ans. Les caractéristiques à l’inclusion dans l’étude sont présentées dans le tableau 17.
Tableau 17 : Antécédents médicaux liés à la maladie et caractéristiques initiales des patients dans l’étude ALXN1210-NMO-307
|
Variable
|
Statistique
|
|
ALXN1210-NMO-307 Ravulizumab (N = 58)
| |
Délai entre les premières manifestations cliniques de NMOSD et la première dose de médicament expérimental (années)
|
Moyenne (ET)
|
|
5,2 (6,38)
| |
Médiane
|
|
2,0
| |
min., max.
|
|
0,19 ; 24,49
| |
TAP historique au cours des 24 mois précédant la sélection
|
Moyenne (ET)
|
|
1,87 (1,59)
| |
Médiane
|
|
1,44
| |
min., max.
|
|
0,5 ; 6,9
| |
Score HAI à l’inclusion
|
Moyenne (ET)
|
|
1,2 (1,42)
| |
Médiane
|
|
1,0
| |
min., max.
|
|
0 ; 7
| |
Score EDSS à l’inclusion
|
Moyenne (ET)
|
|
3,30 (1,58)
| |
Médiane
|
|
3,25
| |
min., max.
|
|
0,0 ; 7,0
| |
Tout traitement antérieur par le rituximab
|
n (%)
|
|
21 (36,2)
| |
Nombre de patients recevant uniquement des corticoïdes à dose stable à l’inclusion dans l’étude
|
n (%)
|
|
12 (20,7)
| |
Nombre de patients sans TIS à l’inclusion dans l’étude
|
n (%)
|
|
30 (51,7)
|
Abréviations : TAP = taux annualisé de poussées ; EDSS = Expanded Disability Status Scale (échelle d’évaluation du handicap) ; HAI = Hauser Ambulation Index (échelle d’évaluation quantitative de la marche) ; TIS = traitement immunosuppresseur ; max = maximum ; min = minimum ; NMOSD = maladies du spectre de la neuromyélite optique ; ET = écart-type.
Le critère d’évaluation principal de l’étude ALXN1210-NMO-307 était le délai jusqu’à la première poussée survenant pendant l’étude, confirmée par un comité d’évaluation indépendant. Aucune poussée confirmée n’a été observée chez les patients traités par le ravulizumab au cours de la période de traitement principale. Tous les patients traités par le ravulizumab étaient sans poussée pendant le suivi d’une durée médiane de 90,93 semaines. Les résultats du critère d’évaluation principal, l’absence de poussées, étaient concordants chez les patients traités par le ravulizumab avec ou sans TIS concomitant.
Le ravulizumab n’a pas été étudié dans le traitement aigu des poussées chez les patients atteints de NMOSD.
Sécurité et efficacité en pédiatrie
Hémoglobinurie paroxystique nocturne (HPN)
Étude sur des patients pédiatriques atteints d’HPN (ALXN1210-PNH-304)
L’étude pédiatrique (ALXN1210-PNH-304) est une étude multicentrique ouverte de phase III menée chez des enfants et des adolescents atteints d’HPN préalablement traités par eculizumab ou naïfs d’inhibiteur du complément.
Selon les résultats intermédiaires, un total de 13 patients pédiatriques atteints d’HPN ont terminé le traitement par le ravulizumab pendant la période d’évaluation principale (26 semaines) de l’étude ALXN1210-PNH-304. Cinq des 13 patients étaient naïfs d’inhibiteur du complément et 8 patients avaient reçu un traitement par l’eculizumab avant l’inclusion dans l’étude.
La plupart des patients étaient âgés de 12 à 17 ans lors de la première perfusion (âge moyen : 14,4 ans), tandis que 2 patients étaient âgés de moins de 12 ans (11 ans et 9 ans). Huit des 13 patients étaient de sexe féminin. Le poids corporel moyen au début de l’étude était de 56 kg, fourchette : 37 à 72 kg. Le tableau 18 présente les antécédents médicaux et les caractéristiques des patients pédiatriques inclus dans l’étude ALXN1210-PNH-304 au début de l’étude.
Tableau 18 : Antécédents médicaux et caractéristiques au début de l’étude (population d’analyse complète)
|
Variable
|
Patients naïfs d’inhibiteur du complément (n = 5)
|
Patients prétraités par l’eculizumab (n = 8)
| |
Taille totale du clone HPN érythrocytaire (%)
|
(n = 4)
|
(n = 6)
| |
Médiane (min., max.)
|
40,05 (6,9 ; 68,1)
|
71,15 (21,2 ; 85,4)
| |
Taille totale du clone HPN granulocytaire (%) Médiane (min., max.)
|
78,30 (36,8 ; 99,0)
|
91,60 (20,3 ; 97,6)
| |
Nombre de patients ayant reçu des transfusions de concentré érythrocytaire/sang total au cours des 12 mois précédant la première dose, n (%)
|
2 (40,0)
|
2 (25,0)
| |
Nombre de transfusions de concentré érythrocytaire/sang total au cours des 12 mois précédant la première dose
|
|
| |
Total
|
10
|
2
| |
Médiane (min., max.)
|
5,0 (4 ; 6)
|
1,0 (1 ; 1)
| |
Unités de concentré érythrocytaire/sang total transfusées au cours des 12 mois précédant la première dose
|
|
| |
Total
|
14
|
2
| |
Médiane (min., max.)
|
7,0 (3 ; 11)
|
2,0 (2 ; 2)
| |
Patients atteints de pathologies liées à l’HPN avant l’obtention du consentement éclairé à l’étude, n (%) Anémie Hématurie ou hémoglobinurie Anémie aplasique Insuffisance rénale Autrea
|
5 (100) 2 (40,0)
|
8 (100) 5 (62,5)
| |
2 (40,0) 3 (60,0) 2 (40,0) 0
|
5 (62,5) 1 (12,5) 2 (25,0) 1 (12,5)
| |
Taux de LDH avant traitement U/L) Médiane (min., max.)
|
588,50 (444 ; 2 269,7)
|
251,50 (140,5 ; 487)
|
a Les autres pathologies liées à l’HPN étaient rapportées avec les termes « infarctus rénal et splénique » et « lésions multiples évoquant un processus embolique ».
Note : les pourcentages sont basés sur le nombre total de patients dans chaque cohorte.
Abréviations : LDH = lactate déshydrogénase ; max. = maximum ; min. = minimum ; HPN = hémoglobinurie paroxystique nocturne.
Les patients ont reçu une dose de charge de ravulizumab en fonction du poids corporel au jour 1, suivie d’un traitement d’entretien au jour 15, puis une fois toutes les 8 semaines (q8S) pour les patients dont le poids corporel est ≥ 20 kg ou une fois toutes les 4 semaines (q4S) pour les patients dont le poids corporel est < 20 kg. Pour les patients qui recevaient un traitement par l’eculizumab à l’entrée dans l’étude, le jour 1 du traitement de l’étude était prévu 2 semaines après la dernière dose d’eculizumab du patient.
Le ravulizumab administré selon un schéma posologique en fonction du poids corporel a conféré une inhibition immédiate, complète et maintenue de la voie terminale du complément pendant toute la période d’évaluation principale de 26 semaines, que les patients aient été ou non préalablement traités par l’eculizumab. Après l’instauration du traitement par le ravulizumab, les concentrations sériques du ravulizumab à l’état d’équilibre ont été atteintes immédiatement après la première dose et se sont maintenues pendant toute la période d’évaluation principale de 26 semaines dans les deux cohortes. Il n’a pas été observé d’épisodes hémolytiques dans l’étude et aucun patient n’a eu un taux de protéine C5 libre supérieur à 0,5 μg/mL après l’inclusion. Pendant la période d’évaluation principale de 26 semaines, la variation relative moyenne du taux de LDH par rapport à l’inclusion était de -47,91 % le jour 183 dans la cohorte de patients naïfs d’inhibiteur du complément et le taux est resté stable dans la cohorte de patients préalablement traités par l’eculizumab. Soixante pour cent des patients naïfs d’inhibiteur du complément (3/5) et 75 % des patients préalablement traités par l’eculizumab (6/8) respectivement avaient obtenu une stabilisation de l’hémoglobine à la semaine 26. L’absence de recours à la transfusion a été rapportée chez 84,6 % des patients (11/13) pendant la période d’évaluation principale de 26 semaines.Ces résultats intermédiaires des critères d’efficacité sont résumés dans le tableau 19 ci-dessous.
Tableau 19 : Résultats d’efficacité de l’étude clinique chez des patients pédiatriques atteints d’HPN (ALXN1210-PNH-304) – période d’évaluation principale de 26 semaines
|
Critère d’évaluation
|
Ravulizumab (naïfs d’inhibiteur du complément, n = 5)
|
Ravulizumab (Relais, traités préalablement par un inhibiteur du complément, n = 8)
| |
LDH - Variation par rapport à l’inclusion (%) Valeur moyenne (ET)
|
-47,91 (52,716)
|
4,65 (44,702)
| |
Absence de recours à la transfusion Pourcentage (IC à 95 %)
|
60,0 (14,66 ; 94,73)
|
100,0 (63,06 ; 100,00)
| |
Stabilisation de l’hémoglobine Pourcentage (IC à 95 %)
|
60,0 (14,66 ; 94,73)
|
75 (34,91 ; 96,81)
| |
Épisodes hémolytiques (%)
|
0
|
0
|
Abréviations : LDH = lactate déshydrogénase
Les résultats à long terme concernant l’efficacité à la fin de l’étude, sur une durée de traitement médiane de 915 jours, ont montré une réponse durable au traitement chez les patients pédiatriques atteints d’HPH.
Selon les données de ces résultats intermédiaires, l’efficacité du ravulizumab chez les patients pédiatriques atteints d’HPN s’est révélée similaire à celle observée chez les patients adultes atteints d’HPN.
Syndrome hémolytique et urémique atypique (SHUa)
L’utilisation d’Ultomiris pour le traitement du SHUa chez les patients pédiatriques est étayée par des données issues d’une étude clinique chez les enfants et adolescents (au total, 31 patients atteints de SHUa documenté ont été inclus. Vingt-huit patients âgés de 10 mois à 17 ans ont été inclus dans la population complète d’analyse).
Étude chez les patients pédiatriques atteints de SHUa (ALXN1210-aHUS-312)
L’étude pédiatrique est une étude en cours, de phase III, multicentrique, à bras unique, d’une durée de 26 semaines menée chez des enfants et adolescents.
Au total, 21 patients naïfs de traitement par eculizumab avec un diagnostic documenté de SHUa et des signes de MAT ont été inclus ; parmi ces patients, 18 ont été inclus dans la population complète d’analyse. Selon les critères d’inclusion, les patients présentant une MAT due à un PTT ou à un SHU à STEC étaient exclus. Deux patients ont reçu une seule dose et un patient a reçu 2 doses ; ils ont ensuite arrêté le traitement et ont été exclus de la population complète d’analyse, car le SHUa n’a pas été confirmé. Le poids corporel moyen à l’inclusion était de 22,2 kg ; la majorité des patients relevaient de la catégorie de poids corporel à l’inclusion de ≥ 10 à < 20 kg. La majorité des patients (72,2 %) présentaient des signes ou des symptômes extrarénaux (aux niveaux cardiovasculaire, pulmonaire, du système nerveux central, gastro-intestinal, cutané et musculo-squelettique) d’un SHUa lors de l’inclusion. À l’inclusion, 33,3 % (n = 6) des patients présentaient une IRC de stade 5.
Au total, 10 patients chez lesquels un relais de l’eculizumab par le ravulizumab a été effectué et qui présentaient un diagnostic documenté de SHUa et des signes de MAT ont été inclus. Les patients devaient présenter une réponse clinique à l’eculizumab avant l’inclusion (c’est-à-dire, taux de LDH < 1,5 × LSN et nombre de plaquettes ≥ 150 000/μL et DFGe > 30 mL/min/1,73 m2). Par conséquent, il n’existe aucune information sur l’utilisation du ravulizumab chez les patients réfractaires à l’eculizumab.
Le tableau 20 présente les caractéristiques initiales des patients pédiatriques inclus dans l’étude ALXN1210-aHUS-312.
Tableau 20 : Caractéristiques démographiques et initiales dans l’étude ALXN1210-aHUS-312
|
Paramètres
|
Statistiques
|
Ravulizumab (naïfs, n = 18)
|
Ravulizumab (relais, n = 10)
| |
Tranche d’âge (ans) lors de la première perfusion Naissance à < 2 ans 2 ans à < 6 ans 6 ans à < 12 ans 12 ans à < 18 ans
|
n (%)
|
2 (11,1) 9 (50,0) 5 (27,8) 2 (11,1)
|
1 (10,0) 1 (10,0) 1 (10,0) 7 (70,0)
| |
Sexe Masculin
|
n (%)
|
8 (44,4)
|
9 (90,0)
| |
Origine ethniquea Améridienne ou autochtone de l’Alaska Asiatique Noire ou afro-américaine Caucasienne Inconnue
|
n (%)
|
1 (5,6) 5 (27,8) 3 (16,7) 9 (50,0) 1 (5,6)
|
0 (0,0) 4 (40,0) 1 (10,0) 5 (50,0) 0 (0,0)
| |
Antécédents de greffe
|
n (%)
|
1 (5,6)
|
1 (10,0)
| |
Plaquettes (109/L), sang
|
Médiane (min., max.)
|
51,25 (14 ; 125)
|
281,75 (207 ; 415,5)
| |
Hémoglobine (g/L)
|
Médiane (min., max.)
|
74,25 (32 ; 106)
|
132,0 (114,5 ; 148)
| |
LDH (U/L)
|
Médiane (min., max.)
|
1963,0 (772 ; 4985)
|
206,5 (138,5 ; 356)
| |
DFGe (mL/min/1,73 m2)
|
Médiane (min., max.)
|
22,0 (10 ; 84)
|
99,75 (54 ; 136,5)
| |
Dialyse nécessaire à l’inclusion
|
n (%)
|
6 (33,3)
|
0 (0,0)
|
Note : Les pourcentages sont basés sur le nombre total de patients.
a Les patients peuvent présenter plusieurs origines ethniques.
Abréviations : SHUa = syndrome hémolytique et urémique atypique ; DFGe = débit de filtration glomérulaire estimé ; LDH = lactate déshydrogénase ; max = maximum ; min = minimum.
Le critère d’évaluation principal était une réponse complète de la MAT pendant la période d’évaluation initiale de 26 semaines, attestée par une normalisation des paramètres hématologiques (plaquettes ≥ 150 × 109/L et LDH ≤ 246 U/L) et une amélioration ≥ 25 % de la créatinine sérique par rapport à l’inclusion. Les patients devaient satisfaire à tous les critères de réponse complète de la MAT lors de 2 évaluations distinctes réalisées à intervalle d’au moins 4 semaines (28 jours) et lors de toute mesure intermédiaire.
Une réponse complète de la MAT a été observée chez 14 des 18 patients naïfs de traitement (77,8 %) pendant la période d’évaluation initiale de 26 semaines, comme indiqué dans le tableau 21.
Tableau 21 : Réponse complète de la MAT et analyse des critères de la réponse complète de la MAT pendant la période d’évaluation initiale de 26 semaines (ALXN1210aHUS-312)
|
|
Total
|
Répondeur
| |
n
|
Proportion (IC à 95 %) a
| |
Réponse complète de la MAT
|
18
|
14
|
0,778 (0,524 ; 0,936)
| |
Critères de la réponse complète de la MAT
|
|
|
| |
Normalisation des plaquettes
|
18
|
17
|
0,944 (0,727 ; 0,999)
| |
Normalisation de la LDH
|
18
|
16
|
0,889 (0,653 ; 0,986)
| |
Amélioration de ≥ 25 % de la créatinine sérique par rapport à l’inclusion
|
18
|
15
|
0,833 (0,586 ; 0,964)
| |
Normalisation des paramètres hématologiques
|
18
|
16
|
0,889 (0,653 ; 0,986)
|
Note : un patient s’est retiré de l’étude après avoir reçu 2 doses de ravulizumab.
a Les intervalles de confiance à 95 % (IC à 95 %) de la proportion étaient basés sur la méthode d’approximation asymptotique gaussienne avec une correction de continuité.
Abréviations : IC = intervalle de confiance ; LDH = lactate déshydrogénase ; MAT = microangiopathie thrombotique.
Pendant la période d’évaluation initiale, une réponse complète de la MAT a été atteinte après une période médiane de 30 jours (15 à 97 jours). Tous les patients présentant une réponse complète de la MAT l’ont conservée pendant toute la période d’évaluation initiale, avec une amélioration continue de la fonction rénale. Une augmentation du nombre de plaquettes moyen a été observée rapidement après le début du traitement par le ravulizumab, ce nombre passant de 60,50 × 109/L lors de l’inclusion à 296,67 × 109/L au jour 8 et restant au-dessus de 296 × 109/L lors de toutes les visites ultérieures au cours de la période d’évaluation initiale (26 semaines).
Trois patients supplémentaires ont présenté une réponse complète de la MAT, qui a été confirmée après la période d’évaluation initiale de 26 semaines (avec une réponse complète de la MAT survenant aux jours 291, 297 et 353) ; ainsi, 17 patients sur 18 (94,4 %) (IC à 95 % : 72,7 %, 99,9 %) ont présenté une réponse complète de la MAT. La réponse des composantes individuelles a augmenté et est passée à 17 patients sur 18 (94,4 % ; IC à 95 % : 72,7 % ; 99,9 %) pour la normalisation du nombre de plaquettes, 17 patients sur 18 (94,4 % ; IC à 95 % : 72,7 % ; 99,9 %) pour la normalisation de la LDH et 17 patients sur 18 (94,4 % ; IC à 95 % : 72,7 % ; 99,9 %) pour l’amélioration de la fonction rénale.
Les 6 patients qui avaient besoin de séances de dialyse lors de leur inclusion dans l’étude étaient en mesure d’arrêter les séances ; 5 d’entre eux les avaient déjà arrêtées au jour 43. Aucun patient n’a commencé de dialyse pendant l’étude. La majorité de la population de patients (15/17) présentait une amélioration d’au moins 1 stade de l’IRC au jour 183 ; 14 patients présentaient une amélioration d’au moins 2 stades. Le tableau 22 résume les résultats des critères d’efficacité secondaires de l’étude ALXN1210-aHUS-312.
Tableau 22 : Critère d’efficacité secondaire de l’étude ALXN1210-aHUS-312.
|
Paramètres
|
Étude ALXN1210aHUS-312 (n = 18)
| |
Paramètres hématologiques relatifs à la MAT, jour 183 Plaquettes (109/L), sang Moyenne (ET) Médiane LDH (U/L), sérum Moyenne (ET) Médiane
|
Valeur observée (n = 17) 304,94 (75,711) 318,00 262,41 (59,995) 247,00
|
Variation par rapport à l’inclusion (n = 17) 245,59 (91,827) 247,00 -2044,13 (1328,059) -1851,50
| |
Augmentation de l’hémoglobine ≥ 20 g/L par rapport à l’inclusion avec une confirmation du résultat pendant la période d’évaluation initiale m/N Proportion (IC à 95 %)*
|
16/18 0,889 (0,653 ; 0,986)
| |
Modification du stade de l’IRC par rapport à l’inclusion, jour 183 Améliorationa m/n Proportion (IC à 95 %)* Détériorationb m/n Proportion (IC à 95 %)*
|
15/17 0,882 (0,636 ; 0,985) 0/11 0,000 (0,000 ; 0,285)
| |
DFGe (mL/min/1,73 m2), jour 183 Moyenne (ET) Médiane
|
Valeur observée (n = 17) 108,5 (56,87) 108,0
|
Variation par rapport à l’inclusion (n = 17) 85,4 (54,33) 80,0
|
Note : n : nombre de patients avec des données disponibles pour une évaluation donnée lors de la visite du jour 183 ; m : nombre de patients répondant à un critère donné. Le stade de l’insuffisance rénale chronique (IRC) est déterminé d’après la classification en stades de l’insuffisance rénale chronique (Chronic Kidney Disease Stage) proposée par la National Kidney Foundation. Le stade 1 correspond au stade le moins avancé de la maladie et le stade 5 au stade terminal. Le stade à l’inclusion est déterminé à partir du dernier DFGe disponible avant le début du traitement. Amélioration/détérioration : par rapport au stade de l’IRC à l’inclusion.
* Les intervalles de confiance à 95 % (IC à 95 %) sont basés sur les limites de confiance exactes déterminées à l’aide de la méthode de Clopper Pearson.
a La catégorie « amélioration » exclut les patients présentant une IRC de stade 1 à l’inclusion, car aucune amélioration n’est possible.
b La catégorie « détérioration » exclut les patients présentant une IRC de stade 5 à l’inclusion, car aucune détérioration n’est possible.
Abréviations : DFGe = débit de filtration glomérulaire estimé ; LDH = lactate déshydrogénase ; MAT = microangiopathie thrombotique.
Chez les patients préalablement traités par l’eculizumab, un relais de l’eculizumab par le ravulizumab a permis de maintenir le contrôle de la maladie, comme le montrent les paramètres hématologiques et rénaux stables, sans incidence notable sur la sécurité.
L’efficacité du ravulizumab dans le traitement du SHUa semble similaire chez les patients pédiatriques et les patients adultes.
PharmacocinétiqueAbsorption
La voie d’administration du ravulizumab étant une perfusion intraveineuse et la forme pharmaceutique étant une solution, 100 % de la dose administrée sont considérés comme biodisponibles. Le temps jusqu’à la concentration maximale observée (tmax) est prévu à la fin de la perfusion (FDP) ou peu de temps après la FDP. Les concentrations thérapeutiques du médicament à l’état d’équilibre sont atteintes après la première dose.
Distribution
Le tableau 23 présente le volume central et le volume de distribution moyens à l’état d’équilibre (Steady State) chez les patients adultes et pédiatriques atteints d’HPN ou de SHUa et chez les patients adultes atteints de MGg ou de NMOSD.
Métabolisme
Le ravulizumab étant un anticorps monoclonal de type immunoglobuline gamma (IgG), il devrait être métabolisé de la même manière que toute IgG endogène (dégradé en petits peptides et acides aminés par des voies cataboliques) et être éliminé de la même façon. Le ravulizumab contient uniquement des acides aminés naturellement présents et n’a pas de métabolites actifs connus.
Élimination
Le tableau 23 présente les valeurs moyennes (ET) pour la demi-vie terminale d’élimination ou la clairance du ravulizumab chez les patients adultes et pédiatriques atteints d’HPN ou de SHUa et les patients adultes atteints de MGg ou de NMOSD.
Tableau 23 : Paramètres pour le volume central estimé ainsi que pour la distribution, la biotransformation et l’élimination après traitement par le ravulizumab
|
|
Patients adultes et pédiatriques avec HPN
|
Patients adultes et pédiatriques avec SHUa
|
Patients adultes avec MGg
|
Patients adultes avec NMOSD
| |
Volume central estimé (litres) Moyenne (ET)
|
Adultes : 3,44 (0,65) Enfants et adolescents : 2,87 (0,60)
|
Adultes : 3,25 (0,61) Enfants et adolescents : 1,14 (0,51)
|
3,42 (0,756)
|
2,91 (0,571)
| |
Volume de distribution à l’état d’équilibre (litres) Moyenne (ET)
|
5,30 (0,9)
|
5,22 (1,85)
|
5,74 (1,16)
|
4,77 (0,819)
| |
Demi-vie terminale d’élimination (jours) Moyenne (ET)
|
49,6 (9,1)
|
51,8 (16,2)
|
56,6 (8,36)
|
64,3 (11,0)
| |
Clairance (litres/jour) Moyenne (ET)
|
0,08 (0,022)
|
0,08 (0,04)
|
0,08 (0,02)
|
0,05 (0,016)
|
Abréviations : SHUa = syndrome urémique hémolytique atypique ; MGg = myasthénie grave généralisée ; NMOSD = maladies du spectre de la neuromyélite optique ; HPN = hémoglobinurie nocturne paroxystique ; ET = écart-type.
Linéarité/non-linéarité
Dans l’intervalle de doses et de posologies étudiées, la pharmacocinétique (PK) du ravulizumab était proportionnelle à la dose et linéaire dans le temps.
Cinétique pour certains groupes de patients
Poids corporel
Le poids corporel est une covariable significative chez les patients atteints d’HPN, de SHUa, de MGg ou de NMOSD, conduisant à des niveaux d’exposition plus faibles chez les patients ayant un poids corporel plus élevé. La posologie en fonction du poids corporel est proposée à la rubrique « Posologie/Mode d’emploi », tableau 1, tableau 2 et tableau 3.
Il n’a pas été effectué d’étude formelle de l’effet du sexe, de l’origine ethnique, de l’âge (population gériatrique), de l’insuffisance hépatique ou rénale sur la pharmacocinétique du ravulizumab. Toutefois, l’analyse pharmacocinétique de population n’a pas mis en évidence d’effet du sexe, de l’âge, de l’origine ethnique et de l’insuffisance hépatique ou rénale sur la PK du ravulizumab chez les volontaires sains et les patients atteints d’HPN, de SHUa, de MGg ou de NMOSD étudiés ; c’est pourquoi aucun ajustement de la dose n’est considéré comme nécessaire.
La pharmacocinétique du ravulizumab a été étudiée chez des patients atteints de SHUa présentant divers stades d’insuffisance rénale, y compris les patients dialysés. Aucune différence n’a été observée au niveau des paramètres pharmacocinétiques dans ces sous-populations de patients, y compris chez les patients présentant une protéinurie.
Données précliniquesIl n’a pas été effectué d’études de toxicité du ravulizumab sur la reproduction chez l’animal, mais des études ont été réalisées chez la souris avec un anticorps analogue inhibiteur de la voie terminale du complément murine, le BB5.1. Aucun effet clairement lié au traitement ni aucun effet indésirable n’a été observé lors des études de toxicité sur la reproduction chez la souris utilisant un anticorps analogue inhibiteur de la voie terminale du complément murine. Lors d’une exposition maternelle à l’anticorps au cours de l’organogenèse, deux cas de dysplasie rétinienne et un cas de hernie ombilicale ont été observés parmi les 230 descendants de mères exposées à la dose d’anticorps la plus élevée (environ 4 fois la dose maximale recommandée de ravulizumab chez l’homme, basé sur une comparaison de poids corporel) ; en revanche, l’exposition n’a pas augmenté le taux de pertes fœtales ni la mortalité néonatale.
Il n’a pas été effectué d’études chez l’animal pour évaluer le potentiel génotoxique et cancérogène du ravulizumab.
Les données non cliniques issues des études effectuées chez la souris avec une molécule murine analogue, le BB5.1, n’ont pas révélé de risque particulier pour l’homme.
Remarques particulièresIncompatibilités
Ce médicament ne doit pas être mélangé à d’autres médicaments.
La dilution doit uniquement être réalisée en utilisant comme diluant une solution injectable de chlorure de sodium à 0,9 % (9 mg/mL).
Stabilité
Le médicament ne doit pas être utilisé au-delà de la date figurant après la mention « EXP » sur l’emballage.
Stabilité après ouverture
Ultomiris 300 mg/3 mL et 1100 mg/11 mL
Après dilution, le médicament doit être utilisé immédiatement. Toutefois, la stabilité physique et chimique du produit dilué a été démontrée pendant une durée allant jusqu’à 24 heures à une température comprise entre 2 °C et 8 °C et jusqu’à 4 heures à température ambiante.
Ultomiris 300 mg/30 mL
Après dilution, le médicament doit être utilisé immédiatement. Toutefois, la stabilité physique et chimique du produit dilué a été démontrée pendant une durée allant jusqu’à 24 heures à une température comprise entre 2 °C et 8 °C et jusqu’à 6 heures à température ambiante.
Remarques particulières concernant le stockage
Conserver au réfrigérateur (2-8 °C).
Ne pas congeler.
Conserver le récipient dans son carton pour le protéger de la lumière (et/ou de l’humidité).
Conserver hors de portée des enfants.
Pour les conditions de conservation du médicament après dilution, voir la rubrique « Stabilité après ouverture ».
Remarques concernant la manipulation
Chaque flacon est à usage unique.
Ultomiris 300 mg/3 mL et 1100 mg/11 mL
Ultomiris doit être dilué à une concentration finale de 50 mg/mL.
Les techniques aseptiques habituelles sont à utiliser.
Préparer Ultomiris en suivant les instructions suivantes :
1. Le nombre de flacons à utiliser pour la dilution est déterminé en fonction du poids corporel du patient et de la dose prescrite, voir la rubrique « Posologie/Mode d’emploi ».
2. Avant dilution, la solution contenue dans les flacons doit être examinée pour vérifier l’absence de particules ou de précipité. Ne pas utiliser si des particules ou un précipité sont observés.
3. Le volume calculé de médicament est prélevé du nombre de flacons approprié et dilué dans une poche pour perfusion en utilisant comme diluant une solution injectable de chlorure de sodium à 0,9 % (9 mg/mL). Voir ci-dessous les tableaux de référence pour l’administration. Mélanger doucement le produit. Ne pas agiter le produit.
4. Après dilution, la concentration finale de la solution à perfuser est de 50 mg/mL.
5. La solution préparée doit être administrée immédiatement après la préparation, sauf si elle est conservée à une température comprise entre 2 °C et 8 °C. En cas de conservation à une température comprise entre 2 °C et 8 °C, laisser la solution diluée atteindre la température ambiante avant administration. Ne pas administrer en injection intraveineuse directe ou en bolus. Voir le tableau 4 et le tableau 5 pour des informations sur la durée minimale de perfusion lors de l’administration. La perfusion doit être administrée à l’aide d’un filtre de 0,2 μm.
6. Si le médicament n’est pas utilisé immédiatement après dilution, les durées de conservation ne doivent pas dépasser 24 heures à une température comprise entre 2 °C et 8 °C ou 4 heures à température ambiante, en prenant en compte la durée de perfusion prévue.
Tableau 24 : Tableau de référence pour l’administration de la dose de charge d’Ultomiris 300 mg/3 mL et 1100 mg/11 mL solutions à diluer pour perfusion
|
Poids corporel (kg) a
|
Dose de charge (mg)
|
Volume d’Ultomiris (mL)
|
Volume de solution de NaCl (diluant) b (mL)
|
Volume total (mL)
| |
≥ 10 à < 20
|
600
|
6
|
6
|
12
| |
≥ 20 à < 30
|
900
|
9
|
9
|
18
| |
≥ 30 à < 40
|
1200
|
12
|
12
|
24
| |
≥ 40 à < 60
|
2400
|
24
|
24
|
48
| |
≥ 60 à < 100
|
2700
|
27
|
27
|
54
| |
≥ 100
|
3000
|
30
|
30
|
60
|
a Poids corporel au moment du traitement.
b Ultomiris doit uniquement être dilué en utilisant une solution injectable de chlorure de sodium à 0,9 % (9 mg/mL).
Tableau 25 : Tableau de référence pour l’administration des doses d’entretien d’Ultomiris 300 mg/3 mL et 1100 mg/11 mL solutions à diluer pour perfusion
|
Poids corporel (kg) a
|
Dose d’entretien (mg)
|
Volume d’Ultomiris (mL)
|
Volume de solution de NaCl (diluant) b (mL)
|
Volume total (mL)
| |
≥ 10 à < 20
|
600
|
6
|
6
|
12
| |
≥ 20 à < 30
|
2100
|
21
|
21
|
42
| |
≥ 30 à < 40
|
2700
|
27
|
27
|
54
| |
≥ 40 à < 60
|
3000
|
30
|
30
|
60
| |
≥ 60 à < 100
|
3300
|
33
|
33
|
66
| |
≥ 100
|
3600
|
36
|
36
|
72
|
a Poids corporel au moment du traitement.
b Ultomiris doit uniquement être dilué en utilisant une solution injectable de chlorure de sodium à 0,9 % (9 mg/mL).
Tableau 26 : Tableau de référence pour la dose supplémentaire d’Ultomiris 300 mg/3 mL et 1100 mg/11 mL, solutions à diluer pour perfusion
|
Poids corporel (kg) a
|
Dose supplémentaire (mg)
|
Volume d’ULTOMIRIS (mL)
|
Volume de solution de NaClb (mL)
|
Voljume total (mL)
| |
≥ 40 à < 60
|
600
|
6
|
6
|
12
| |
1200
|
12
|
12
|
24
| |
1500
|
15
|
15
|
30
| |
≥ 60 à < 100
|
600
|
6
|
6
|
12
| |
1500
|
15
|
15
|
30
| |
1800
|
18
|
18
|
36
| |
≥ 100
|
600
|
6
|
6
|
12
| |
1500
|
15
|
15
|
30
| |
1800
|
18
|
18
|
36
|
a Poids corporel au moment du traitement
b Ultomiris doit uniquement être dilué en utilisant une solution injectable de chlorure de sodium à 0,9 % (9 mg/mL).
Ultomiris 300 mg/30 mL
Ce médicament doit être dilué à une concentration finale de 5 mg/mL
Les techniques aseptiques habituelles sont à utiliser.
Préparer Ultomiris solution à diluer pour perfusion en suivant les instructions suivantes :
1. Le nombre de flacons à utiliser pour la dilution est déterminé en fonction du poids corporel du patient et de la dose prescrite, voir « Posologie/Mode d’emploi ».
2. Avant dilution, la solution contenue dans les flacons doit être inspectée visuellement pour vérifier l’absence de particules ou de précipité. Ne pas utiliser si des particules ou un précipité sont observés.
3. Le volume calculé de médicament est prélevé du nombre de flacons approprié et dilué dans une poche pour perfusion en utilisant comme diluant une solution injectable de chlorure de sodium à 9 mg/mL (0,9 %). Voir ci-dessous les tableaux de référence pour l’administration. Mélanger doucement le produit. Ne pas agiter le produit.
4. Après dilution, la concentration finale de la solution à perfuser est de 5 mg/mL.
5. La solution préparée doit être administrée immédiatement après la préparation, sauf si elle est conservée à une température comprise entre 2 °C et 8 °C. En cas de conservation à une température comprise entre 2 °C et 8 °C, laisser la solution diluée atteindre la température ambiante avant administration. Ne pas administrer en injection intraveineuse directe ou en bolus. Voir le tableau 6 et le tableau 7 pour des informations sur la durée minimale de perfusion lors de l’administration. La perfusion doit être administrée à l’aide d’un filtre de 0,2 μm.
6. Si le médicament n’est pas utilisé immédiatement après dilution, les durées de conservation ne doivent pas dépasser 24 heures à une température comprise entre 2 °C et 8 °C ou 6 heures à température ambiante, en prenant en compte la durée de perfusion prévue.
Tableau 27 : Tableau de référence pour l’administration de la dose de charge d’Ultomiris 300 mg/30 mL
|
Poids corporel (kg) a
|
Dose de charge (mg)
|
Volume d’Ultomiris (mL)
|
Volume de solution de NaCl (diluant)b (mL)
|
Volume total (mL)
| |
≥ 10 à < 20
|
600
|
60
|
60
|
120
| |
≥ 20 à < 30
|
900
|
90
|
90
|
180
| |
≥ 30 à < 40
|
1200
|
120
|
120
|
240
| |
≥ 40 à < 60
|
2400
|
240
|
240
|
480
| |
≥ 60 à < 100
|
2700
|
270
|
270
|
540
| |
≥ 100
|
3000
|
300
|
300
|
600
|
a Poids corporel au moment du traitement.
b Ultomiris doit uniquement être dilué en utilisant une solution injectable de chlorure de sodium à 0,9 % (9 mg/mL).
Tableau 28 : Tableau de référence pour l’administration des doses d’entretien d’Ultomiris 300 mg/30 mL
|
Poids corporel (kg) a
|
Dose d’entretien (mg)
|
Volume d’Ultomiris (mL)
|
Volume de solution de NaCl (diluant)b (mL)
|
Volume total (mL)
| |
≥ 10 à < 20
|
600
|
60
|
60
|
120
| |
≥ 20 à < 30
|
2100
|
210
|
210
|
420
| |
≥ 30 à < 40
|
2700
|
270
|
270
|
540
| |
≥ 40 à < 60
|
3000
|
300
|
300
|
600
| |
≥ 60 à < 100
|
3300
|
330
|
330
|
660
| |
≥ 100
|
3600
|
360
|
360
|
720
|
a Poids corporel au moment du traitement.
b Ultomiris doit uniquement être dilué en utilisant une solution injectable de chlorure de sodium à 9 mg/mL (0,9 %).
Tableau 29 : Tableau de référence pour la dose supplémentaire d’Ultomiris 300 mg/30 mL solution à diluer pour perfusion
|
Poids corporel (kg) a
|
Dose supplémentaire (mg)
|
Volume d’ULTOMIRIS (mL)
|
Volume de solution de dilution NaClb (mL)
|
Volume total (mL)
| |
≥ 40 à < 60
|
600
|
60
|
60
|
120
| |
1200
|
120
|
120
|
240
| |
1500
|
150
|
150
|
300
| |
≥ 60 à < 100
|
600
|
60
|
60
|
120
| |
1500
|
150
|
150
|
300
| |
1800
|
180
|
180
|
360
| |
≥ 100
|
600
|
60
|
60
|
120
| |
1500
|
150
|
150
|
300
| |
1800
|
180
|
180
|
360
|
a Poids au moment du traitement.
b Ultomiris doit uniquement être dilué en utilisant une solution injectable de chlorure de sodium à 0,9 % (9 mg/mL).
Tout médicament non utilisé ou déchet doit être éliminé conformément à la réglementation nationale en vigueur.
Numéro d’autorisation67278 (Swissmedic)
PrésentationUltomiris 300 mg/3 mL (100 mg/mL) solution à diluer pour perfusion
3 mL de solution à diluer stérile dans un flacon en verre de type I contient 300 mg de ravulizumab (A).
Ultomiris 1100 mg/11 mL (100 mg/mL) solution à diluer pour perfusion
11 mL de solution à diluer stérile dans un flacon en verre de type I contient 1100 mg de ravulizumab (A).
Ultomiris 300 mg/30 mL (10 mg/mL) solution à diluer pour perfusion
30 mL de solution à diluer stérile dans un flacon en verre de type I contient 300 mg de ravulizumab (A).
Titulaire de l’autorisationAlexion Pharma GmbH
Neuhofstrasse 34,
6340 Baar
Suisse
Mise à jour de l’informationAvril 2025
|